出国留学网专题频道四川本科一批调档线栏目,提供与四川本科一批调档线相关的所有资讯,希望我们所做的能让您感到满意!
07-19
四川艺体类专业调档线终于公布!出国留学高考网为大家提供2018年四川艺术体育类专业招生本科第一批调档线已公布,更多高考资讯请关注我们网站的更新!
2018年四川艺术体育类专业招生本科第一批调档线已公布
为了方便考生查询相关院校艺体类专业调档线,省教育考试院按非编导类和编导类发布了艺体类分校、分专业类调档信息。








07-19
四川本科一批调档线是多少?出国留学高考网为大家提供2018四川本科一批院校录取调档线汇总,更多高考资讯请关注我们网站的更新!
| 2018四川本科一批院校录取调档线汇总 | |
| 1 | 2018普通高校在川招生本科一批院校录取调档线(文科) |
| 2 | 2018普通高校在川招生本科一批院校录取调档线(理科) |
| 出国留学网高考频道整理 | |
小编精心为您推荐:
07-19
四川本科一批调档线终于公布!出国留学高考网为大家提供2018普通高校在川招生本科一批院校录取调档线(文科),更多高考资讯请关注我们网站的更新!
2018普通高校在川招生本科一批院校录取调档线(文科)





小编精心为您推荐:
07-19
四川本科一批调档线已公布!出国留学高考网为大家提供2018普通高校在川招生本科一批院校录取调档线(理科),更多高考资讯请关注我们网站的更新!
2018普通高校在川招生本科一批院校录取调档线(理科)








小编精心为您推荐:
出国留学高考网为大家提供2017四川本科一批录取院校调档线(文科),更多高考资讯请关注我们网站的更新!
2017四川本科一批录取院校调档线(文科)


猜你喜欢:
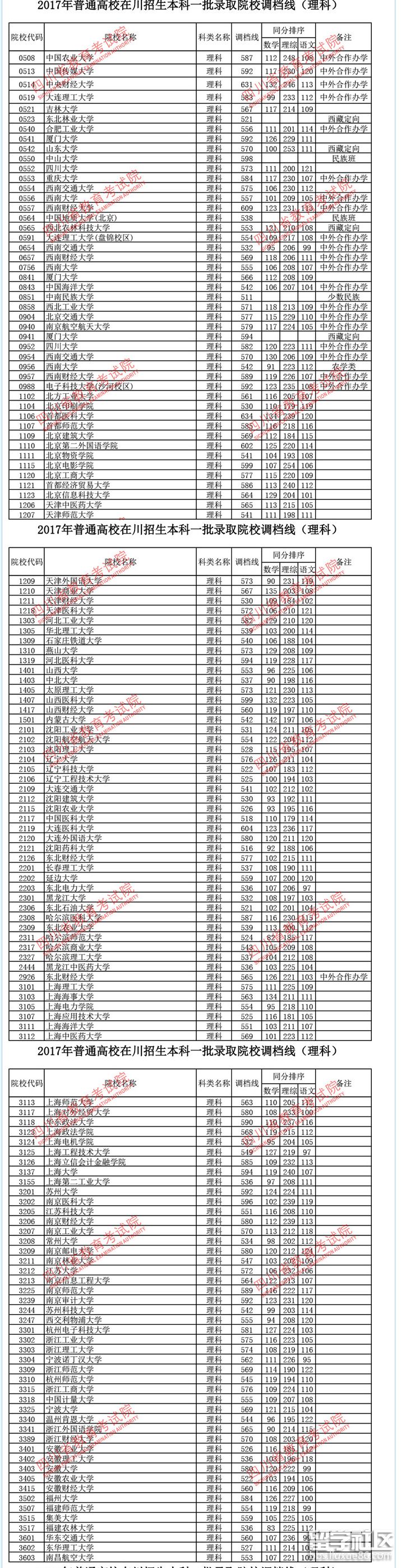
出国留学高考网为大家提供2017四川本科一批录取院校调档线(理科),更多高考资讯请关注我们网站的更新!
2017四川本科一批录取院校调档线(理科)



猜你喜欢:
四川本科一批调档线推荐访问