出国留学网专题频道方差的定义栏目,提供与方差的定义相关的所有资讯,希望我们所做的能让您感到满意!
方差在数学中是一个比较重要的概念,在平常的考试中也经常会看到。下面是由出国留学网编辑为大家整理的“方差计算公式是什么 该怎么计算”,仅供参考,欢迎大家阅读本文。
方差的定义和公式
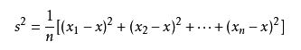
设一组数据x1,x2,x3……xn中,各组数据与它们的平均数x的差的平方分别是(x1-x)2,(x2-x)2……(xn-x)2,那么就可以用他们的平均数对其进行衡量,公式为

该公式主要用来衡量这组数据的波动大小,并把它叫做这组数据的方差。为了简便我们也可以将其记做
(其中x为该组数据的平均值)
如果一组数据的方差越小,那么就证明该组数据的稳定性较高。
方差求法
1,先求出一组数据的平均数;
2,代入方差公式进行计算。(用每一个具体的数据减去平均数得到的差的平方的和去除以数据的总个数)。
举例:设这组数据:x1、x2、x3、……、xn的平均数是M,先求出M,然后代入方差的公式就可以了:
s²=[(x1-M)²+(x2-M)²+(x3-M)²+……+(xn-M)²]÷n
拓展阅读:学好数学的方法
1.功在平时,学会总结:多做题,总结题型
考试时技巧重要,但是考试总要有平时的积累做铺垫的吧?数学的学平时最主要的就在于掌握知识点,多做类型题,用题目来巩固知识点,要学会用一道题型掌握一类题型。这样既节省时间,又能够灵活自如应对考试中千变万化的数学题型。
比如说数列求和部分:也就那么几个方法,构造等差等比、裂项求和、错位相减、倒序相加。有时候拿到一个题目你知道这样做,但是你不一定知道为什么要这样做,你知道这个套路就可以了。
2.考试时对试卷的把控:学会宏观把握
对于高考数学来说,大部分地区的试卷结构依次是选择题、填空题、大题。所以要根据自己实际掌握的情况,进行一个简单的分析,先易后难,把自己最有把握拿到的分拿到,那种特别难的最后再看。通过真题训练,你需要知道:选择题前几道是比较简单的,会考集合、复数、算法等(举例,仅限于个别地区试卷);从第几道题开始是比较难的,一般会考什么...
方差的定义推荐访问