出国留学网二级建造师矿业工程试题

出国留学网专题频道二级建造师矿业工程试题栏目,提供与二级建造师矿业工程试题相关的所有资讯,希望我们所做的能让您感到满意!

二级建造师章节真题分解:施工成本分析的方法

 

点击查看汇总>>二级建造师章节真题分解第二章:施工成本管理

2Z102054施工成本分析的方法

1.(2013~56)某分部工程商品混凝土消耗情况如下表:则由于混凝土量增加导致的成本增加额为(  )元。

项目

单位

计划

实际

消耗量

m3

300

320

单价

元/m3

430

460

A.8600
B.9200
C.9600
D.19200

【答案】A。混凝土量增加导致的成本加额=(实际消耗量-计划消耗量)×计划单价=(320-300)×430:8600元。

2.(2012-24)某施工项目的商品混凝土目标成本是420000元(目标产量500m3,目标单价800元/m3,预计损耗率为5%),实际成本是511680元(实际产量600m3。实际单价820元/m3,实际损耗率为4%)。若采用因素分析法进行成本分析(因素的排列顺序:产量、单价、损耗率),则由于产量提高增加的成本是(  )元。


A.4920
B.12600
C.84000
D.91680

【答案】C。因素分析法的计算步骤如下:(1)确定分析对象,先计算出实际与目标数的差异;(2)确定该指标是由哪几个因素组成的,并按其相互关系进行排序(排序规则是:先实物量,后价值量;先绝对值,后相对值);(3)以目标数为基础,将各因素的目标数相乘,作为分析替代的基数;(4)将各个因素的实际数按照上面的排列顺序进行替换计算,并将替换后的实际数保留下来;(5)将每次替换计算所得的结果,与前一次的计算结果相比较,两者的差异即为该因素对成本的影响程度;(6)各个因素的影响程度之和应与分析对象的总差异相等。
本题中目标成本为:500×800×1.05=420000元;成本增加的因素影响分别为产量、单价和损耗率,本题问的是有关的产量增加导致的成本增加,因此只要变换一下产量的数值,计算出产量提高后的成本为:600×800×1.05=504000元;两者相减就是因为产量增加而带来的成本增加值,即504000-420000=84000元。

3.(2011-34)某施工项目经理对商品混凝土的施工成本进行分析,发现其目标成本是44万元,实际成本是48万元,因此要分析产量、单价、损耗率等因素对混凝土成本的影响程度,最适宜采用的分析方法是(  )。
A.比较法
B.构成比率法
C.因素分析法
D.动态比率法

【答案】C。因素分析法,又称连环置换法,这种方法可用来分析各种因素对成本的影响程度。在进行分析时,首先要假定众多因素中的一个因素发生了变化,而其他因素不变,然后逐个替换,分别比较其计算结果,以确定各个因素的变化对成本的影响程度。

...

二级建造师章节真题分解:实施性施工进度计划的作用

 

2Z103023实施性施工进度计划的作用

1.(2013—34)下列进度计划中,属于实施性施工进度计划的是(  )。
A.项目施工总进度计划
B.项目施工年度计划
C.项目月度施工计划
D.企业旬施工生产计划

【答案】C。月度施工计划和旬施工作业计划是用于直接组织施工作业的计划,它是实施性施工进度计划,要注意区分施工计划和生产计划。

2.(2011—28)下列进度计划中,可直接用于组织施工作业的计划是(  )。
A.施工企业的旬生产计划
B.建设工程项目施工的月度施工计划
C.施工企业的月度生产计划
D.建设工程项目施工的季度施工计划

【答案】B。项目施工的月度施工计划和旬施工作业计划是用于直接组织施工作业的计划,是实施性施工进度计划。

二级建造师章节真题分解:工程网络计划的类型和应用

 

2Z103032工程网络计划的类型和应用

1.(2013—36)某分部工程双代号时标网络计划如下图所示(时间单位:天),工作A的总时差为(  )天。 
 
A.0
B.2
C.3
D.1

【答案】D。关键工作是CEJM,线路是1—4—5—6—7—10—11,有1天的总时差。

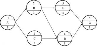
2.(2013—38)某工程的单代号网络计划如下图所示(时间单位:天),该计划的计算工期为(  )天。 
 
注意:第一个圆中,是A,持续时间为2天。
A.9
B.11
C.12
D.15

【答案】C。首先划出所有线路,ABEG是所有线路中最长的一条线路,合计为12天。

3.(2013—59)某工程网络计划中,工作N最早完成时间为第17天,持续时间为5天,该工作有三项紧后工作,他们的最早开始时间分别为第25天、第27天和第30天,则工作N的自由时差为(  )天。
A.7
B.2
C.3
D.8

【答案】A。FFN=紧后工作最早开始时间一本工作最早完成时间=-25—17=8天。此外还要注意,工作日坐标体系参数等于计算坐标体系参数加1,因此本题中还要减一天,即7天。

4.(2013—67)双代号网络图中,工作是用(  )表示的。
A.节点及其编号
B.箭线及其两端节点编号
C.箭线及其起始节点编号
D.箭线及其终点节点编号

【答案】B。工作是泛指一项需要消耗人力、物力和时间的具体活动过程,也称工序、活动、作业。双代号网络图中,每一条箭线表示一项工作。箭线的箭尾节点i表示该工作的开始,箭线的箭头节点j表示该工作的完成。

5.(2013—76)关于网络计划关键线路的说法,正确的有(  )。
A.单代号网络计划中由关键工作组成的线路
B.总持续时间最长的线路
C.双代号网络计划中无虚箭线的线路
D.时标网络计划中没有波形线的线路
E.双代号网络计划中由关键节点连成的线路

【答案】BD。双代号网络计划中自始至终全部由关键工作组成的线路为关键线路,或线路上总的工作持续时间最长的线路为关键线路,因此B正确。双代号网络计划中有虚箭线的线路也可能是关键线路,因此C错误。时标网络计划中应以实箭线表示工作,以虚箭线表示虚工作,以波形线表示工作的自由时差。没有波形线意味着该条线路不存在总时差,即是最长的线路,也就是关键线路,E正确。单代号网络计划中,从起点节点开始到终点节点均为关键工作,且所有工作的时间间隔为零的线路为关键线路。因此A错误。

6.(2013—82)某双代号网络计划如下图所示,途中存在的绘图错误有(  )。 

二级建造师章节真题分解:施工成本管理的任务与措施

 

点击查看汇总>>二级建造师章节真题分解第二章:施工成本管理

2Z102041施工成本管理的任务与措施

1.(2013—3)下列施工成本计划指标中,属于质量指标的是(  )。
A.设计预算成本计划降低率
B.单位工程成本计划额
C.设计预算成本计划降低额
D.材料计划成本额

【答案】A。成本计划的质量指标,如施工项目总成本降低率,可采用:设计预算成本计划降低率=设计预算总成本计划降低额/设计预算总成本;责任目标成本计划降低率=责任目标总成本计划降低额/责任目标总成本。此外要注意:(1)成本计划的数量指标,如:按子项汇总的工程项目计划总成本指标;按分部汇总的各单位工程(或子项目)计划成本指标;按人工、材料、机械等各主要生产要素计划成本指标。(2)成本计划的效益指标,如工程项目成本降低额:设计预算成本计划降低额=设计预算总成本一计划总成本;责任目标成本计划降低额=责任目标总成本一计划总成本。

2.(2013—22)通过加强施工定额管理和施工任务单管理,控制活劳动和物化劳动的消耗,这属于施工成本管理措施的(  )。
A.技术措施
B.组织措施
C.经济措施
D.合同措施

【答案】B。组织措施是从施工成本管理的组织方面采取的措施。组织措施的另一方面是编制施工成本控制工作计划,确定合理详细的工作流程。要做好施工采购规划,通过生产要素的优化配置、合理使用、动态管理,有效控制实际成本;加强施工定额管理和施工任务单管理,控制活劳动和物化劳动的消耗;加强施工调度,避免因施工计划不周和盲目调度造成窝工损失、机械利用率降低、物料积压等而使施工成本增加。

3.(2012—15)为取得成本管理的理想效果,项目经理可采取的组织措施是(  )。
A.加强施工调度,避免窝工损失


B.进行技术经济分析,确定最佳施工方案
C.对工程变更及时落实业主签证
D.研究合同条款,寻找索赔机会

【答案】A。组织措施是从施工成本管理的组织方面采取的措施。施工成本控制是全员的活动,如实行项目经理责任制,落实施工成本管理的组织机构和人员,明确各级施工成本管理人员的任务和职能分工、权利和责任。另外还包括编制施工成本控制工作计划,确定合理详细的工作流程等。做好施工采购规划,通过生产要素的优化配置、合理使用、动态管理,有效控制实际成本;加强施工定额管理和施工任务单管理,控制活劳动和物化劳动的消耗;加强施工调度,避免因施工计划不周和盲目调度造成窝工损失、机械利用率降低、物料积压等而使施工成本增加。A项属于组织措施,B项属于技术措施,C项属于经济措施,D项属于合同措施。因此本题正确答案为A。

4.(2011—83)下列某大跨度体育场项目钢结构施工的成本管理措施中,属于技术措施的有(  )。
A.确定项目管理班子的任务和职能分工
B.分析钢结构吊装作业的成本目标
C.修订钢结构吊装施工合同条款
D.提出多个钢结构吊装方案
E.改变吊装用的施工机械

【答案】DE。施工过程中降低成本...

施工质量管理与施工质量控制的内涵和特点

 

22104013施工质量管理与施工质量控制的内涵和特点

1.(2013—23)关于施工质量控制的说法,正确的是(  )。
A.施工质量控制应强调过程控制
B.施工质量控制应独立于施工质量管理
C.施工质量控制的关键在于工程项目的终检
D.施工质量控制的特点仅由施工生产的特点决定

【答案】A。工程项目在施工过程中,工序衔接多、中间交接多、隐蔽工程多,施工质量具有一定的过程性和隐蔽性。因此,在施工质量控制工作中,必须强调过程控制,因此A正确,C错误。质量控制是质量管理的一部分,是致力于满足质量要求的一系列相关活动。因此B错误。工程项目的施工质量受到多种因素的影响。这些因素包括地质、水文、气象和周边环境等自然条件因素,勘察、设计、材料、机械、施工工艺、操作方法、技术措施,以及管理制度、办法等人为的技术管理因素。要保证工程项目的施工质量,必须对所有这些影响因素进行有效控制,因此D是错误的。

2.(2012—33)工程项目建成后,不可像某些工业产品那样可以拆卸或者解体来检查内在质量,所以工程项目质量控制应强调(  )。
A.质量验收
B.施工方法的技术比选
C.过程控制
D.投入要素的质量控制

【答案】C。工程项目建成以后不能像一般工业产品那样,依靠终检来判断产品的质量和控制产品的质量;也不可能像工业产品那样将其拆卸或解体检查内在质量,或更换不合格的零部件。所以,工程项目的终检(竣工验收)存在一定的局限性。故此,工程项目的施工质量控制应强调过程控制,边施工边检查边整改,及时做好检查、认证记录。本题正确选项为C。

3.(2011-48)相对于建设工程固定性的特点,施工生产则表现出(  )的特点。
A.一次性
B.流动性
C.单件性
D.预约性

【答案】B。相对于工程的固定性特点,施工生产则表现出流动性的特点,表现为各种生产要素既在同一工程上的流动,往往同时又在不同工程项目之间的流动。

...

二级建造师章节真题分解:总进度目标

 

2Z103011总进度目标

1.(2013—44)建设工程项目总进度目标论证的工作包括:①项目结构分析;②编制各层进度计划;③进度计划系统的结构分析;④项目的工作编码。其正确的工作顺序是(  )。
A.①③②④
B.①③④②
C.③②①④
D.④①③②

【答案】B。建设工程项目总进度目标论证的工作步骤如下:
(1)调查研究和收集资料;
(2)进行项目结构分析;
(3)进行进度计划系统的结构分析;
(4)确定项目的工作编码;
(5)编制各层(各级)进度计划;
(6)协调各层进度计划的关系和编制总进度计划;
(7)若所编制的总进度计划不符合项目的进度目标,则设法调整;
(8)若经过多次调整,进度目标无法实现,则报告项目决策者。

2.(2013—46)建设工程项目总进度目标的控制是(  )项目管理的任务。
A.业主方
B.设计方
C.施工方
D.供货方

【答案】A。建设工程项目总进度目标的控制是业主方项目管理的任务(若采用建设项目总承包的模式,协助业主进行项目总进度目标的控制也是建设项目总承包方项目管理的任务)。

3.(2012—87)关于建设工程项目进度计划的说法正确的有(  )。
A.项目进度计划系统是项目进度控制的依据
B.项目进度计划系统在项目实施前应建立并完善
C.项目各参与方可以编制多个不同的进度计划系统
D.项目进度计划系统中各计划应注意联系与协调
E.项目进度计划系统可以有多个不同周期的进度计划组成

【答案】ACDE。建设工程项目进度计划系统是由多个相互关联的进度计划组成的系统,它是项目进度控制的依据。由于各种进度计划编制所需要的必要资料是在项目进展过程中逐步形成的,因此项目进度计划系统的建立和完善也有一个过程,它也是逐步完善的。由于项目进度控制不同的需要和不同的用途,业主方和项目各参与方可以编制多个不同的建设工程项目进度计划系统。B项错误,需要在过程中不断完善。其余四项是正确的。

4.(2011—24)某市拟新建一大型会展中心,项目建设单位组织有关专家对该项目的总进度目标进行论证,在调查研究和收集整理后,紧接着应进行的工作是(  )。
A.进行进度计划系统结构分析
B.进行项目结构分析
C.编制各级进度计划
D.确定工作编码

【答案】B。建设工程项目总进度目标论证的工作步骤如下:①调查研究和收集资料;②进行项目结构分析;③进行进度计划系统的结构分析,④确定项目的工作编码;⑤编制各层的进度计划;⑥协调各层进度计划的关系和编制总进度计划;⑦若所编制的总进度计划不符合项目的进度目标,则设法调整;⑧若经过多次调整,进度目标无法实现,则报告项目决策者。

...

二级建造师章节真题分解:施工成本计划的编制依据

 

点击查看汇总>>二级建造师章节真题分解第二章:施工成本管理

22102043施工成本计划的编制依据

1.(2012—74)下列文件中属于施工成本计划编制依据的有(  )。
A.招标文件
B.施工成本预测资料
C.已签订的合同
D.施工组织设计或施工方案
E.企业定额、施工预算

【答案】BCDE。施工成本计划的编制依据包括:(1)投标报价文件;(2)企业定额、施工预算;(3)施工组织设计或施工方案;(4)人工、材料、机械台班的市场价;(5)企业颁布的材料指导价、企业内部机械台班价格、劳动力内部挂牌价格;(6)周转设备内部租赁价格、摊销损耗标准;(7)已签订的工程合同、分包合同(或估价书);(8)结构件外加工计划和合同;(9)有关财务成本核算制度和财务历史资料;(10)施工成本预测资料;(11)拟采取的降低施工成本的措施;(12)其他相关资料。BCDE都属于编制的依据,A不属于成本计划的编制依据。

二级建造师章节真题分解:进度控制的任务

 

2Z103012进度控制的任务

1.(2012—27)下列建设工程项目进度控制工作中,属于施工方进度控制任务的是(  )。
A.部署项目动用准备工作进度
B.协调设计、招标的工作进度
C.编制项目施工的工作计划
D.编制供货进度计划

【答案】C。施工方进度控制的任务是依据施工任务委托合同对施工进度的要求控制施工工作进度,这是施工方履行合同的义务。在进度计划编制方面,施工方应视项目的特点和施工进度控制的需要,编制深度不同的控制性和直接指导项目施工的进度计划,以及按不同计划周期编制的计划,如年度、季度、月度和旬计划等。即C项为施工方进度控制的任务;A项和B项应当属于业主方的进度控制任务;D项为供货方的进度控制任务。

2.(2011—25)施工企业进度控制的任务是依据(  ),按照施工进度的要求控制施工进度。
A.建设项目总进度目标
B.施工总进度计划
C.建安工程工期定额
D.施工承包合同

【答案】D。施工方进度控制的任务是依据施工承包合同,按照施工进度的要求控制施工工作进度,只是施工方履行合同的义务。

二级建造师章节真题分解:施工成本计划的编制方法

 

点击查看汇总>>二级建造师章节真题分解第二章:施工成本管理

2Z102044施工成本计划的编制方法

1.(2013—8)分部工程的成本计划数据如下表所示,则第五周的施工成本计划值是(  )万元。 
二级建造师章节真题分解:施工成本计划的编制方法 
A.75
B.155
C.80
D.125

【答案】B。第五周涉及土方开挖、基础垫层、混凝土基础三项工程,三项工程的费用强度为30、45、80,合计为155万元/周。

2.(2012—29)下列时间一成本累积曲线中,符合施工计划成本发生变化规律的曲线是(  )。 
二级建造师章节真题分解:施工成本计划的编制方法 


二级建造师章节真题分解:施工成本计划的编制方法 

【答案】A。时间一成本的累积曲线是一条以原点为起始点的平滑的S形曲线。四个图示中,A项较为符合。

3.(2012—31)关于编制施工项目成本计划时考虑预备费的说法,正确的是(  )。
A.只针对整个项目考虑总的预备费,以便灵活调用
B.在分析各分项工程风险的基础上,只针对部分分项工程考虑预备费
C.既要针对整个项目考虑预备费,也要在分项工程中安排适当的不可预见费
D.不考虑整个项目预备费,由施工企业统一考虑

【答案】C。在编制成本支出计划时,要在项目总的方面考虑总的预备费,也要在主要的分项工程中安排适当的不可预见费,避免在具体编制成本计划时,可能发现个别单位工程或工程量表中某项内容的工程量计算有较大出入,使原来的成本预算失实,并在项目实施过程中对其尽可能地采取一些措施。因此本题选C。

4.(2011—31)施工成本计划的编制基础是(  )。
A.施工成本考核
B.施工成本预测
C.施工成本核算
D.目标成本确定

【答案】B。施工成本计划的编制以成本预测为基础,关键是确定目标成本。

...

二级建造师章节真题分解:施工进度计划的类型

 

2Z103021施工进度计划的类型

1.(2013—28)施工企业的施工生产计划与建设工程项目施工进度计划的关系是(  )。
A.施工生产计划是项目施工进度计划的集合
B.属同一个计划系统,但范围不同
C.属两个不同系统的计划,但两者紧密相关
D.属两个不同系统的计划,两者之间没有关系

【答案】C。施工企业的施工生产计划与建设工程项目施工进度计划虽属两个不同系统的计划,但是,两者是紧密相关的。前者针对整个企业,而后者则针对一个具体工程项目,计划的编制有一个自下而上和自上而下的往复多次的协调过程。

2.(2013—74)按计划的功能划分,建设工程项目施工进度计划分为(  )。
A.控制性进度计划
B.指示性进度计划
C.指导性进度计划


D.总结性进度计划
E.实施性进度计划

【答案】ACE。建设工程项目施工进度计划若从计划的功能区分,可分为控制性施工进度计划、指导性施工进度计划和实施性施工进度计划。按其具体组织施工的进度计划是实施性施工进度计划,它必须非常具体。控制性进度计划和指导性进度计划的界限并不十分清晰,前者更宏观一些。

3.(2011—26)在安排一个小型项目施工的进度时,只需编制(  )。
A.施工总进度方案
B.施工总进度规划
C.施工总进度计划
D.施工总进度目标

【答案】C。整个项目施工总进度方案、施工总进度规划、施工总进度计划,应视项目的特点、条件和需要而定,大型建设工程项目进度计划的层次就多一些,而小型项目只需编制施工总进度计划。

...