出国留学网专题频道浙江普通高中学考试题栏目,提供与浙江普通高中学考试题相关的所有资讯,希望我们所做的能让您感到满意!
01-14
还不清楚2021年1月普通高中学考化学试题的小伙伴,快来瞧瞧吧!下面由出国留学网小编为你精心准备了“浙江2021年1月普通高中学考试题和参考答案(化学)”,本文仅供参考,持续关注本站将可以持续获取更多的资讯!
浙江2021年1月普通高中学考试题和参考答案(化学)
试题






01-14
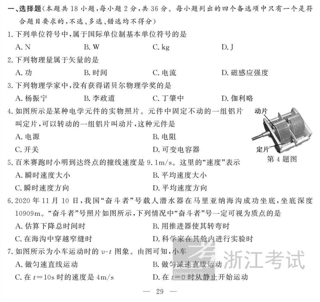
想要了解2021年1月浙江普通高中学考物理试题和参考答案的小伙伴,赶紧来瞧瞧吧!下面由出国留学网小编为你精心准备了“2021年1月浙江普通高中学考试题和参考答案(物理)”,本文仅供参考,持续关注本站将可以持续获取更多的资讯!
2021年1月浙江普通高中学考试题和参考答案(物理)
试题





参考答案


拓展阅读:学考和会考的区别
会考指高中会考,学考指学业水平考试。会考只是作为高中的依据,而学考在此基础上又作为升学依据。通过学考评定等级,以此决定是否可以报考一本还是二本等等。说白了,会考和学考本质相同,都是高中学业的评价机制,只是功能不同。
这两种考试虽然都属于水平考试,但还是有...
01-14
2021年1月浙江普通高中学考地理试题和参考答案已经出来了,想要了解的小伙伴赶紧来瞧瞧吧!下面由出国留学网小编为你精心准备了“2021年1月浙江普通高中学考试题和参考答案(地理)”,本文仅供参考,持续关注本站将可以持续获取更多的资讯!
2021年1月浙江普通高中学考试题和参考答案(地理)
试题






参考答案


拓展阅读:高中学考考试...
01-14
想要了解浙江普通高中学考历史试题的小伙伴,赶紧来瞧瞧吧!下面由出国留学网小编为你精心准备了“2021年1月浙江普通高中学考试题和参考答案(历史)”,本文仅供参考,持续关注本站将可以持续获取更多的资讯!
2021年1月浙江普通高中学考试题和参考答案(历史)
试题






参考答案


01-14
还不清楚浙江2021年1月普通高中学考思想政治考试参考答案的小伙伴,赶紧来瞧瞧吧!下面由出国留学网小编为你精心准备了“2021年1月浙江普通高中学考试题和参考答案(思想政治)”,本文仅供参考,持续关注本站将可以持续获取更多的资讯!
2021年1月浙江普通高中学考试题和参考答案(思想政治)
试题





参考答案


拓展阅读:普通高中学考是什么意思
学考就是学业水平考试,高中学业水平考试是为了进一步加快普通高中教育质量监测体系建设,推动普通高中课程改革工作的有效实施和教育教学质量的全面提升,结合各省普通高中教育发展实际,在认真调研论证、广泛征求各方意见的基础上组织相应的考试;
其中各省...
01-14
想要了解浙江普通高中学考数学试题和参考答案的小伙伴,赶紧来瞧瞧吧!下面由出国留学网小编为你精心准备了“2021年1月浙江普通高中学考试题和参考答案(数学)”,本文仅供参考,持续关注本站将可以持续获取更多的资讯!
2021年1月浙江普通高中学考试题和参考答案(数学)
试题




参考答案


01-14
还不清楚2021年1月普通高中语文学业水平考试试题和参考答案的小伙伴,赶紧来瞧瞧吧!下面由出国留学网小编为你精心准备了“2021年1月浙江普通高中学考试题和参考答案(语文)”,本文仅供参考,持续关注本站将可以持续获取更多的资讯!
2021年1月浙江普通高中学考试题和参考答案(语文)
试题






参考答案

拓展阅读:普通高中学考是什么意思
学考就是学业水平考试,高中学业水平考试是为了进一步加快普通高中教育质量监测体系建设,推动普通高中课程改革工作的有效实施和教育教学质量的全面提升,结合各省普通高中教育发展实际,在认真调研论证、广泛征求各方意见的基础上组织相应的考...
浙江普通高中学考试题推荐访问