出国留学网专题频道最低投档分数线栏目,提供与最低投档分数线相关的所有资讯,希望我们所做的能让您感到满意!
广西高考考生注意了,广西普通高校招生专项计划批最低投档分数线出来了,小编为此整理了广西2023年普通高校招生专项计划批最低投档分数线,填报的考生千万不要错过,记得查看。更多高考资讯请关注我们网站的更新!
7月13日上午,广西招生考试院发布《广西2023年普通高校招生专项计划批最低投档分数线》,具体内容如下↓↓



推荐阅读:
...07-19
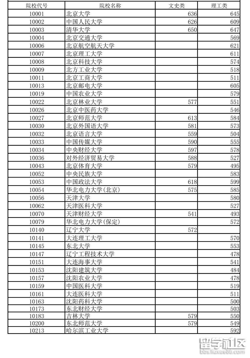
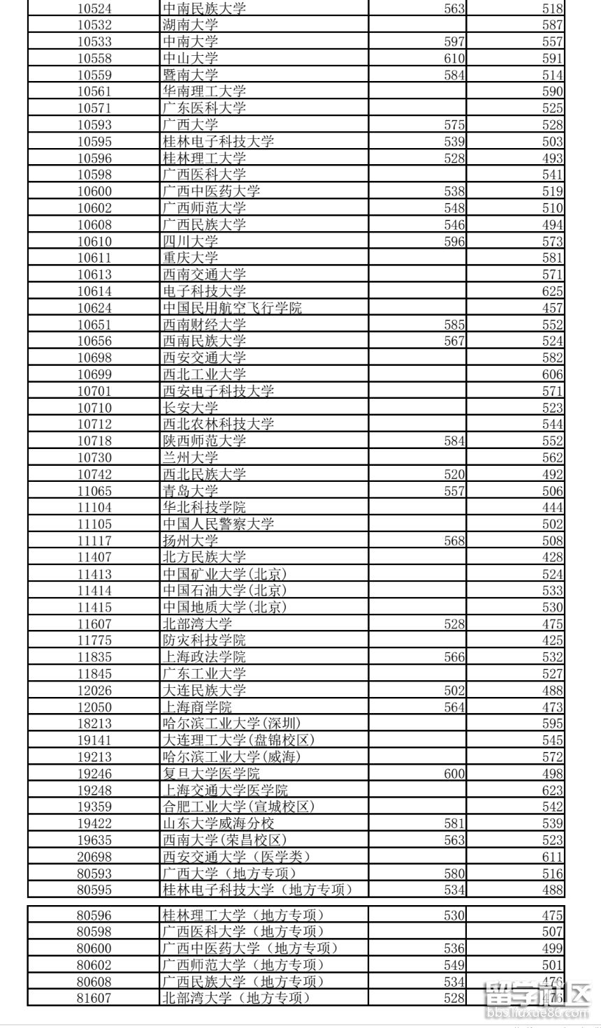
在关注关系高考相关信息的朋友们注意了,广西省2022年普通高校招生本科第一批最低投档分数线已经公示出来了,想知道详细信息的来跟出国留学网一起看看吧!其他更多高考资讯,敬请关注出国留学网。
广西2022年普通高校招生本科第一批最低投档分数线
![]()
![]()
推荐阅读:
...
广东省2022年高考提前批的志愿填报马上就要结束啦,目前提前本科普通类征集志愿最低投档分数线已经出炉,正在填报志愿的小伙伴们赶紧抓紧时间进行填报啦!欢迎大家阅读本文,关注本站即可获取更多精彩资讯!
2022广东提前批本科普通类征集志愿投档线




投档线什么意思
事件
投档线,即招生院校按照投档比例提取考生档案的最低分数线,与学校最终的录取线并不完全相符。
事例
例如规定本科一,二批院校的一志愿按1:1.2的比例确定投档人数,学校按招生计划录取结束后,将把多余的百分之二十考生档案退回省招生考试院。投档的最低分便称为投档线。
结果
因此,即使考生的成绩达到了投档线,也未必一定能够被取。
例外
如果学校未完成招生计划则有可能降低投档线录取。
...07-18
最新消息,自治区招生考试院公布了2022年普通高校招生本科第一批最低投档分数线,详细分数线表格如下,好奇的来看看吧!下面是出国留学网整理的2022年本科第一批最低投档分数线,欢迎大家阅读。
说明:
1.广西民族大学、大连民族大学对少数民族考生投档比例有要求,按学校要求进行投档。
2.表中空白处表示无相应科类招生计划或无出档考生。







08-21
为了帮助考生能够更好的准备这次高考,下面由出国留学网小编为你精心准备了“2020年辽宁普通类本科批院校最低投档分数线(文史)”,持续关注本站将可以持续获取高考资讯!
2020年辽宁普通类本科批院校最低投档分数线(文史)
近日,辽宁招生考试院公布了2020年辽宁省普通高校招生录取普通类本科批投档最低分,具体内容如下:

推荐阅读:
08-21
不知道高考自己的高考分数线?快来看看,下面由出国留学网小编为你精心准备了“2020年辽宁普通类本科批院校最低投档分数线(理工)”,持续关注本站将可以持续获取高考资讯!
2020年辽宁普通类本科批院校最低投档分数线(理工)
近日,辽宁招生考试院公布了2020年辽宁省普通高校招生录取普通类本科批投档最低分,具体内容如下:

推荐阅读:
08-13
时间悄然流逝,高考如今以如过往如烟,把握当下才是最重要的,下面由出国留学网小编为你精心准备了“2020广西高考体育类本科提前批最低投档分数线(第一次征集)”,持续关注本站将可以持续获取高考资讯!
2020广西高考体育类本科提前批最低投档分数线(第一次征集)
| 说明:综合分=总分×70%+体育统考成绩×(750/100)×30%。 | ||
| 院校代码 | 院校名称 | 综合分 |
| 10043 | 北京体育大学 | 476 |
| 10071 | 天津体育学院 | 521 |
| 10118 | ||
08-12
不知道高考自己的高考分数线?快来看看,下面由出国留学网小编为你精心准备了“2020广西高考本科艺本一批最低投档分数线”,持续关注本站将可以持续获取高考资讯!
2020广西高考本科艺本一批最低投档分数线
| 艺本一批 | |||
| 艺本一批安排可不做分省计划的艺术类本科专业。其中,独立设置本科艺术院校和参照独立设置本科艺术院校招生的院校,使用校考成绩录取的专业,将填报了以上院校志愿且校考成绩合格并已备案的考生全部投档;使用我区艺术统考成绩的专业,将填报了以上院校志愿且艺术统考成绩达到我区艺术统考专科合格分数线的考生全部投档。可不做分省计划的中央部门所属院校,将填报了以上院校志愿、文化成绩(不含照顾分)达到我区艺术类本科文化分数线且校考成绩合格并已备案的考生全部投档。 | |||
| 其他类 | |||
| 说明:1.对考生身体条件有要求的,按学校招生要求进行投档;需进行面试、体检、政治审查(招生考察)的,按学校提供的合格名单进行投档;对性别比例有要求的专业,分性别分别投档;国家专项计划专业,只投档符合国家专项计划资格的考生;同时含有以上多种类别专业的院校,只公布最低投档分数线。 |
07-08
几年的寒窗苦读就待为了今日的结果,下面由出国留学网小编为你精心准备了“2019年昆山市中考师范及“3+4”最低投档分数线”,持续关注本站将可以持续获取更多的中考资讯!
2019年昆山市中考师范及“3+4”最低投档分数线

推荐阅读:
08-07
广西高职体育类征集情况,你知道吗?出国留学网准备了广西2018年高职高专提前批体育类最低投档分数线(征集),更多各省高考资讯我们会第一时间进行更新,请关注。
广西2018年高职高专提前批体育类最低投档分数线(征集)

推荐阅读:
...最低投档分数线推荐访问