出国留学网专题频道资料模拟试题栏目,提供与资料模拟试题相关的所有资讯,希望我们所做的能让您感到满意!
08-24
【例题】根据下表回答1-5题
1.面四个年份中的哪一年里,城镇新就业人数比上一年增加了?( )
A.1981年 B.1982年 C.1983年 D.1984年
2.下面四个年份中的哪一年里,城镇新就业人数比上一年减少了,但新就业者中来自农村的劳动力人数却比上一年增加了?( )
A.1981年 B.1982年 C.1983年 D.1984年
3.从1979年到1982年,哪一类人的就业人数增减变化与城镇新就业人数的增减变化趋势恰好相反?( )
A.城镇劳动力 B.农村劳动力
C.大学、中专、技校毕业生 D.其他人
4.城镇新就业者中从事个体劳动的人数增减率变化最大的是( )。
A.1980年 B.1981年 C.1983年 D.1984年
5.与1978年相比,1984年全民所有制单位安置的城镇新就业者的人数比例大约减少了多少个百分点?( )
A.8 B.14 C.20 D.26
【解析】
1.D。考查阅读能力。我们只用考查选项中的4年即可。
要点:城镇新就业人数,增加。
解法如下:
08-24
【例题】根据下列文字资料回答1-5题。
2007年粮食种植面积10553万公顷,比上年增加70万公顷;棉花种植面积559万公顷,增加7万公顷;油料种植面积1094万公顷,减少60万公顷;糖料种植面积167万公顷,增加10万公顷。
2007年粮食产量50150万吨,比上年增加350万吨,增产0.7%,其中,夏粮产量11534万吨,增产1.3%;早稻产量3196万吨,增产0.3%;秋粮产量35420万吨,增产0.6%。

2007年棉花产量760万吨,比上年增产1.3%。油料产量2461万吨,减产4.2%。糖料产量11110万吨,增产11.4%。烤烟产量239万吨,减产3.9%。茶叶产量114万吨,增产10.9%。
2007年肉类(猪肉,牛羊肉)总产量6800万吨,比上年减少3.5%。其中,猪肉减少9.2%;牛羊肉增长6.0%。
1.哪种农产品种植面积增长率最高( )。
A.粮食 B.棉花 C.油料 D.糖料
2.关于粮食产量,下列哪种说法是错误的( )
A.2004-2007年粮食产量稳步上升 B.粮食增长率在2004年达到最高
C.2003-2007年粮食产量一直增加 D.粮食增长率先增加后减少
3.2007年粮食单位面积产量为( )。
A.4.75吨/公顷 B.5.15吨/公顷
C.5.35吨/公顷 D.5.75吨/公顷
4.2007年哪种农产品增产最快( )。
A.棉花 B.油料 C.糖料 D.茶叶
5.2006年猪肉产量与牛羊肉产量比例为( )。
A.95:57 B.5:7 C.9:7 D.7:9
【解析】
1.D。
2.C。注意,2003后的粮食增长率是-5.8%,即说明2003年粮食产量减少了。
3.A。2007年全年粮食种植面积10553万公顷,全年粮食产量50150万吨
50150÷10553≈4.75吨/公顷。
4.C。全年棉花产量760万吨,比上年增产1.3%。油料产量2461万吨,减产4.2%。糖料产量11110万吨,增产11.4%。烤烟产量239万吨,减产3...
08-24
08-24
【例题】根据下列图表,回答1-5题

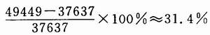
1.2007年税收收入增长率约为( )。
A.20.4% B.25.7% C.21.9% D.31.4%
2.2004年,税收收入为多少?( )
A.25523亿元 B.25623亿元 C.25723亿元 D.25823亿元
3.哪一年的税收收入增长速度最快?( )
A.2004 B.2005 C.2006 D.2007
4.2004-2007年税收增速的变化规律是( )
A.一直增加 B.先增加后减缓
C.先减缓后增加 D.不能确定
5.如果按照2005-2007年的税收增长平均速度来计算,2008年的税收收入大约是多
少?( )
A.61465亿元 B.62476亿元 C.63468亿元 D.66454亿元
【解析】
1.D。 
2.C。30867/(1+20%)≈25723。
3.D。直接观察即可。
4.C。将图填完整即可发现规律。
5.A。(20+21.9+31.4)/3≈24.3,2005-2007年的税收增长平均速度为24.3%,2008年的税收收入大约是49449×(1+24.3%)≈61465(亿元)。
08-24
【例题】根据下表回答,回答1-5题

1.2000年某兵团棉花产量是( )。
A.57.84万吨 B.60.27万吨
C.59.21万吨 D.69.47万吨
2.2001-2006年兵团棉花的平均产量是( )
A.86.99 B.87.66 C.92.38 D.85.79
3.2001-2006年兵团棉花产量的平均增长速度是( )。
A.12.81% B.8.l4% C.10.72% D.11.22%
4.若兵团每年的棉花产量占全国的比重为18. 75%,则2006年全国棉花总产量比2002年全国棉花多( )。
A.42.7% B.41.3% C.39.2% D.32.6%
5.根据上图,下列说法错误的是( )。
A.2006年兵团棉花产量首次突破100万吨
B.2001-2006年间兵团棉花产量比上年同期增长最快的年份是2002年
C.2001-2006年兵团棉花产量不断增加
D.2001-2006年兵团棉花产量的增长速度也不断增加
【解析】
1.C。设2000年兵团棉花产量为x,则有x(1+7.9%)=63.89,解得x≈59.2(万吨)。本题正确答案为C。
2.A。2001-2006年兵团棉花的平均产量是(63.89+79.61+81.17+87.78+98.68+110. 82)÷6≈86.99(万吨)。本题正确答案为A。
3.D。2001-2006年兵团棉花产量的平均增长速度是(7.9%+24.6%+2.0%+8.1%+12.4%+12.3%)÷6≈11.22%,故本题正确答案为D。
4.C。依题意,2006年全国棉花总产量为:110.82÷18.75%≈591.04(万吨),2002年全国棉花产量为:79.61÷18.75%≈424.59(万吨),则2006年全国棉花总产量比2002年多(591.04-424.59)÷424.59×1...
08-24
【例题】根据下列图形,回答1-5题
1.2007年5月份生活资料价格约等于( )。
A.2006年5月份生活资料的价格 B.2007年4月份生活资料的价格的1.03倍
C.2006年5月份生产资料的价格的1.03倍 D.2006年5月份生活资料的价格
2.对2007年工业品出厂价格走势影响最大的是( )。
A.生产资料 B.生活资料 C.工人工资 D.税收
3.下列说法正确的是( )。
A.2007年生活资料价格走势与生产资料价格变化趋势大致相同
B.2007年6月份与9月份生产资料价格基本持平
C.2007年5-8月份生产资料价格的变化幅度比生活资料大得多
D.2007年8月份生活资料价格高于生产资料价格
4.2007年工业品出厂价格同比上升最大的月份是( )。
A.7月 B.9月 C.l0月 D.11月
5.2007年几月份工业品出厂价格指数、生产资料价格指数、生活资料价格指数相同?( )
A.3月 B.5月 C.6月 D.7月
【解析】
1.C。2007年5月份生活资料价格约等于2006年5月份生产资料的价格的1.03倍。
2.A。从图中即可看出。
3.A。A项2007年生活价格和生产资料价格都比去年同期有所上升;B项2007年6月份与9月份生产资料价格与去年同期比相同,但是它们之间不能比较;C项显然错误;D项不能比较。
4.D。直接观察即可。
5.C。
08-24
【例题】根据下列图表,回答1-5题
1.2000到2003年每百万人从事研究与开发的研究人员数增长率最高的是( )。
A.中国 B.日本 C.哈萨克斯坦 D.缅甸
2.按照中等收人国家每百万人从事研究与开发的研究人员变化的规律来看,下列哪个国家在这方面变化与此相同规定?( )
A.中国 B.日本 C.哈萨克斯坦 D.新加坡
3.只根据图表,2000年下列哪个国家从事研究与开发的研究人员及技术人员数最多( )。
A.泰国 B.缅甸 C.新加坡 D.不能确定
4.从每百万人中从事研究人员与技术人员人数上来看,1996年哪个国家科学技术更发达( )。
A.中国 B.日本 C.韩国 D.印度
5.下列说法正确是( )。
A.1996-2000年,新加坡技术投入迅速增加
B.按照一般规律,中国每百万人从事研究与开发的研究人员数小于技术人员
C.2003年韩国从事研究与开发的研究人员数多于中国
D.所有国家每百万人从事研究与开发的研究人员数都多于技术人员
【解析】
1.D。直接观察即可。
2.C。中等收入国家每百万人从事研究与开发的研究人员及技术人员数变化的规律是先减少后增加,只有哈萨克斯坦符合。
3.D。人口资料不足,故无法确定。
4.B。略
5.A。B项错误,说反了;C项没有人口资料,不能确定;D项错误,缅甸是一个特例。
08-24
【例题】根据下列图形,回答1-5题

1.2005年,H国B地区原油消费为( )万吨。
A.13.5 B.14.5 C.12.5 D.11.5
2.2005年H国B和C地区天然气消费之和比A地区多( )万立方米。
A.0.78 B.0.80 C.0.70 D.0.74
3.2005年H国D地区天然气消费与原油消费分别是( )和( )。
A.22200立方米,11800吨 B.222000万吨,118000万立方米
C.2.22万立方米,1.l6万吨 D.ll6000吨,22200立方米
4.2004年H国原油消费量比2005年H国原油消费量多( )。
A.0.015% B0.03% C.0.04% D.0.038%
5.下列说法错误的是( )。
A.2005年H国天然气消费比2004年上升,而石油消费反而有所下降
B.2005年H国A地区天然气消费量比B和C地区之和还多
C.2005年A地区是H国天然气和原油消费最多的地区
D.2005年C地区天然气消费了9万立方米
【解析】
1.A。根据条形图可知,2005年H国天然气消费总量为:29.81×(1+24.2%)≈37(万立方米),原油消费总量为:38.72×(1-0.03%)≈38.708(万吨),再根据圆形图,可算出B地区原油消费量为:38.708×35%≈13.5(万吨)。本题正确答案为A。
2.D。由第1题的解析可知,2005年H国天然气消费总量约为37万立方米,则B和C地区的天然气消费之和比A地区多:(23%+25%-46%)×37=0.74(万立方米)。本题正确答案为D。
3.C。2005年H国天然气消费总量约为37万立方米,原油消费约为38.71万吨,因此D地区天然气与原油消费量分别是37×6%≈2.22(万立方米),38.71×3%≈1.06(万吨)。本题正确答案为C。
4.B。2004年H国原油消费量为38.72...
08-24
【例题】根据下列所给文字资料,回答1-5题
2007年末全国参加城镇基本养老保险人数为20107万人,比上年末增加1341万人。其中参保职工15156万人,参保离退休人员4951万人。参加城镇基本医疗保险的人数22051万人,增加6319万人。其中,参加城镇职工基本医疗保险人数17983万人,参加城镇居民基本医疗保险人数4068万人。参加城镇医疗保险的农民工3131万人,增加764万人。参加失业保险的人数11645万人,增加458万人。参加工伤保险的人数12155万人,增加1881万人。其中参保农民工3966万人,增加1429万人。参加生育保险的人数7755万人,增加l296万人。
2448个县(市、区)开展了新型农村合作医疗工作,7.3亿农民参加了新型农村合作医疗;参保率85.7%。新型农村合作医疗基金累计支出总额为220亿元,累积受益2.6亿人次。全年城市医疗救助407万人次,比上年增长117.2%。农村医疗救助603万人次,增长150.1%民政部门资助农村合作医疗的人数达2306万人次。
2007年末全国领取失业保险金人数为286万人。全年2271万城镇居民得到政府最低生活保障,比上年增加31万人;3452万农村居民得到政府最低生活保障,增加1859万人。全年销售社会福利彩票632亿元,筹集社会福利资金217亿元,直接接收社会捐赠款42亿元。
1.2007年全国参加城镇基本养老保险人数增长率约为( )。
A.7.1% B.6.3% C.6.1% D.5.8%
2.从参保人数上看,人们更倾向于选择哪种保险?( )
A.城镇基本养老保险 B.失业保险
C.工伤保险 D.生育保险
3.下列哪种保险的参保增长率最高?( )
A.城镇基本医疗保险 B.失业保险
C.工伤保险 D.生育保险
4.按照2007年新型农村合作医疗工作救治人数水平,新型农村合作医疗工作大致开展了几年?()
A.1年 B.1.2年 C.2.57年 D.3年
5.如果最低工资水平为1000元/月,则2007年参加失业保险的人每月缴纳失业保险金额为()。
A.15元 B.25元 C.35元 D.45元
【解析】
1. A。由“2007年末全国参加城镇基本养老保险人数为20107万人,比上年末增加1341万人”,可得出1341/(20107-1341)=1341/18766&a...
08-24
【例题】根据下列图表,回答1-5题

1.亚洲地区世界最大500家企业数目最多的国家是()。
A.中国 B.泰国 C.日本 D.印度
2.全世界拥有世界最大500家企业数目最多的国家是()。
A.日本 B.美国 C.英国 D.德国
3.哪个国家的世界最大500家公司平均利润额最高?()
A.韩国 B.马来西亚 C.沙特阿拉伯 D.美国
4.下列哪个国家的世界最大500家公司平均营业额最高?()
A.韩国 B.马来西亚 C.比利时/荷兰 D.美国
5.下列说法正确的是()。
A.2007年世界最大500家公司都赢利了
B.2007年世界最大500家公司平均营业额约为378亿元
C.2007年世界最大500家公司平均利润率约为6.4%
D.世界最大500家公司数目超过21家的国家有6个
【解析】
1.C。直接观察即可。
2.B。直接观察即可。
3.B。计算韩国、马来西亚、沙特阿拉伯、美国这四个国家即可。
4.C。计算韩国、马来西亚、美国、比利时/荷兰这几个国家即可。
5.C。
资料模拟试题推荐访问