出国留学网专题频道济南中考成绩一分一段表栏目,提供与济南中考成绩一分一段表相关的所有资讯,希望我们所做的能让您感到满意!
06-29
中考成绩分段出来了,快来看看自己的成绩水平在那个分段阶层,下面由出国留学网小编为你精心准备了“2019年济南市区县中考成绩一分一段表”,持续关注本站将可以持续获取更多的中考资讯!
2019年济南市区县中考成绩一分一段表
2019年济南市中考成绩一分一段表出炉啦,具体详情如下所示:









出国留学网中考频道的小编会及时为广大考生提供2016济南中考成绩一分一段表,希望对大家有所帮助。
2016济南中考成绩一分一段表
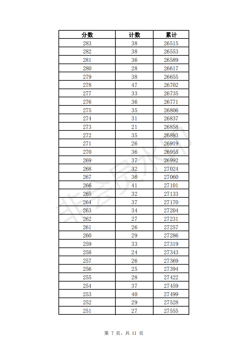
考生成绩一分一段表
29日上午,市中招办同时发布“全市初中学校学生成绩一分一段表”及“市内指标生分配区域初中学校学生成绩一分一段表”。
全市初中学校学生成绩一分一段表









济南中考成绩一分一段表推荐访问