出国留学网专题频道云南教师资格认定考试报名确认点栏目,提供与云南教师资格认定考试报名确认点相关的所有资讯,希望我们所做的能让您感到满意!
01-17
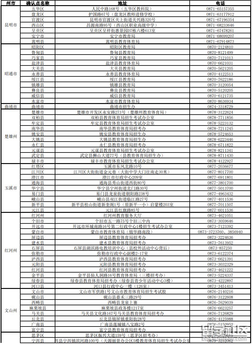
下文是关于云南省2023年上半年教师资格认定考试各报名确认点的联系电话,云南省参加此次认定考试的考生来看看了解一下吧!下面是出国留学网整理的“2023年上半年云南省高校教师资格认定课程考试各州市报名确认点联系方式”,供云南考生参考阅读。


推荐阅读:
...09-14
出国留学网为你带来[中国教师资格网2017年秋季云南教师资格认定报名入口],欢迎大家继续关注教师资格证考试频道查看相关资讯,可按Ctrl+D收藏频道!更多考试资讯请关注我们网站的更新!
中国教师资格网2017年秋季云南教师资格认定报名入口
从《2017年秋季云南教师资格认定申报工作通知》可知2017年秋季云南教师资格认定申报工作网上报名时间:2017年9月25日至10月31日期间的7:00-24:00(国庆假期期间和“十九大”期间除外),网上报名时间具体如下:
(一)网上报名时间
网上报名时间:2017年9月25日至10月31日期间的7:00-24:00(国庆假期期间和“十九大”期间除外)。具体各认定机构网络申报时间见户籍所在地或工作单位所在地的州(市)、县(区)教育局通知。
(二)报名网址
1.参加云南省教师资格认定课程考试,并已取得合格证的申请人,请登录“中国教师资格网”(网址为:http://www.jszg.edu.cn),进入“未参加全国统考申请人网报入口”,点击“注册”进入未参加全国统考申请人网上申报系统后,根据要求填写申请人相关信息,并于选择的教育局所规定的网络申报时间内提交信息。
点击进入>>>中国教师资格网2017年秋季云南教师资格认定报名入口
2.参加全国中小学教师资格考试,并已取得“中小学教师资格考试合格证明”的申请人,请登录 “中国教师资格网”(网址为:http://www.jszg.edu.cn),进入“全国统考合格申请人网报入口”,点击“注册”进入参加全国统考申请人网上申报系统后,根据要求填写申请人相关信息,并于选择的教育局所规定的网络申报时间内提交信息。
(三)认定机构
1.幼儿园、小学和初级中学教师资格,由申请人户籍所在地或工作单位所在地的县(区)教育局认定;
2.高级中学教师资格、中等职业学校教师资格和中等职业学校实习指导教师资格,由申请人户籍所在地或工作单位所在地的州(市)教育局认定;
3.高等学校教师资格由云南省教育厅认定(秋季不开展高等学校教师资格认定)。
教师资格证考试栏目为您推荐:<...
09-12
小编整理了《教师资格认定: 教师资格认定申请表》,希望对您有帮助,祝考生们考试取得好成绩。更多相关资讯敬请关注本网的更新!
教师资格认定: 教师资格认定申请表
教师资格认定申请表填表说明
一、“本人简历”栏目从本人小学毕业后填起。
二、“所学专业”名称按毕业证书专业填写。
三、“申请任教学科”名称按照中华人民共和国教育部或者省级教育行政部门制订的教学计划规定填写。
四、“户籍所在地”填写至乡镇或者街道办事处。
五、“现从事职业栏”按国家规范要求填写(如公务员、医生、工人、农民、军人等)。
六、申请人有下列情况,认定机关应在备注栏中注明:
1、 取得过某种教师资格
2、 被撤销过教师资格
3、 其他需要说明的情况
七、本表一式二份,封面及表格第一页由申请人填写,第二页由教师资格认定评议委员会和认定机构填写。
点击下载(百度网盘):
教师资格证考试栏目为您推荐:
2018年教师资格证报名>>>
09-14
出国留学网为你带来[云南2017年秋季教师资格认定报名流程],欢迎大家继续关注教师资格证考试频道查看相关资讯,可按Ctrl+D收藏频道!更多考试资讯请关注我们网站的更新!
2017年秋季云南教师资格申请认定条件
从《2017年秋季云南教师资格认定申报工作通知》可知2017年秋季云南教师资格认定申报工作网上报名时间:2017年9月25日至10月31日期间的7:00-24:00(国庆假期期间和“十九大”期间除外),报名流程具体如下:
报名流程
(一)网上报名时间
网上报名时间:2017年9月25日至10月31日期间的7:00-24:00(国庆假期期间和“十九大”期间除外)。具体各认定机构网络申报时间见户籍所在地或工作单位所在地的州(市)、县(区)教育局通知。
(二)报名网址
1.参加云南省教师资格认定课程考试,并已取得合格证的申请人,请登录“中国教师资格网”(网址为:http://www.jszg.edu.cn),进入“未参加全国统考申请人网报入口”,点击“注册”进入未参加全国统考申请人网上申报系统后,根据要求填写申请人相关信息,并于选择的教育局所规定的网络申报时间内提交信息。
2.参加全国中小学教师资格考试,并已取得“中小学教师资格考试合格证明”的申请人,请登录 “中国教师资格网”(网址为:http://www.jszg.edu.cn),进入“全国统考合格申请人网报入口”,点击“注册”进入参加全国统考申请人网上申报系统后,根据要求填写申请人相关信息,并于选择的教育局所规定的网络申报时间内提交信息。
(三)认定机构
1.幼儿园、小学和初级中学教师资格,由申请人户籍所在地或工作单位所在地的县(区)教育局认定;
2.高级中学教师资格、中等职业学校教师资格和中等职业学校实习指导教师资格,由申请人户籍所在地或工作单位所在地的州(市)教育局认定;
3.高等学校教师资格由云南省教育厅认定(秋季不开展高等学校教师资格认定)。
教师资格证考试栏目为您推荐:
09-14
出国留学网为你带来[2017年秋季云南教师资格认定现场确认有关事项],欢迎大家继续关注教师资格证考试频道查看相关资讯,可按Ctrl+D收藏频道!更多考试资讯请关注我们网站的更新!
2017年秋季云南教师资格认定现场确认有关事项
从《2017年秋季云南教师资格认定申报工作通知》可知2017年秋季云南教师资格认定现场确认有关事项如下:
三、现场确认提交材料
申请人按所申报教师资格认定机构规定时间、地点进行现场确认时(现场确认具体时间、地点见各认定机构通知),需提交以下材料:
(一)教师资格认定申请表一式两份 >>>点击下载
1.要求用A4或A3纸双面打印,申请人在承诺书上签名;
2.照片:2寸近期免冠彩色照片(要求与网报提交电子照片和办证照片相同)。
(二)身份证原件和复印件
(三)学历证书原件和复印件
1.需提供学历证书原件和复印件;中师学校中的学前教育专业需经省教育厅师范处批准的学历才认可;
2.持香港、澳门、台湾地区高等学校学历证书申请,另需提供教育部留学服务中心出具的“港澳台地区学历学位认证书”的原件及复印件;
3.持国外高等学校学历证书申请,另需提供教育部留学服务中心出具的“国外学历学位认证书”的原件及复印件;
4.全日制普通高校应届毕业生尚未取得学历证书的,需提供由所在学校出具的应届生毕业证明和学校教务部门出具的学业成绩单。
(四)由教师资格认定机构指定的县级以上医院出具的体检合格证明
对申请人孕期拍摄X光胸片相关事宜,具体处理如下:
1.对于申请人已怀孕的,向医院提供相关已孕证明,可免检胸片;
2.疑似怀孕的,可以到医院检查,凭检查结果,已怀孕的,可免检胸片;
3.备孕、哺乳期一律不免检胸片。
(五)普通话水平测试等级证书原件和复印件
云南省普通话测试由云南省普通话培训测试中心负责,地址:昆明市学府路2号309室,联系电话:0871-65148644,65158936。
经过云南省普通话培训测试中心组织的普通话水平测试获得《等级证书》遗失未超过两年的(以原发证日期为准),可申请补办。补办根据《云南省教育厅关于印发云南省补办普通话水平测评等级...
出国留学网教师资格证考试栏目为大家分享“教师资格认定机构”,欢迎阅读。想了解更多关于教师资格证考试的讯息,请继续关注我们网站的更新。
教师资格认定机构
依法受理教师资格认定申请的县级以上地方人民政府教育行政部门,为教师资格认定机构。
幼儿园、小学和初级中学教师资格,由申请人户籍所在地或者存有人事档案的工作单位(任教学校)所在地的区、县级人民政府教育行政部门认定。但个别省份的教师资格认定权限有所调整,如在河北省,这三类教师资格已经改由地级市人民政府教育行政部门认定。所以认定权限以各省份的规定为准。
高级中学教师资格、中等职业学校教师资格和中等职业学校实习指导教师资格,由申请人户籍所在地或者存有人事档案的工作单位(任教学校)所在地的地级市(地区、自治州、盟)级人民政府教育行政部门认定。但在北京、天津、上海和重庆这四个直辖市,这三类教师资格由市级人民政府教育行政部门认定。
高等学校教师资格由高校拟聘教师任教学校所在地的省级人民政府教育行政部门认定。
普通全日制应届毕业生根据拟申请认定教师资格的种类,在毕业前的最后一个学期持学校出具的思想品德鉴定、学业成绩单和其他申请材料向就读学校所在地相应的区县或市级教师资格认定机构申请认定(此办法不适用于已经毕业的人员)。在读一年级、二年级研究生(含博士生)在哪里申请,需根据本省份有关规定执行。
由于教师资格制度实施工作实行属地化管理,各省份的教师资格认定政策中有些特殊规定。因此,申请认定教师资格时,相关政策还需按照各省份有关政策执行。
教师资格认定机构还会设立现场确认点,用于申请人前往提交纸质认定材料。现场确认点受理的人员范围和受理时间由认定机构规定,申请人在网上报名时应注意对照和区分,选择自己所属的确认点,并在规定时间内,携带相应材料去现场确认。
教师资格证考试栏目推荐:
04-20
本文“2017教师资格考试申请教师资格认定攻略”由出国留学网教师资格考试网整理而出,希望能帮到你!
经过大半年时间,非师范专业的小佟终于拿到了教师资格证。申请证书的手续过程还是挺麻烦的,他希望以下的申请攻略能对有意申请教师资格证的人有所帮助。
小佟申请的高中教师资格由北京市教委审核资格,小、初中教师资格申请由各区县教委审核。他是应届本科毕业生,按规定,申请教师资格要到学校开出应届生证明。因为不是师范专业毕业,小佟还要加考教育学和教育心理学两门课。这两门课程由市教委组织统考。
小佟申请高中教师资格由北京教育学院(在德胜门外黄寺大街)负责。需要注意的是,这两门考试每年只考二次,可自愿参加市教委指定的培训机构的培训。考试有统一的教材,可以在本站购买,最好买多一套习题。按照书复习,考试不是太难。
这两门考试一般在每年4月和10月考试,报名大概每门30元。考试一般上、下午一天考完。两门考试合格后,需交10元钱证书工本费。
申请教师资格还要达到普通话水平测试二级乙水平。普通话测试的考试安排和要求,
北京市各区都设有普通话测试考点,考试需要50元考试费和5元证书费。考试形式是朗读,100个单字、50个双音节词和一段短文,考试内容都是教材上的,最后还有5分钟说话,临时抽话题,随便谈。最后小佟取得一级乙证书。考试大论坛
接着是体检,只要是市教委指定的医院就可以。体检必须工作日去,周六、周日不可以,体检费大概100多块钱。
考试都通过后,申请人要去领教师资格申请表。每年有两次机会办理申请,一次在3月,一次在10月。小佟是在北京教育综合服务中心办理的,地址在宣武区白广路。领表后填表,表的第三页是“政治思想品德鉴定”,需要单位人事部门填写盖章,没工作单位就由户口所在街道填写盖章,在校生要由学校系里盖章。一般一个月后受理交表,把上述证书、材料、体检表、学历证书等整理好,按要求复印好带去,去领表的地方交表。交表时人会比较多,先是需通过一楼的初审,即逐个审查材料,确定材料齐全后才能上二楼,办理手续。
最后一步是通过教学实践。因为非师范类申请者需要通过教学实践环节,即15分钟的试讲,加上15分钟的答辩。试讲会让申请者选择试讲时间。一般在5月的周末。凭试讲通知单,按规定时间,到指定地点,先提交指定教材任意章节备课笔记一式三份,然后现场指定一个章节,准备50分钟,开始试讲。
一切都考完后,按照试讲通知单,按照规定时间查看是否通过考试。如果通过,则持试讲通知单,按时去服务中心,交6元领取教师资格证书。
教师资格证考试栏目为您推荐:
09-29
2016教师资格证认定工作即将开始,各位参加教师资格证认定的考生也要时刻关注着考试资讯,第一时间了解考试动态。出国留学网教师资格考试栏目为大家分享“2016秋季浙江秀洲区教师资格认定现场确认”,希望对考生能有帮助。想了解更多关于教师资格考试的讯息,请继续关注我们网站的更新。
2016秋季浙江秀洲区教师资格认定现场确认
根据《2016秋季浙江嘉兴秀洲区教师资格认定公告》知悉,2016秋季浙江嘉兴秀洲区教师资格认定现场确认事项如下:
10月20日--21日。申请“初级中学”、“小学”和“幼儿园”教师资格并完成网报者,携带所需材料到指定的现场确认点进行确认。
确认时间:
每天的8:30-11:00和13:30-16:30,逾期恕不办理。
确认地点:
秀洲区行政审批服务中心(秀洲大道767号)二楼D区“教文体局窗口”。未进行现场确认者视为自动放弃。
现场确认提交以下材料:
(1)户口簿(原件及复印件)或人事档案所在单位(人才交流中心)证明。
(2)身份证原件及复印件。
(3)《教师资格认定申请表》一式两份(申请者网上填报信息后下载,用规定纸张双面打印、签署姓名并贴上照片),外语教师资格申请者,请在打印好的《教师资格认定申请表》首页 “申请资格种类”栏,注明申请的语言种类。
(4)《申请人员思想品德鉴定表》一份,由工作单位(社会人员由户籍所在地乡(镇)政府、街道办事处鉴定)填写(须签意见)及盖章。
(5)学历证书原件和复印件(国外学历还需提供教育部留学生服务中心的学历鉴定认证书原件及复印件)。
(6)2013年10月以后取得的《中小学教师资格合格证明》原件和复印件或网络打印件。
(7)普通话水平测试等级证书原件和复印件。
(8)与网报上传的电子照片相同的1寸彩色证件照2张。
教师资格证考试栏目推荐:
2016秋季教师资格认定公告汇总云南教师资格认定考试报名确认点推荐访问