出国留学网专题频道吉林省一级造价工程师考试成绩合格名单栏目,提供与吉林省一级造价工程师考试成绩合格名单相关的所有资讯,希望我们所做的能让您感到满意!
03-27
各位考生注意了!2022年一级造价工程师考试成绩合格人员名单已经出来了,各位考生可以来看看哦。相关的名单已整理在下文了,有需要的考生关注一下!下面是出国留学网整理的“2022年一级造价工程师考试成绩合格人员名单”,供考生参考阅读。
| 序号 | 考生姓名 | 身份证号 | 报考专业 |
| 1 | 谭婉婷 | 152324********0821 | 土木建筑工程 |
| 2 | 杨红波 | 220221********8617 | 安装工程 |
| 3 | 张杰 | 220203********3927 | 土木建筑工程 |
| 4 | 于春明 | 2201... |
03-25
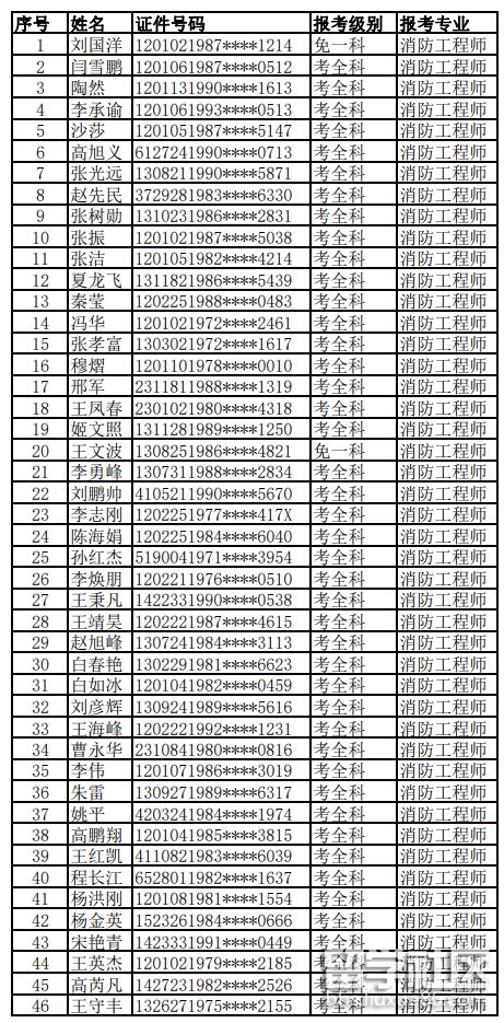
各位考生注意了!2022年度一级注册消防工程师资格考试成绩合格人员名单已经出来了,请各位考生熟知。相关的名单已整理在下文了,吉林省的考生来看看吧!下面是出国留学网整理的“吉林省2022年一级注册消防工程师考试成绩合格人员名单”,供考生参考阅读。
| 序号 | 考生姓名 | 身份证号 | 报考专业 |
| 1 | 赵厚臣 | 222404********3016 | 消防工程师 |
| 2 | 王媛媛 | 152201********102X | 消防工程师 |
| 3 | 宁宁 | 210102********344X | 消防工程师 |
| 4 | 刘悦 |
03-23
各位考生注意了!2022年一级造价工程师职业资格考试成绩合格名单已经出来了,有需要的考生可以来看看哦下面是出国留学网整理的“2022年天津市一级造价工程师考试成绩合格名单”,供考生参考阅读。

【提醒】以上为部分名单,具体名单见附件
附件:2022年度一级造价工程师职业资格考试成绩合格、拟取得资格证书人员名单.pdf
推荐阅读:
...03-04
江西省人事考试中心3月1日公布了江西省2022年一级消防工程师考试成绩合格及拟取得资格证书人员名单,详细的名单内容见下文,下面是出国留学网整理的“江西省2022年度一级注册消防工程师资格考试全部科目成绩合格、拟取得资格证书人员公示”,欢迎大家参考阅读。
根据《司法部关于印发开展证明事项告知承诺制试点工作方案的通知》(司发通〔2019〕54号)、人力资源和社会保障部人事考试中心关于印发《专业技术人员职业资格考试报名证明事项告知承诺制工作规程》的通知(人考中心函〔2021〕1号)及人力资源社会保障部办公厅关于印发《专业技术人员职业资格考试考务工作规程》的通知(人社厅发〔2021〕18号)的规定和要求,现将江西省2022年度一级注册消防工程师资格考试全部科目成绩合格、拟取得资格证书人员予以公示,共661人(名单附后)。
名单所列人员在考试报名时均签署了《专业技术人员资格考试报名证明事项告知承诺制报考承诺书》,承诺符合告知的考试报名条件,承诺所填报和提交的所有信息真实、准确、完整、有效,愿意承担虚假承诺的责任,并接受相应处理。
公示期为2023年3月2日至2023年3月11日。
公示期间集中接受对成绩合格人员的监督举报,举报人需实名并留下联系方式,可采取电话的方式提供具体事实、情节和证据。对虚假承诺行为,一经查实,将按相关规定处理。
举报电话:12333
附件:1.2022年度一级注册消防工程师资格考试全部科目成绩合格、拟取得资格证书人员名单.xls
江西省人事考试中心
2023年3月1日
江西省2022年度一级注册消防工程师资格考试全部科目成绩合格、拟取得资格证书人员名单 | |||
| 序号 | 姓名 | ||
01-17
下面是出国留学网整理的“2017年吉林造价工程师考试成绩合格标准公布”,欢迎阅读参考,更多有关内容请继续关注本网站造价工程师栏目。
2017年吉林造价工程师考试成绩合格标准公布
2017年吉林造价工程师合格标准公布如下:

造价工程师考试频道推荐阅读:
03-09
天津市人事考试相关管理部门公示了天津市2022年一级消防工程师资格考试成绩合格人员名单,完整的名单内容如下,下面是出国留学网整理的“天津市关于2022年度一级注册消防工程师资格考试成绩合格、拟取得资格证书人员公示”,欢迎大家参考阅读。
根据《司法部关于印发开展证明事项告知承诺制试点工作方案的通知》(司发通〔2019〕54号)、《人力资源社会保障部办公厅关于印发<人力资源社会保障系统开展证明事项告知承诺制试点工作实施方案>的通知》(人社厅发〔2019〕71号)及《人力资源社会保障部人事考试中心关于印发<专业技术人员资格考试报名证明事项告知承诺制试点工作实施方案>的通知》(人考中心函〔2019〕26号)的规定和要求,现将2022年度一级注册消防工程师资格考试成绩合格、拟取得资格证书人员予以公示,共520人(名单附后)。
下列人员在考试报名时均签署了《专业技术人员资格考试报名证明事项告知承诺制报考承诺书》,承诺符合告知的考试报名条件,承诺所填报和提交的所有信息真实、准确、完整、有效,愿意承担虚假承诺的责任,并接受相应处理。
公示期为2023年3月8日至2023年3月17日。
公示期间天津市人才考评中心集中接受对成绩合格、拟取得考试成绩合格证明人员的监督举报,进行调查,对虚假承诺行为,一经查实,将按相关规定处理。
举报电话:23394926(公休日、法定节假日除外)
举报邮箱:tjkpzxgs@tj.gov.cn
附:2022年度一级注册消防工程师资格考试成绩合格、拟取得资格证书人员名单
2023年3月7日



12-18
下面是出国留学网整理的“2017年造价工程师考试成绩合格标准”,欢迎阅读参考,更多有关内容请密切关注本网站造价工程师栏目。
2017年造价工程师考试成绩合格标准
2017年造价工程师考试合格标准于2018年1月份公布,根据历年造价工程师分数线划定标准,2017年造价工程师合格标准个科目参考如下:
| 科目名称及专业类别 | 分数线 | 试卷满分 |
| 建设工程计价 | 72 | 120 |
| 案例分析 |
11-10
关于深圳市及珠海市2022年二级造价工程师职业资格考试成绩合格人员名单已经公布出来了,详细的合格名单内容已整理如下,下面是出国留学网整理的“广东省深圳、珠海考区2022年度二级造价工程师职业资格考试成绩合格人员名单公示”,欢迎大家参考阅读。
根据《人力资源社会保障部办公厅关于印发<专业技术人员职业资格考试考务工作规程>的通知》(人社厅发〔2021〕18号)、广东省人力资源和社会保障厅办公室《关于印发实行告知承诺制证明事项清单的通知》(粤人社办〔2021〕8号)及告知承诺制相关要求,现对广东省深圳、珠海考区2022年度二级造价工程师职业资格考试(补考)成绩合格人员予以公示,共1004人(详见附件1)。
一、公示时间
2022年11月10日至2022年11月23日。
二、受理举报部门
按照属地管理原则,对深圳、珠海考区考生的举报,由考生报名所在地市人事考试机构受理(深圳、珠海人事考试机构咨询服务电话见附件2)。
附件1-广东省深圳、珠海考区2022年二级造价工程师职业资格考试成绩合格人员名单
附件2-深圳、珠海人事考试机构咨询服务电话
广东省人事考试局
2022年11月10日


完整名单点击下载:广东省深圳、珠海考区2022年二级造价工程师职业资格考试成绩合格人员名单.xls
吉林省一级造价工程师考试成绩合格名单推荐访问