出国留学网专题频道太原中考分数线栏目,提供与太原中考分数线相关的所有资讯,希望我们所做的能让您感到满意!
07-07
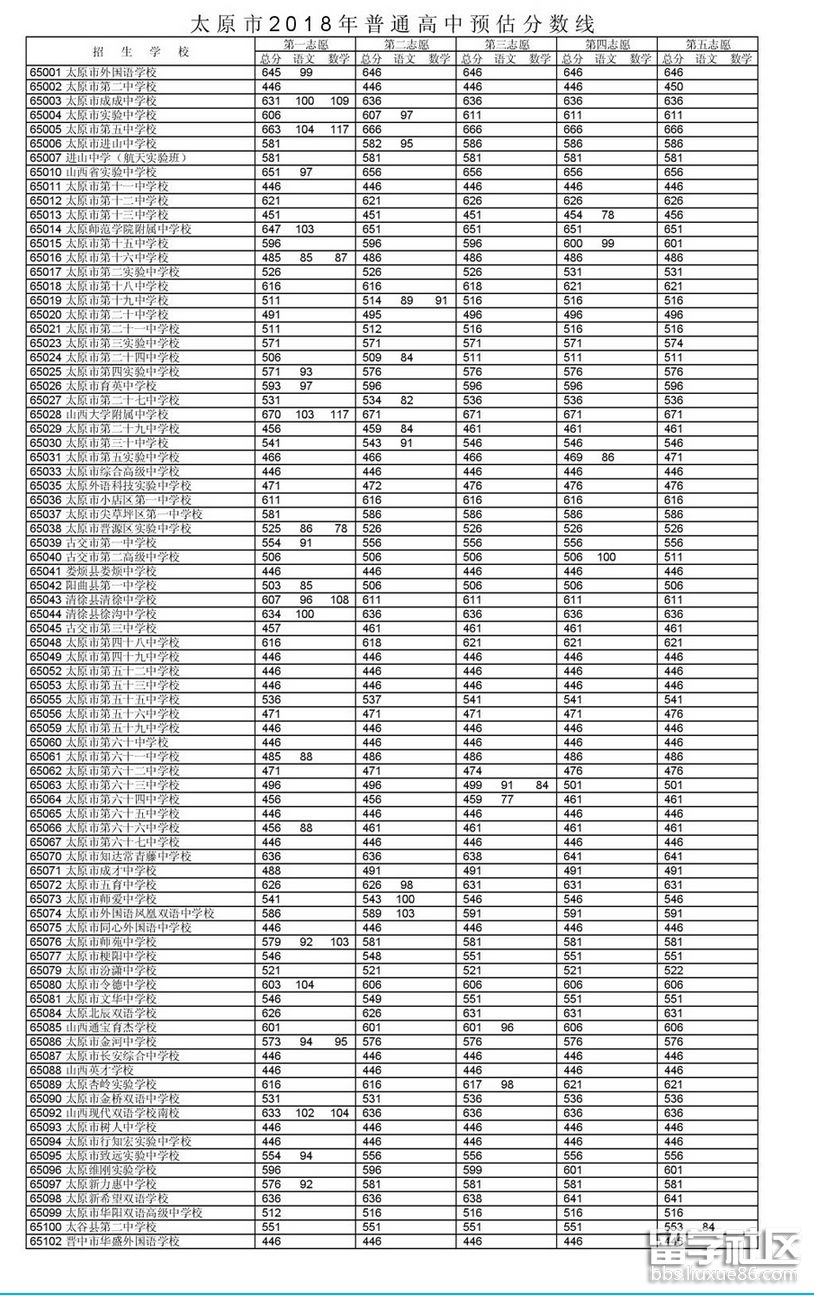
太原市教育局发布太原2018普通高中预估分数线,出国留学网中考网为大家提供太原2018普通高中预估分数线,更多中考资讯请关注我们网站的更新!
太原2018普通高中预估分数线

小编精心为您推荐:
07-13
出国留学网太原中考频道的小编会及时为广大考生提供2017太原中考定向生二次分配预估分数线,希望对大家有所帮助。
2017太原中考定向生二次分配预估分数线
7月11日,太原市招考中心公布了今年太原市普通高中第一次、第二次定向生预估分数线。
太原市定向生录取将按照省教育厅的要求,以保证定向生指标完成率为基本原则,依据分配给各初中学校的定向生指标、考生报考志愿和考试成绩,公平公正择优录取。报考定向生的考生考试成绩,如达到所报定向生志愿学校统招生录取分数线,则按统招生录取。
按照省教育厅关于定向生“完成率要达到90%以上”的要求,定向生录取办法为:一是依据分配到各初中学校的定向生指标、考生所报志愿和考试成绩,由高分到低分进行首次择优录取;二是当分配到六城区各初中学校的定向生指标首次录取未完成时,在六城区已报考定向生志愿但未被首次录取的考生中,按照考生所报定向生志愿和考试成绩,由高分到低分进行二次择优录取;当分配到四县(市)各初中学校的定向生指标首次录取未完成时,在本县(市)已报考定向生志愿但未被首次录取的考生中,按照考生所报定向生志愿和考试成绩,由高分到低分进行二次择优录取。
二次录取结束后,在各优质高中学校统招生录取分数线下50分以内仍未完成的定向生指标,将转为统招生计划。



以下是太原2017年全部科目的试题发布入口:
| 地区 | <... |
07-07
出国留学网太原中考频道的小编会及时为广大考生提供2017太原普通高中预估分数线,希望对大家有所帮助。
2017太原普通高中预估分数线
7月6日,太原市教育局对外公布2017年中考普通高中预估分数线及录取办法,普通高中最低控制分数线为440分。



据太原市招考中心主任张秋柱介绍,2017年中考总均分较去年低了9分,而在高分段考生中,650分以上的较去年减少956人,600分以上的较去年减少1393人,440分以上的较去年减少2252人。
2017年中考结束后您可能还会关注:
...07-07
出国留学网中考频道的小编会及时为广大考生提供2016太原中考各高中二次定向分数线,希望对大家有所帮助。
2016太原中考各高中二次定向分数线
7月6日晚2016年太原市中考成绩出炉,小编看到一份二次定向的录取分数线,经求证是真实准确的,另外录取查询大概在7月14日左右,现在有对自己可能会被哪个学校录取有疑问的可以后台提问,小编帮你分析哦!
经过很多家长给学校打电话求证,只要一志愿报了16所公办学校的定向,达到二次定向分数线及各校单科成绩要求的,均会被录取,对于这点,大家可以放心。
另外想强调一下,二次定向也属于一志愿,二次定向和二志愿的录取,肯定是优先录取一志愿的二次定向,然后才会录取二志愿!

小编精心为您推荐:
...
出国留学网中考频道的小编会及时为广大考生提供太原中考分数线出炉:山大附中681分 五中679分,希望对大家有所帮助。
太原中考分数线出炉:山大附中681分 五中679分
据太原市招生考试网7月6日晚间公布的消息,2016年太原市中考成绩将于7月7日揭晓。同时,太原市招生考试网公布了2016年中考部分学校预估分数线。
今年,普通高中录取最低控制分数线为450分。其中,根据公布的各校预估录取分数线,山西大学附属中学第一志愿的总分为681分,太原市第五中学为679分,山西省实验中学的为673分。考生本人成绩可通过初中学校下载打印本校应届生成绩单,或登录太原招生考试网(http://kszx.tyerc.net/)输入本人准考证号及身份证号进行查询。成绩揭晓后,考生如对成绩有疑问,于7月7日至9日进行申请复查。
普通高中的录取采取分段录取的办法:以5分为一段依次降分,在本段内按志愿优先办法由计算机择优录取。
定向生录取办法:在录取学校统招分数线下50分以内,按计划及考生志愿择优录取。
普通高中体育、艺术特长生的录取办法:文化课成绩达线,专业成绩合格,按志愿、按专业成绩择优录取。(1)体育类田径:省级示范高中中考成绩达到438分,其它高中365分,专业成绩60分以上且专项成绩不低于50分(百分制),按专业成绩择优录取。其中:专项成绩100分者,中考成绩降100分;专项成绩90分以上者,中考成绩降50分。球类(含棋类、游泳等):中考成绩达到365分,专业成绩60分以上且专项成绩不低于50分(百分制),按专业成绩择优录取;(2)艺术类(音乐、美术、书法、舞蹈、模特):省级示范高中中考成绩达到511分,其它高中438分,专业成绩60分以上,按专业成绩择优录取。
小编精心为您推荐:
02-23
中考一结束,大家最想知道的就是中考成绩和中考分数线了,出国留学网太原中考分数线频道第一时间为您提供2016年太原中考分数线什么时候出来,更多太原中考成绩查询、太原中考录取查询、请关注我们网站的更新!
| 2016年太原中考分数线什么时候出来 |
小编精心为您推荐:
| 2016太原中考热点聚焦 | |||
06-11
一年一度的中考到来了,大家可以在考后关注出国留学网中考分数线频道的更新,我们会在第一时间为大家提供2015山西太原中考分数线查询网址,希望能帮助大家度过一个愉快的暑假!
小编精心为您推荐:
| 2015中考热点聚焦 |
06-11
2015年中考如期而至,出国留学网中考频道小编紧密关注2015山西太原中考分数线查询系统,一旦公布,将会在此页面显示,请广大考生及家长注意本页面更新。
小编精心为您推荐:
| 2015中考热点聚焦 | |||
06-10
中考已经落下帷幕,同学们都急切的想知道中考分数线什么时候公布?出国留学网中考频道第一时间为您提供2015年山西太原中考分数线什么时候出来,希望为您的考试提供帮助,更多中考资讯请关注我们网站的更新!
小编精心为您推荐:
| 2015中考热点聚焦 |
06-10
一年一度的中考到来了,大家可以在考后关注出国留学网中考分数线频道的更新,我们会在第一时间为大家提供2015年山西太原中考分数线公布时间,希望能帮助大家度过一个愉快的暑假!
小编精心为您推荐:
| 2015中考热点聚焦 |
太原中考分数线推荐访问