出国留学网专题频道东城中考一摸分数线栏目,提供与东城中考一摸分数线相关的所有资讯,希望我们所做的能让您感到满意!
05-12
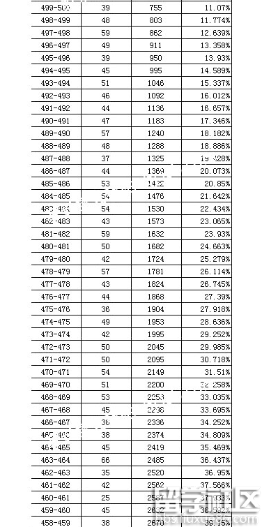
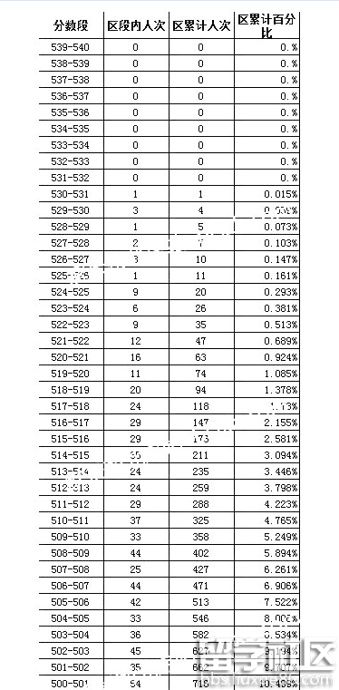
出国留学中考网为大家提供2016东城中考一摸分数线,更多中考资讯请关注我们网站的更新!
小编精心为您推荐:
与东城中考一摸分数线相关的中考分数线
东城中考一摸分数线推荐访问
搜索更多内容
东城中考一摸分数线相关推荐
编辑推荐
热点推荐