出国留学网专题频道公务员资料分析栏目,提供与公务员资料分析相关的所有资讯,希望我们所做的能让您感到满意!
07-29
出国留学网公务员考试频道小编为大家整理2017年国家公务员资料分析模拟题及答案,希望对您有所帮助!
1998年新登记外资企业共9382户,认缴出资额106.59亿美元,比上年分别增长3.11%和25.26%,其所占份额分别为50.24%和44.50%,比上年增长了3.0个百分点和10.5个百分点。外资企业主要涉及的行业是:制造业6684户,占71.24%;批发和零售贸易餐饮业1060户,占11.3%;社会服务业671户,占7.15%;农林牧渔业425户,占4.25%。
1.1998年新登记外资企业比1997年增加了多少?()
A.106.59亿
B.9382户
C.3个百分点
D.6684户
2.1997年外资企业认缴出资额比1998年少多少?()
A.11%
B.20.1%
C.25.26%
D.11.3%
3.外资入注主要从事的行业中比重最大的行业比其他行业多多少?()
A.71.24%
B.40%
C.11.3%
D.42.28%
4.外资入注的社会服务业的比例为多少?()
A.7.15%
B.11.3%
C.4.25%
D.无法确定
5.下列判断正确的是()。
A.外资入注比上年增多
B.外资入注的社会服务业比上年有所减少
C.外资入住的农林牧渔业比上年有所减少
D.外贸入住的第3产业比上年有所减少
答案解析
1.答案: C
解析: 根据材料“1998年新登记外资企业共9382户,比上年增长3.11%”,可知C选项正确。因此,本题答案为C选项。
2.答案: B
解析: 根据材料“1998年新登记外资企业共9382户,认缴出资额106.59亿美元,比上年分别增长3.11%和25.26%”,可知1997年的外资企业认缴出资额与1998年的差值,相比1998年的减少率≈20%。因此,本题答案为B选项。
3.答案: D
解析: 根据材料“外资企业主要涉及的行业是:制造业6684户,占71.24%”,可知比重最大行业为制造业,所占比重=71.24%,则其他行业比重=1-71.24%=1-71%=29%,差值=71%-29%=42%。因此,本题答案为D选项。
4.答案: D
解析: 根据材料“外资企业涉及社会服务业671户,占7.15%”,此7.15%指的是外资入注的社会服务业在外资所涉及的所有行业中的比重,但材料未涉及社会服务业的总量,故无法判断外资入注的社会服务业占社会服务业总量的比例。因此,本题答案为D选项。
5.答案: A
解析: A选项:由材料可知外资企业登记数、所占份额、认缴出资额均比上年增长,可得入注比上年增多,A选项正确;
B选项:材...
2013年413联考在即,出国留学网公务员频道(https://www.liuxue86.com/gongwuyuan)为帮助您更好的复习常识知识,特意为您整理了公务员考试中常出现的行测考点,希望对您有所帮助。
2002年我国加工贸易进出口总额统计表:(单位:亿美元)

1.2002年我国加工贸易进出口总额为多少亿美元?( )
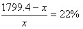
A.1799.4 B.1222.3 C.3021.7 D.6204.7
2.2001年我国加工贸易出口额是多少亿美元?( )
A.1474.9 B.1223.3 C.939.5 D.2414.4
3.2001年我国加工贸易进口额是多少亿美元?( )
A.1474.9 B.1222.3 C.939.5 D.854.4
4.2002年我国加工贸易进出口总值比2001年增长了多少?( )
A.22% B.25.2% C.26.05% D.30.1%
9.2002年全国外贸进出口总值为多少亿美元?( )
A.3021.7 B.6204.7 C.4493.3 D.5632.2
国家公务员考试网(www.liuxue86.com/gongwuyuan//)解析 题目或解析有误,我要纠错。
1.C。
亿美元。
2.A。设2001年我国的加工贸易出口额为
亿美元,则得到
,解得x=1474.9。
...
本文是由出国留学网公务员频道(https://www.liuxue86.com/gongwuyuan) 独家为您整理的行测知识,供您参考,想了解行测考试中的其它内容,欢迎您登录我们行政职业能力测试专题,点击进入
根据以下图表和文字回答1~5题:

1.1982~2000年,北京劳动力资源增长了:( )。
A.45.2% B.47.2% C.58.3% D.51.3%
2.以下说法不正确的是:( )。
A.近年来北京劳动力资源加速增长
B.劳动力资源的增长速度明显超过从业人员增长的速度
C.劳动力资源与从业人员的数量差距呈现稳定增加的趋势
D.劳动力供给明显大于对劳动力的需求
3.下列哪些因素不是造成北京市失业人口增加的原因?( )。
A.劳动力资源增长快于从业人员的增长 B.产业结构调整步伐缓慢
C.外来流动人口的迅速涌入 D.劳动力供给明显大于对劳动力的需求
4.2000年北京市失业人口占总人口的比重比1990年增加:( )。
A.7.2个百分点 B.8.9个百分点
C.14.5个百分点 D.9.5个百分点
5.如果经济发展对劳动力吸纳能力的减弱是失业现象的基础性因素,那么劳动力供给和需求总量上的矛盾则成为失业直接的表现形式。下列哪一项不是导致这种矛盾扩大的原因?( )。
A.每年新增应届毕业生增加
B.就业人员的素质越来越不适应高新技术产业和现代服务业的发展
C.留学归国创业的人员增多
D.外地来京务工人员迅速增多
国家公务员考试网(www.liuxue86.com/gongwuyuan//)解析 题目或解析有误,我要纠错。
1.C【解析】960.2-606.5/606.5≈58.3%。故正确答案为C。
2.C【解析】劳动力资源与从业人员的差距呈现逐年拉大的趋势,而不是稳定增加。故正确答案为C。
3.D...
行测是公务员行测考试中必须出现的内容,在类比推理题中也占有一定比例,而这部分内容简单,但是很琐碎,需要同学们经常阅读,经常整理,经常积累,这样才能保证在考试中不丢分。出国留学网公务员频道(https://www.liuxue86.com/gongwuyuan)已经为大家整理好了,只要你登录我们的网站,就可以免费练习。
据2006年4月6日《新闻晚报》报道,3月份人民币汇率双向波动加剧,上周人民币汇率上下波动更加明显,到上周五,一下升值100点,创下汇改以来8.0170新高。而本周人民币兑美元稍有下跌后又开始步步走高。周一,1美元兑人民币中间价8.0210元,周二美元兑人民币中间价8.0194元。而昨日(4月5日星期三)人民币对美元汇率收盘价一举突破8.01关口,达到8.0073:1,首度升至8.0000平台,再创汇改以来新高。根据中国外汇交易中心公布,2006年4月5日银行间外汇市场美元等交易货币对人民币汇率的中间价为:1美元对人民币8.0116元,1欧元对人民币9.8133元,100日元对人民币为6.8242元,l港元兑人民币1.03252元。数据显示,2005年中国的外汇储备猛增了2100亿美元,总额达到8120亿美元。美国的对华贸易逆差激起了美国人对巨额贸易赤字的焦虑感,因此一直要求人民币升值,希望以此来缓解巨大的贸易逆差。
1.根据专家推断,2006年内人民币将升值3%左右。按4月5日外汇市场美元兑人民币汇率的中间价推算,人民币对美元的汇率到2006年年底将跌至多少?( )
A.8.0000左右 B.7.7713左右 C.7.2055左右 D.7.0000左右
2.2006年4月5日人民币对美元外汇的收盘价是创汇改以来的新高( )
A.8.0000 B.8.0073 C.8.0116 D.8.0194
3.2005年中国的外汇储备增幅为( )
A.20.86% B.25.86% C.30.88% D.34.88%
4.按4月5日人民币对外币汇率的中间价,1欧元可换多少美元?( )
A.78.6202 B.1.2249 C.1.1429 D.0.8164
5.下面哪个图反映2006年3月5日~2006年4月5日期间1美元兑人民币汇率中间价的实时趋势?( )

...
欢迎来到出国留学网公务员频道(https://www.liuxue86.com/gongwuyuan),本文是我们为您提供的行测练习,内容不断更新中,请时时关注,想练习更多试题,欢迎访问我们的模拟试题专栏,里面包含公务员考试的各类模拟试题,点击进入。
【例题】根据以下资料,回答1~5题。

1.2008年山东省居民消费大类价格指数中,与居民消费价格指数相差最小的是( )。
A.蛋 B.鲜菜 C.烟酒及用品 D.居住
2.2008年山东省农村居民消费大类中,价格同比变化超过城市的有( )。
A.3个 B.4个 C.5个 D.6个
3.下列说法,不能得到图形支持的是( )。
A.2008年,山东省工业品出厂价格指数和原材料、燃料、动力购进价格指数走势基本一致
B.2008年,山东省居民消费价格、工业品出厂价格和原材料、燃料、动力购进价格均高于上年同期
C.2008年,山东省居民消费价格指数<工业品出厂价格指数<原材料、燃料、动力购进价格指数
D.总的来说,2008年山东省原材料、燃料、动力购进价格的上涨带动了工业品出厂价格的上涨
4.2008年,山东省居民消费价格分月指数大于当年居民消费价格指数的有( )个月。
A.5 B.6 C.7 D.8
5.根据材料,下列说法中正确的有( )。
Ⅰ。2008年山东省城乡居民分类消费价格与居民消费分类价格变化趋势完全一致
Ⅱ。2008年山东省居民各种食品消费中,城市价格变化均小于农村
Ⅲ。2008年在图中所示的几个价格指数中,山东省原材料、燃料、动力购进价格指数波动最大
Ⅳ。2008年,在图中所示的几个价格指数中,山东省工业品出厂价格指数和原材料、燃料、动力购进价格指数差距最大的是7月,最小的是12月
A.Ⅰ、Ⅱ B.Ⅰ、Ⅳ C.Ⅱ、Ⅲ D.Ⅲ、Ⅳ
国家公务员考试网(www.liuxue86.com/gongwuyuan//)解析 题目或解析有误,我要纠错。
1.C
2.D
欢迎来到出国留学网公务员频道(https://www.liuxue86.com/gongwuyuan),本文是我们为您提供的行测练习,内容不断更新中,请时时关注,想练习更多试题,欢迎访问我们的模拟试题专栏,里面包含公务员考试的各类模拟试题,点击进入。
【例题】根据下列文字材料完成1~5题。
医保改革政策出台,退休职工在政策中也被给予了照顾,他们免交基本医疗保险费的2%;从统筹基金打入个人账户的部分,退休职工将大大高于在职职工;退休职工在住院时,个人负担的费用只相当于在职职工的60%。另外,在大额费用互助中有一个享受补助的起点,在职职工是2000元,退休职工是1500元。退休职工70岁以下补助60%,70岁以上补助70%,而在职职工只报销50%。医保启动之初已参加大病统筹的单位在开始时应一次性给这些退休职工注入一笔资金,一般注入200元。
1.老张符合补助条件,他今年76,按规定应补助多少。( )。
A.60% B.70% C.50% D.无法确立
2.如果基本医疗保险费为1368元,则退休职工需缴纳多少元。( )。
A.1368 B.2000 C.1341 D.无法确定
3.在职职工的补助起点比退休职工高多少。( )。
A.2000 B.1500 C.500 D.无法确定
4.小李在工作期间不幸得了重病,医疗费用花去23910元,按规定他应报销多少。( )。
A.23910 B.11955 C.2000 D.无法确定
5.老曹今年69,因脑血栓住院花去37800元,按规定他应得到多少补助。( )。
A.15120 B.37800 C.21780 D.无法确定
国家公务员考试网(www.liuxue86.com/gongwuyuan//)解析 题目或解析有误,我要纠错。
1.B。【解析】按照材料中“70岁以上补助70%”,老张76岁应补助70%。故答案为B。
2.C。【解析】退休职工需缴纳基本医疗保险费用为:1368×(1-2%)=1341(元)。故答案为C。
3.C。【解析】在职工的补助起点比退休职工高:2000-1500=500(元)。故答案为B。<...
本文是由出国留学网公务员频道(https://www.liuxue86.com/gongwuyuan) 独家为您整理的行测知识,供您参考,想了解行测考试中的其它内容,欢迎您登录我们行政职业能力测试专题,点击进入
根据以下资料,回答1~5题。
国家工商总局公布的数据显示,2009年第一季度,全国工商行政管理机关共查处各类违法违章案件68202件,同比下降29.98%;其中立案查处案件49654件,同比下降32.26%。案件总值33.57亿元,同比下降21.26%,罚没金额3.33亿元,同比下降39.49%。
从违反法规看,违法企业登记管理法规案件9216件,同比下降38.54%;违反产品质量法规案件6760件,同比下降27.51%;违反反不正当竞争法规案件4944件,同比增长6.51%;违反商标法规案件4119件,同比下降21.93%;违反广告法规案件2141件,同比下降24.27%;违反消费者权益保护法规案件1644件,下降13.66%;违反合同法规案件156件,同比下降57.02%。
从违法主体看,在立案查处的案件中,个体工商户案件22142件,同比下降22.73%;自然人案件12472件,同比下降49.04%;公司案件6521件,同比下降21.37%,私营企业案件3957件,同比下降22.27%;集体企业案件728件,同比下降45.26%。
1.若保持同比下降率不变,预计2010年第一季度全国立案查处案件数将:
A.接近4.8万 B.接近3.4万
C.接近1.6万 D.接近2.1万
2.2009年第一季度,违反产品质量法规案件减少量是违反商标法规案件减少量的几倍?
A.1.25 B.1.56 C.1.77 D.2.22
3.2009年第一季度,各类违法主体占立案查处案件比重的最高值与最低值相差多少?
A.43.13% B.36.62% C.31.40% D.26.67%
4.下列说法与资料相符的有几个?
(1)2009年第一季度,罚没金额同比下降率大于案件总值同比下降率
(2)2008年第一季度,违反合同法规案件为353件
(3)2009年第一季度,公司案件数大于私营企业案件与集体企业案件数之和
A.0 B.1 C.2 D.3
5.根据上述资料,以下描述不正确的是:
A.2009年第一季度,自然人案件与集体企业案件同比下降均超过40%
B.2009年第一季度,违反广告法规案件占各类违法违章案件的比重为3.14%
C.2009年第一季度,违反各类法规案件与去年同期相比均有下降
D.2009年第一季度,违反反不正当竞争法规案件数量大约是违反消费者权益保护法规案件数量的...
俗话说“不积跬步,无以至千里,不积小流,无以至大海”,公务员考试中的行测判断便是这句话最好的解读。行测知识积累,在于持之以恒,并非一朝一夕所能掌握的,因此出国留学网公务员频道。(https://www.liuxue86.com/gongwuyuan)帮助大家整理出近几年公务员考试中常见的行测考点供大家分享,时时更新,时刻关注!
【例题】根据以下资料,回答1~5题。
1952年,我国国内生产总值(GDP)仅为300亿美元。1960年,达到614亿美元。之后,每年的GDP总量呈稳步小幅上升态势。1972年突破1000亿美元,之后用了10年的时间达到2021亿美元(1982年)。从此以后,我国GDP总量逐年稳步大幅增加,2008年达到38600亿美元。1960年,我国GDP占世界的比重为4.6%,1987年曾一度跌至1.6%,此后逐年上升,从2000年的3.7%提高到2008年的6.4%。

1.1960年,世界GDP总量为( )。
A.13159亿美元 B.13348亿美元
C.13576亿美元 D.13722亿美元
2.在表格所示年份中,世界主要国家和地区中经济增长率均高于世界平均水平的有( )。
A.5个 B.4个 C.3个 D.2个
3.2007年,我国GDP占世界的比重约为( )。
A.6.3% B.6.0% C.5.7% D.5.4%
4.1960-1982年我国GDP年均增长率与1961-2008年相比,( )。
A.前者小于后者 B.前者大于后者
C.两者持平 D.无法比较
5.根据所给材料,下列说法中正确的一项是( )。
A.1961年我国GDP比上年减少约156亿美元
B.1979-2008年,我国GDP年增长率大于世界平均水平
C.主要发展中国家在世界经济中扮演着越来越重要的角色
D.以上说法均不正确
国家公务员考试网(www.liuxue86.com/gongwuyuan//)解析 题目或解析有误,我要纠...
本文是由出国留学网公务员频道(https://www.liuxue86.com/gongwuyuan) 独家为您整理的行测知识,供您参考,想了解行测考试中的其它内容,欢迎您登录我们行政职业能力测试专题,点击进入
根据下列文字,回答1-5题
2007年全年建设占用耕地18.83万公顷,灾毁耕地1.79万公顷,生态退耕2.54万公顷,因农业结构调整减少耕地O.49万公顷,土地整理复垦开发补充耕地l9.58万公顷。
全年水资源总量24690亿立方米,比上年减少2.5%;人均水资源1873立方米,减少3.0%。全年平均降水量608毫米,增加1.9%。年末全国大型水库蓄水总量1869亿立方米,比上年末多蓄水52亿立方米。全年总用水量5760亿立方米,比上年减少0.6%。其中,生活用水增长1.6%,工业用水增长2.7%,农业用水减少2.2%。万元国内生产总值用水量253立方米,比上年下降10.8%。万元工业增加值用水量139立方米,下降9.5%。人均用水量437立方米,下降1.1%。
国土资源调查及地质勘查新发现大中型矿产地208处,其中,能源矿产地50处,金属矿产地73处,非金属矿产地82处,水气矿产地3处。有77种矿产新增查明资源储量,其中,石油12.1亿吨,天然气6974亿立方米,原煤406.2亿吨。
初步测算,全年能源消费总量26.5亿吨标准煤,比上年增长7.8%。煤炭消费量25.8亿吨,增长7.9%;原油消费量3.4亿吨,增长6.3%;天然气消费量673亿立方米,增长19.9%;电力消费量32632亿千瓦小时,增长14.1%。主要原材料消费中,钢材5.2亿吨,增长17.4%;精炼铜399万吨,增长13.0%;电解铝1112万吨,增长27.6%;乙烯1048万吨,增长11.4%;水泥13.3亿吨,增长10.5%。
1. 2007年人口增长率为( )
A.0.52% B.0.54% C.0.58% D.0.62%
2.关于用水量的说法,下列错误的是( )
A.2006全年总用水量为5670亿立方米
B.工业用水增长最快
C.万元国内生产总值用水量,万元工业增加值用水量,人均用水量均有所减少
D.人们的节水意识提高了
3.今年新增查明的煤炭,按照2007年的消耗量,能增加煤炭使用时间多少年( )
A.15.7 B.100 C.157 D.200
4.主要原材料消费中,2007年哪种原材料消耗增加最少( )
A.钢材 B.精炼铜 C.乙烯 D.水泥
国家公务员考试网(www.liuxue86.com/gongwuyuan//)解析 题目或解析有误,我要纠错。
...
还有一个月就要进行笔试考试了,你准备好了吗?出国留学网公务员频道。(https://www.liuxue86.com/gongwuyuan)为您收集整理了许多行测判断练习题及答案解析,让您充满自信的走进考试,交上一份理想的答卷。
【例题】根据以下资料,回答1~5题。
国家工商总局公布的数据显示,2009年第一季度,全国工商行政管理机关共查处各类违法违章案件68202件,同比下降29.98%;其中立案查处案件49654件,同比下降32.26%。案件总值33.57亿元,同比下降21.26%,罚没金额3.33亿元,同比下降39.49%。
从违反法规看,违法企业登记管理法规案件9216件,同比下降38.54%;违反产品质量法规案件6760件,同比下降27.51%;违反反不正当竞争法规案件4944件,同比增长6.51%;违反商标法规案件4119件,同比下降21.93%;违反广告法规案件2141件,同比下降24.27%;违反消费者权益保护法规案件1644件,下降13.66%;违反合同法规案件156件,同比下降57.02%。
从违法主体看,在立案查处的案件中,个体工商户案件22142件,同比下降22.73%;自然人案件12472件,同比下降49.04%;公司案件6521件,同比下降21.37%,私营企业案件3957件,同比下降22.27%;集体企业案件728件,同比下降45.26%。
1. 若保持同比下降率不变,预计2010年第一季度全国立案查处案件数将( )
A.接近4.8万 B.接近3.4万
C.接近1.6万 D.接近2.1万
2. 2009年第一季度,违反产品质量法规案件减少量是违反商标法规案件减少量的几倍?
A.1.25 B.1.56 C.1.77 D.2.22
3. 2009年第一季度,各类违法主体占立案查处案件比重的最高值与最低值相差多少?
A.43.13% B.36.62% C.31.40% D.26.67%
4. 下列说法与资料相符的有几个?
(1)2009年第一季度,罚没金额同比下降率大于案件总值同比下降率
(2)2008年第一季度,违反合同法规案件为353件
(3)2009年第一季度,公司案件数大于私营企业案件与集体企业案件数之和
A.0 B.1 C.2 D.3
5. 根据上述资料,以下描述不正确的是:
A.2009年第一季度,自然人案件与集体企业案件同比下降均超过40%
B.2009年第一季度,违...
公务员资料分析推荐访问