出国留学网专题频道宿豫中学栏目,提供与宿豫中学相关的所有资讯,希望我们所做的能让您感到满意! 江苏省宿豫中学隶属于宿豫中学(集团),四星级高中,创办于1998年,2001年创建成江苏省重点高中,2003年转评为江苏省三星级高中,2010年创建成四星级高中,2013年暑期教育体制调整划归市管。学校位于宿豫区教育园区,占地310多亩,校园布局合理,环境优美,四季花香流溢,是宿迁市最美丽的校园之一。学校秉承“为宿豫人民办高品位学校”的办学宗旨,忠实实践“让每个有志的宿豫子弟都能进得来、上得起、学得好”的社会承诺,集全校智慧建设“自强不息,谦恭好学”的书香型校园。
07-08
以下2014江苏省宿豫中学录取分数线由出国留学网中考频道为您精心提供,希望对您有所帮助。
江苏省宿豫中学2014中考录取分数线
江苏省宿豫中学:统招503分 非统招429分
江苏省宿豫中学2014中考录取分数线
宿迁中考
中考网推荐访问:
07-08
出国留学网中考频道为您提供最及时的资讯,下面的2014宿豫中学录取分数线希望对您有所帮助
2014宿豫中学录取分数线
2014年中心城市普通高中录取分数线已经公布。
各校录取分数线如下:
江苏省宿迁中学:统招528分,择校517分;
宿豫中学:统招503分,非统招429分;
宿迁市马陵中学:统招467分,择校420分;
宿迁市青华中学:366分;
宿豫区实验高中:统招393分,择校360分;
宿豫区文昌中学:376分;
宿豫区汇文中学:360分;
洋河实验学校:360分。
根据工作安排,7月1-5日是普通高中录取期间;7月7-11日为五年制高职和省属中专集中录取(市内中职对口单招班与五年制高职同时投档)期间;7月10日为市内外中职投档注册招生期间
中考网推荐访问:
07-01
07-01
出国留学网高考频道在考试后及时公布各科高考试题答案和高考作文及试卷专家点评,请广大考生家长关注。时光飞逝,不管情愿与否,无论准备与否,我们已走进高三,走近我们的梦!祝愿决战2014高考的新高三学员能倍加努力,在2014年高考中也能取得优异的成绩。


| 2013年部分省市高考试题汇总 | ||
|---|---|---|
| 2013江苏物理试题及答案解析 | 2013新疆理综试题答案 | 2013内蒙古理科试卷答案 |
| 2013宁夏理综试题及答案解析 | ||
06-08
2012年05月23日 亲,很高兴访问《江苏宿豫中学2010届高三第二次月考物理试卷及参考答案》一文,也欢迎您访问出国留学(liuxue86.com)的高考频道,为您精心准备了2010高考物理日常练习的相关模拟考试试题内容!同时,我们正在加紧建设高考频道,我们全体编辑的努力全是为了您,希望您能在本次高考中能获得好的名次,以及考上满意的大学,也希望我们准备的《江苏宿豫中学2010届高三第二次月考物理试卷及参考答案》内容能帮助到您。在即将到来的高考上助您一臂之力!加油,童鞋!
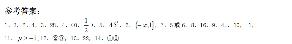
【出国留学liuxue86.com提供正确答案】
2012年05月23日 亲,很高兴访问《江苏宿豫中学2010届高三第二次月考物理试卷及参考答案》一文,也欢迎您访问出国留学(liuxue86.com)的高考频道,为您精心准备了2010高考物理日常练习的相关模拟考试试题内容!同时,我们正在加紧建设高考频道,我们全体编辑的努力全是为了您,希望您能在本次高考中能获得好的名次,以及考上满意的大学,也希望我们准备的《江苏宿豫中学2010届高三第二次月考物理试卷及参考答案》内容能帮助到您。在即将到来的高考上助您一臂之力!加油,童鞋!
【出国留学liuxue86.com提供正确答案】
2012年05月23日 亲,很高兴访问《江苏宿豫中学2010届高三第二次月考物理试卷及参考答案》一文,也欢迎您访问出国留学(liuxue86.com)的高考频道,为您精心准备了2010高考物理日常练习的相关模拟考试试题内容!同时,我们正在加紧建设高考频道,我们全体编辑的努力全是为了您,希望您能在本次高考中能获得好的名次,以及考上满意的大学,也希望我们准备的《江苏宿豫中学2010届高三第二次月考物理试卷及参考答案》内容能帮助到您。在即将到来的高考上助您一臂之力!加油,童鞋!
【出国留学liuxue86.com提供正确答案】
2012年05月23日 亲,很高兴访问《江苏宿豫中学2010...
宿豫中学推荐访问