出国留学网专题频道双一流大学排行榜栏目,提供与双一流大学排行榜相关的所有资讯,希望我们所做的能让您感到满意!
出国留学高考网为大家提供2018中国双一流大学排行榜,更多高考资讯请关注我们网站的更新!
2018中国双一流大学排行榜
哪些双一流大学跻身世界一流大学、世界高水平大学、中国顶尖大学和中国一流大学行列? 哪些大学跻身2018中国大学排行榜100强?
艾瑞深中国校友会网编写完成、科学出版社即将出版的《2018中国大学评价研究报告—中国高考志愿填报指南(校友会版)》最新发布校友会2018中国大学排行榜1200强,北京大学第1,清华大学第2,浙江大学第3,复旦大学第4,中国人民大学第5。清华大学、北京大学和中国人民大学荣膺2018中国八星级大学,雄居2018中国最好大学排行榜前三强,晋升世界一流大学行列。吉林大学珠海学院、云南师范大学商学院和四川大学锦江学院列2018中国独立学院排行榜前三,武昌首义学院、文华学院和山东英才学院居2018中国民办大学排行榜前三。全国87所双一流大学跻身100强,昆明理工大学、深圳大学列2018中国非双一流大学排行榜冠亚军,清华大学、北京大学和中国人民大学跻身2018中国大学校友捐赠“20亿俱乐部”。
全国42所高校跻身“双一流”一流大学行列,98所高校跻身世界一流学科建设高校
2017年9月21日,教育部、财政部、国家发展改革委联合发布《关于公布世界一流大学和一流学科建设高校及建设学科名单的通知》,全国31个省市自治区的140所高校的465个学科跻身国家“双一流”建设高校及学科名单,北京、江苏、上海、陕西和四川入选高校数量最多,985工程和211工程大学均入选国家“双一流”建设高校名单。国家“双一流”高校分为一流大学和一流学科建设高校两个层次,一流大学建设高校42所,分A类和B类;A类有北京大学、清华大学、中国人民大学等36所高校;B类有东北大学、湖南大学、云南大学等6所高校。中国科学院大学、河海大学、宁波大学等98所高校跻身世界一流学科建设高校。
全国87所双一流大学跻身全国100强,6所一流学科建设高校跌出200强
报告显示,在最新艾瑞深中国校友会网2018中国大学排行榜中,87所双一流大学跻身100强,“双一流”高校在中国高等教育中处于领先地位。东北师范大学,西南大学,武汉理工大学,西南交通大学,北京交通大学,华中师范大学和河海大学等7所世界一流学科建设高校跻身全国42强, 是下一轮国家世界一流大学建设高校的有力竞争者。国防科技大学、中国科学院大学、中国传媒大学等未参与2018中国大学综合实力排行榜评价的双一流高校均入选2018中国五星级以上大学名单。令人遗憾的是,宁夏大学,上海海洋大学,西南石油大学,成都中医药大学,西藏大学和青海大学等6所一流学科建设高校跌出全国200强。
在最新校友会2018中国最好大学排行榜中,清华大学、北京大学和中国人民大学等3所高校荣膺2018中国八星级大学,晋升世界一流大学行列。复旦大学、南京大学、上海交通大学、中国科学技术大学、国防科技大学和中国科学院大学等16所高校荣膺2018中国七星级大学,晋升世界知名高水平大学、中国顶尖大学行列。北京师范大学、东南大学、中南大学、山东大学、中央民族大学、北京中医药大学和中国传媒大学等22所高校荣膺2018中国六星级大学,晋升世界高水平大学、中国顶尖大学行列。大连理工大学、北京理工大学、西北工业大学、东北大学、东北师范大学、湖...
11-02
出国留学网高考网为大家提供校友会:2017年中国体育类双一流大学排行榜,更多高考资讯请关注我们网站的更新!
校友会:2017年中国体育类双一流大学排行榜
中国体育类哪些大学跻身2017年国家“双一流”一流大学、一流学科建设高校行列?哪些体育类高校落选“双一流”?哪些体育类大学是“双一流”建设的最大赢家?
2017年9月21日,教育部等3部委联合发布世界一流大学和一流学科建设高校及建设学科名单,艾瑞深中国校友会网《2017中国大学评价研究报告》最新发布2017中国双一流大学排行榜和2017中国各类型双一流大学排行榜等榜单。榜单显示,全国86所中国百强高校、25所非985和211工程大学跻身“双一流”建设高校行列,全国综合类、理工类、医药类、农林类和师范类院校入选“双一流”的高校数量最多;北京大学、清华大学雄居2017中国双一流大学排行榜冠亚军,是未来冲击世界一流大学前列、创建世界顶尖大学的排头兵。北京体育大学、上海体育学院雄居校友会2017中国体育类双一流大学排行榜冠亚军。
中国体育类2所高校跻身国家“双一流”大学,武汉体育学院、成都体育学院等高校落选
榜单显示,在教育部公布的国家“双一流”建设高校中,全国共2所体育类高校入选“双一流”,雄居校友会2017中国各类型双一流大学排行榜第10名。其中,无高校入选国家“双一流”世界一流大学A类建设高校;无高校入选世界一流大学B类建设高校,北京体育大学、上海体育学院等2所高校入围世界一流学科建设高校,是中国体育类高校的最大赢家;武汉体育学院、成都体育学院等中国四星级大学落选国家“双一流”大学名单。
艾瑞深研究院中国校友会网大学研究团队起源于1989年创建成立的“中国管理科学研究院科学学研究所高等院校比较研究课题组”,1989年发布中国第1个综合大学排行榜,2003年至今已连续15年发布校友会中国大学排行榜,是目前中国持续开展大学评价研究时间最长的研究团队,已有近40年中国高校自我评估和社会评价的历史。由艾瑞深研究院中国校友会网赵德国、蔡言厚和党亚茹著,武汉理工大学出版社出版的《2017中国大学评价研究报告》一书将于2017年10月面向全国公开发行。

小编精心为您推荐:
11-02
出国留学网高考网为大家提供2017年中国艺术类双一流大学排行榜,更多高考资讯请关注我们网站的更新!
2017年中国艺术类双一流大学排行榜
中国艺术类哪些大学跻身2017年国家“双一流”一流大学、一流学科建设高校行列?哪些艺术类高校落选“双一流”?哪些艺术类大学是“双一流”建设的最大赢家?
2017年9月21日,教育部等3部委联合发布世界一流大学和一流学科建设高校及建设学科名单,艾瑞深中国校友会网《2017中国大学评价研究报告》最新发布2017中国双一流大学排行榜和2017中国各类型双一流大学排行榜等榜单。榜单显示,全国86所中国百强高校、25所非985和211工程大学跻身“双一流”建设高校行列,全国综合类、理工类、医药类、农林类和师范类院校入选“双一流”的高校数量最多;北京大学、清华大学雄居2017中国双一流大学排行榜冠亚军,是未来冲击世界一流大学前列、创建世界顶尖大学的排头兵。中央美术学院、中央戏剧学院、中央音乐学院雄居校友会2017中国艺术类双一流大学排行榜前3甲。
中国艺术类6所高校跻身国家“双一流”大学,北京电影学院、中国戏曲学院等高校遗憾落选
榜单显示,在教育部公布的国家“双一流”建设高校中,全国共6所艺术类高校入选“双一流”,雄居校友会2017中国各类型双一流大学排行榜第7名。其中,无高校入选国家“双一流”世界一流大学A类建设高校;无高校入选世界一流大学B类建设高校,中央美术学院、中央戏剧学院、中央音乐学院、中国音乐学院、中国美术学院、上海音乐学院等6所高校入围世界一流学科建设高校,是中国艺术类高校的最大赢家;北京电影学院、北京舞蹈学院、中国戏曲学院、上海戏剧学院等中国五星级以上大学遗憾落选国家“双一流”大学名单。
艾瑞深研究院中国校友会网大学研究团队起源于1989年创建成立的“中国管理科学研究院科学学研究所高等院校比较研究课题组”,1989年发布中国第1个综合大学排行榜,2003年至今已连续15年发布校友会中国大学排行榜,是目前中国持续开展大学评价研究时间最长的研究团队,已有近40年中国高校自我评估和社会评价的历史。由艾瑞深研究院中国校友会网赵德国、蔡言厚和党亚茹著,武汉理工大学出版社出版的《2017中国大学评价研究报告》一书将于2017年10月面向全国公开发行。

小编精心为您推荐:
11-02
出国留学网高考网为大家提供校友会:2017中国语言类双一流大学排行榜,更多高考资讯请关注我们网站的更新!
校友会:2017中国语言类双一流大学排行榜
中国语言类哪些大学跻身2017年国家“双一流”一流大学、一流学科建设高校行列?哪些语言类高校落选“双一流”?哪些语言类大学是“双一流”建设的最大赢家?
2017年9月21日,教育部等3部委联合发布世界一流大学和一流学科建设高校及建设学科名单,艾瑞深中国校友会网《2017中国大学评价研究报告》最新发布2017中国双一流大学排行榜和2017中国各类型双一流大学排行榜等榜单。榜单显示,全国86所中国百强高校、25所非985和211工程大学跻身“双一流”建设高校行列,全国综合类、理工类、医药类、农林类和师范类院校入选“双一流”的高校数量最多;北京大学、清华大学雄居2017中国双一流大学排行榜冠亚军,是未来冲击世界一流大学前列、创建世界顶尖大学的排头兵。中国传媒大学、北京外国语大学、外交学院雄居校友会2017中国语言类双一流大学排行榜前3甲。
中国语言类4所高校跻身国家“双一流”大学,广东外语外贸大学、北京语言大学等高校遗憾落选
榜单显示,在教育部公布的国家“双一流”建设高校中,全国共4所语言类高校入选“双一流”,雄居校友会2017中国各类型双一流大学排行榜第9名。其中,无高校入选国家“双一流”世界一流大学A类建设高校;无高校入选世界一流大学B类建设高校,中国传媒大学、北京外国语大学、外交学院、上海外国语大学等4所高校入围世界一流学科建设高校,是中国语言类高校的最大赢家;广东外语外贸大学、北京语言大学等2017年中国大学排行榜前200强高校落选国家“双一流”大学名单。
艾瑞深研究院中国校友会网大学研究团队起源于1989年创建成立的“中国管理科学研究院科学学研究所高等院校比较研究课题组”,1989年发布中国第1个综合大学排行榜,2003年至今已连续15年发布校友会中国大学排行榜,是目前中国持续开展大学评价研究时间最长的研究团队,已有近40年中国高校自我评估和社会评价的历史。由艾瑞深研究院中国校友会网赵德国、蔡言厚和党亚茹著,武汉理工大学出版社出版的《2017中国大学评价研究报告》一书将于2017年10月面向全国公开发行。

小编精心为您推荐:
11-02
出国留学网高考网为大家提供2017中国政法类双一流大学排行榜(校友会),更多高考资讯请关注我们网站的更新!
2017中国政法类双一流大学排行榜(校友会)
中国政法类哪些大学跻身2017年国家“双一流”一流大学、一流学科建设高校行列?哪些政法类高校落选“双一流”?哪些政法类大学是“双一流”建设的最大赢家?
2017年9月21日,教育部等3部委联合发布世界一流大学和一流学科建设高校及建设学科名单,艾瑞深中国校友会网《2017中国大学评价研究报告》最新发布2017中国双一流大学排行榜和2017中国各类型双一流大学排行榜等榜单。榜单显示,全国86所中国百强高校、25所非985和211工程大学跻身“双一流”建设高校行列,全国综合类、理工类、医药类、农林类和师范类院校入选“双一流”的高校数量最多;北京大学、清华大学雄居2017中国双一流大学排行榜冠亚军,是未来冲击世界一流大学前列、创建世界顶尖大学的排头兵。中国政法大学、中国人民公安大学雄居校友会2017中国政法类双一流大学排行榜前2强。
中国政法类2所高校跻身国家“双一流”大学,西南政法大学遗憾落选
榜单显示,在教育部公布的国家“双一流”建设高校中,全国共2所政法类高校入选“双一流”,雄居校友会2017中国各类型双一流大学排行榜第10名。其中,无高校入选国家“双一流”世界一流大学A类建设高校;无高校入选世界一流大学B类建设高校,中国政法大学、中国人民公安大学等2所高校入围世界一流学科建设高校,是中国政法类高校的最大赢家;西南政法大学、华东政法大学等2017年中国大学排行榜前200强高校落选国家“双一流”大学名单。
艾瑞深研究院中国校友会网大学研究团队起源于1989年创建成立的“中国管理科学研究院科学学研究所高等院校比较研究课题组”,1989年发布中国第1个综合大学排行榜,2003年至今已连续15年发布校友会中国大学排行榜,是目前中国持续开展大学评价研究时间最长的研究团队,已有近40年中国高校自我评估和社会评价的历史。由艾瑞深研究院中国校友会网赵德国、蔡言厚和党亚茹著,武汉理工大学出版社出版的《2017中国大学评价研究报告》一书将于2017年10月面向全国公开发行。

小编精心为您推荐:
11-02
出国留学网高考网为大家提供校友会:2017中国农林类双一流大学排行榜,更多高考资讯请关注我们网站的更新!
校友会:2017中国农林类双一流大学排行榜
中国农林类哪些大学跻身2017年国家“双一流”一流大学、一流学科建设高校行列?哪些农林类高校落选“双一流”?哪些农林类大学是“双一流”建设的最大赢家?
2017年9月21日,教育部等3部委联合发布世界一流大学和一流学科建设高校及建设学科名单,艾瑞深中国校友会网《2017中国大学评价研究报告》最新发布2017中国双一流大学排行榜和2017中国各类型双一流大学排行榜等榜单。榜单显示,全国86所中国百强高校、25所非985和211工程大学跻身“双一流”建设高校行列,全国综合类、理工类、医药类、农林类和师范类院校入选“双一流”的高校数量最多;北京大学、清华大学雄居2017中国双一流大学排行榜冠亚军,是未来冲击世界一流大学前列、创建世界顶尖大学的排头兵。中国农业大学、南京农业大学、华中农业大学雄居校友会2017中国农林类双一流大学排行榜前3甲。
中国农林类10所高校跻身国家“双一流”大学,华南农业大学、福建农林大学等高校遗憾落选
榜单显示,在教育部公布的国家“双一流”建设高校中,全国共10所农林类高校入选“双一流”,雄居校友会2017中国各类型双一流大学排行榜第8名。其中,中国农业大学等1所高校入选国家“双一流”世界一流大学A类建设高校,是中国农林类高校的最大赢家;西北农林科技大学等1所高校入选世界一流大学B类建设高校,南京农业大学、华中农业大学、北京林业大学、东北林业大学、东北农业大学、四川农业大学、南京林业大学、上海海洋大学等8所高校入围世界一流学科建设高校;华南农业大学、福建农林大学、山东农业大学、河南农业大学、湖南农业大学、河北农业大学、沈阳农业大学、云南农业大学等2017年中国大学排行榜前200强高校落选国家“双一流”大学名单。
艾瑞深研究院中国校友会网大学研究团队起源于1989年创建成立的“中国管理科学研究院科学学研究所高等院校比较研究课题组”,1989年发布中国第1个综合大学排行榜,2003年至今已连续15年发布校友会中国大学排行榜,是目前中国持续开展大学评价研究时间最长的研究团队,已有近40年中国高校自我评估和社会评价的历史。由艾瑞深研究院中国校友会网赵德国、蔡言厚和党亚茹著,武汉理工大学出版社出版的《2017中国大学评价研究报告》一书将于2017年10月面向全国公开发行。

小编精心为您推荐:
11-02
出国留学网高考网为大家提供2017中国民族类双一流大学排行榜,更多高考资讯请关注我们网站的更新!
2017中国民族类双一流大学排行榜
中国民族类哪些大学跻身2017年国家“双一流”一流大学、一流学科建设高校行列?哪些民族类高校落选“双一流”?哪些民族类大学是“双一流”建设的最大赢家?
2017年9月21日,教育部等3部委联合发布世界一流大学和一流学科建设高校及建设学科名单,艾瑞深中国校友会网《2017中国大学评价研究报告》最新发布2017中国双一流大学排行榜和2017中国各类型双一流大学排行榜等榜单。榜单显示,全国86所中国百强高校、25所非985和211工程大学跻身“双一流”建设高校行列,全国综合类、理工类、医药类、农林类和师范类院校入选“双一流”的高校数量最多;北京大学、清华大学雄居2017中国双一流大学排行榜冠亚军,是未来冲击世界一流大学前列、创建世界顶尖大学的排头兵。中央民族大学雄居校友会2017中国民族类双一流大学排行榜榜首。
中国民族类1所高校跻身国家“双一流”大学,中央民族大学成双一流建设最大赢家
榜单显示,在教育部公布的国家“双一流”建设高校中,全国共1所民族类高校入选“双一流”,雄居校友会2017中国各类型双一流大学排行榜第5名。其中,中央民族大学等1所高校入选国家“双一流”世界一流大学A类建设高校,是中国民族类高校的最大赢家;无高校入选世界一流大学B类建设高校,无高校入围世界一流学科建设高校;中南民族大学、云南民族大学等2017年中国大学排行榜前200强高校落选国家“双一流”大学名单。
艾瑞深研究院中国校友会网大学研究团队起源于1989年创建成立的“中国管理科学研究院科学学研究所高等院校比较研究课题组”,1989年发布中国第1个综合大学排行榜,2003年至今已连续15年发布校友会中国大学排行榜,是目前中国持续开展大学评价研究时间最长的研究团队,已有近40年中国高校自我评估和社会评价的历史。由艾瑞深研究院中国校友会网赵德国、蔡言厚和党亚茹著,武汉理工大学出版社出版的《2017中国大学评价研究报告》一书将于2017年10月面向全国公开发行。

小编精心为您推荐:
11-02
出国留学网高考网为大家提供校友会:2017中国医药类双一流大学排行榜,更多高考资讯请关注我们网站的更新!
校友会:2017中国医药类双一流大学排行榜
中国医药类哪些大学跻身2017年国家“双一流”一流大学、一流学科建设高校行列?哪些医药类高校落选“双一流”?哪些医药类大学是“双一流”建设的最大赢家?
2017年9月21日,教育部等3部委联合发布世界一流大学和一流学科建设高校及建设学科名单,艾瑞深中国校友会网《2017中国大学评价研究报告》最新发布2017中国双一流大学排行榜和2017中国各类型双一流大学排行榜等榜单。榜单显示,全国86所中国百强高校、25所非985和211工程大学跻身“双一流”建设高校行列,全国综合类、理工类、医药类、农林类和师范类院校入选“双一流”的高校数量最多;北京大学、清华大学雄居2017中国双一流大学排行榜冠亚军,是未来冲击世界一流大学前列、创建世界顶尖大学的排头兵。北京协和医学院、天津医科大学、中国药科大学雄居校友会2017中国医药类双一流大学排行榜前3甲。
中国医药类11所高校跻身国家“双一流”大学,首都医科大学、南方医科大学等高校遗憾落选
榜单显示,在教育部公布的国家“双一流”建设高校中,全国共11所医药类高校入选“双一流”,雄居校友会2017中国各类型双一流大学排行榜第6名。其中,无高校入选国家“双一流”世界一流大学A类建设高校;无高校入选世界一流大学B类建设高校,北京协和医学院、天津医科大学、中国药科大学、北京中医药大学、上海中医药大学、南京中医药大学、广州中医药大学、天津中医药大学、成都中医药大学、第四军医大学、第二军医大学等11所高校入围世界一流学科建设高校,是中国医药类高校的最大赢家;首都医科大学、南方医科大学、哈尔滨医科大学、南京医科大学、中国医科大学、重庆医科大学、温州医科大学等2017年中国大学排行榜前200强高校落选国家“双一流”大学名单。
艾瑞深研究院中国校友会网大学研究团队起源于1989年创建成立的“中国管理科学研究院科学学研究所高等院校比较研究课题组”,1989年发布中国第1个综合大学排行榜,2003年至今已连续15年发布校友会中国大学排行榜,是目前中国持续开展大学评价研究时间最长的研究团队,已有近40年中国高校自我评估和社会评价的历史。由艾瑞深研究院中国校友会网赵德国、蔡言厚和党亚茹著,武汉理工大学出版社出版的《2017中国大学评价研究报告》一书将于2017年10月面向全国公开发行。

小编精心为您推荐:
11-02
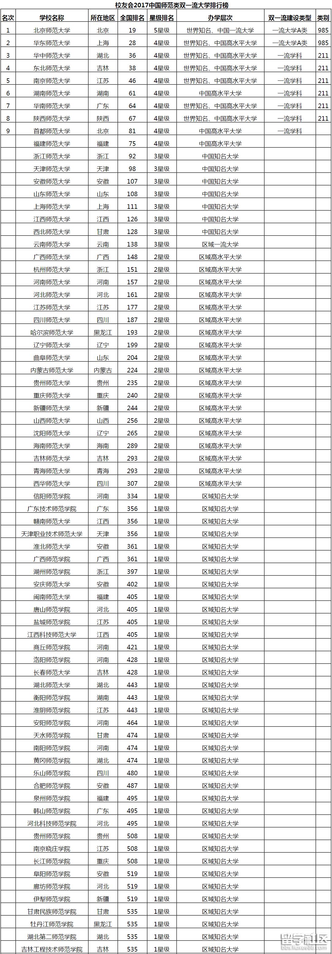
出国留学网高考网为大家提供2017年中国师范类双一流大学排行榜,更多高考资讯请关注我们网站的更新!
2017年中国师范类双一流大学排行榜
中国师范类哪些大学跻身2017年国家“双一流”一流大学、一流学科建设高校行列?哪些师范类高校落选“双一流”?哪些师范类大学是“双一流”建设的最大赢家?
2017年9月21日,教育部等3部委联合发布世界一流大学和一流学科建设高校及建设学科名单,艾瑞深中国校友会网《2017中国大学评价研究报告》最新发布2017中国双一流大学排行榜和2017中国各类型双一流大学排行榜等榜单。榜单显示,全国86所中国百强高校、25所非985和211工程大学跻身“双一流”建设高校行列,全国综合类、理工类、医药类、农林类和师范类院校入选“双一流”的高校数量最多;北京大学、清华大学雄居2017中国双一流大学排行榜冠亚军,是未来冲击世界一流大学前列、创建世界顶尖大学的排头兵。北京师范大学、华东师范大学、华中师范大学雄居校友会2017中国师范类双一流大学排行榜前3甲。
中国师范类9所高校跻身国家“双一流”大学,福建师范大学、浙江师范大学等高校落选
榜单显示,在教育部公布的国家“双一流”建设高校中,全国共9所师范类高校入选“双一流”,雄居校友会2017中国各类型双一流大学排行榜第8名。其中,北京师范大学、华东师范大学等2所高校入选国家“双一流”世界一流大学A类建设高校,是中国师范类高校的最大赢家;无高校入选世界一流大学B类建设高校,华中师范大学、东北师范大学、南京师范大学、湖南师范大学、华南师范大学、陕西师范大学、首都师范大学等7所高校入围世界一流学科建设高校;福建师范大学、浙江师范大学、天津师范大学等2017年中国大学排行榜前100强高校落选国家“双一流”大学名单。
艾瑞深研究院中国校友会网大学研究团队起源于1989年创建成立的“中国管理科学研究院科学学研究所高等院校比较研究课题组”,1989年发布中国第1个综合大学排行榜,2003年至今已连续15年发布校友会中国大学排行榜,是目前中国持续开展大学评价研究时间最长的研究团队,已有近40年中国高校自我评估和社会评价的历史。由艾瑞深研究院中国校友会网赵德国、蔡言厚和党亚茹著,武汉理工大学出版社出版的《2017中国大学评价研究报告》一书将于2017年10月面向全国公开发行。


双一流大学排行榜推荐访问