出国留学网专题频道辽宁本科一批投档线栏目,提供与辽宁本科一批投档线相关的所有资讯,希望我们所做的能让您感到满意!
辽宁艺术本科投档线已公布!出国留学高考网为大家提供2018年辽宁高考艺术类本科第一阶段各院校投档最低分,更多高考资讯请关注我们网站的更新!
2018年辽宁高考艺术类本科第一阶段各院校投档最低分





小编精心为您推荐:
出国留学高考网为大家提供2017辽宁普通类本科一批投档线(理工),更多高考资讯请关注我们网站的更新!
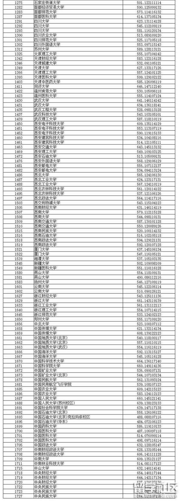
2017辽宁普通类本科一批投档线(理工)



猜你喜欢:
出国留学高考网为大家提供2017辽宁普通类(文史)本科一批投档线,更多高考资讯请关注我们网站的更新!
2017辽宁普通类(文史)本科一批投档线


猜你喜欢:
...辽宁本科一批投档线推荐访问