出国留学网专题频道山东外国语中学保送名单表栏目,提供与山东外国语中学保送名单表相关的所有资讯,希望我们所做的能让您感到满意!
03-14
各位考生注意了!2023年山东省外国语中学保送推荐资格名单进行公示,公示期限为自名单公示次日起5个工作日。有需要的考生可以来看看。相关的名单已整理在下文了,关注一下吧!下面是出国留学网整理的“2023年山东外国语中学保送推荐资格名单公示”,供考生参考阅读。

推荐阅读:
02-28
现将2023年南昌市外国语学校推荐保送生资格名单进行公示,如对公示名单有异议,可通过违规举报邮箱:ksyjjjc @ jxeea.cn反映情况。
附件:2023年南昌市外国语学校推荐保送生资格名单
序号 | 姓名 | 性别 |
01-14
四川的考生注意了,四川外国语大学附属外国语学校高中预备生的保送名单已经公布了,请各位考生及时关注考试信息,具体名单如下,下面是小编为大家整理的“四川外国语大学附属外国语学校高2023届保送预备生名单”,可供各位考生参考使用。

推荐阅读:
2022年新疆同等学力申硕学位外国语水平和学科综合水平考试通知
...03-02
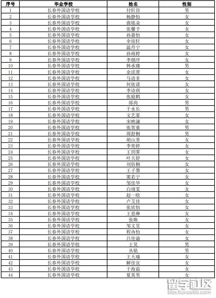
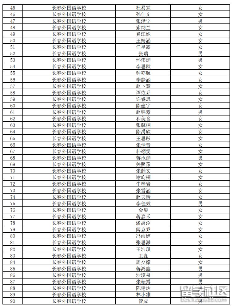
长春外国语学校2023届的保送生名单已经公布,共有108位保送生,保送的完整名单已整理如下,感兴趣的来看看吧!下面是出国留学网整理的“长春外国语学校2023届高三保送生推荐资格名单”,此文本仅供参考,欢迎阅读。



推荐阅读:
...02-28
江西的考生注意了,江西教育考试院发布了2023年南昌市外国语学院推荐报送的考生名单,具体名单请各位考生继续往下阅读,下面是小编为大家整理的“2023年南昌外国语学校推荐保送生资格名单”,可供各位考生参考。
现将2023年南昌市外国语学校推荐保送生资格名单进行公示,如对公示名单有异议,可通过违规举报邮箱:ksyjjjc@jxeea.cn反映情况。
附件:2023年南昌市外国语学校推荐保送生资格名单
序号 | 姓名 |
04-20
天津外国语学校
石家庄外国语学校
长春外国语学校
济南外国语学校
南京外国语学校
杭州外国语学校
厦门外国语学校
南昌外国语学校
武汉外国语学校
郑州外国语学校
太原外国语学校
成都外国语学校
深圳外国语学校
广州市广外附设外语学校
四川外语学院附属外国语学校(重庆外国语学校)
上海外国语大学附中(含浦东校区)
03-19
哪些外国语中学具有推荐保送生资格?
答:具有推荐保送生资格的外国语中学名单:天津外国语学校、石家庄外国语学校、长春外国语学校、济南外国语学校、南京外国语学校、杭州外国语学校、厦门外国语学校、南昌外国语学校、武汉外国语学校、郑州外国语学校、太原外国语学校、成都外国语学校、深圳外国语学校、广州市广外附设外语学校、上海外国语大学附中(含浦东、浦西校区)、四川外语学院附属外国语学校(重庆外国语学校)。
02-23
考生注意了!!2023年厦门外国语学校推荐保送生资格名单已经出来了!相关的名单已整理在下文了,需要的考生快来看看吧!下面是出国留学网整理的“2023年厦门外国语学校保送生资格名单公告”,供考生参考阅读,希望能够帮助到大家。
序号 | 姓名 | 性别 |
1 |
山东外国语中学保送名单表推荐访问