出国留学网专题频道辽宁舞蹈学专业统考栏目,提供与辽宁舞蹈学专业统考相关的所有资讯,希望我们所做的能让您感到满意!
01-14
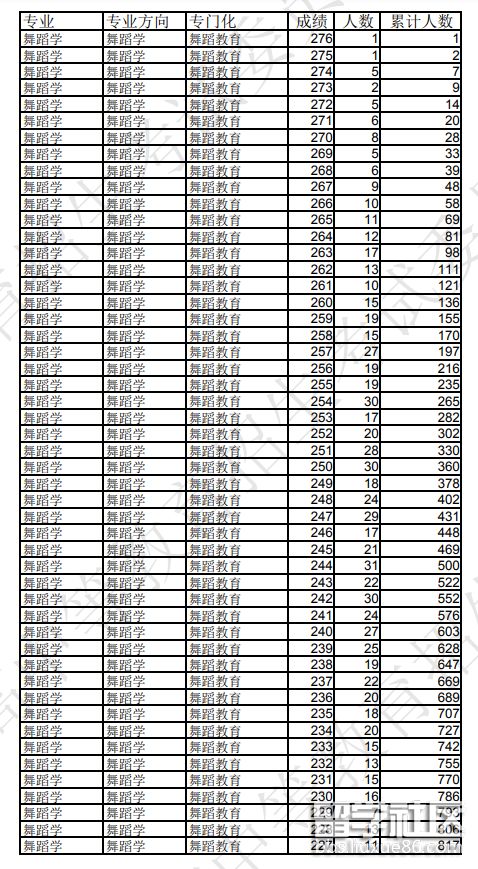
辽宁省2023年高校招生舞蹈学专业统考成绩分段统计表已经公布出炉了,完整的成绩统计表小编已经整理出来放在下面了,感兴趣的来看看吧!下面是出国留学网整理的“2023年辽宁省普通高校招生舞蹈学专业(专门化)统一考试成绩统计表”,欢迎大家参考阅读。


推荐阅读:
...12-31
10-16
出国留学网高考网为大家提供2018甘肃舞蹈学类专业统考大纲,更多艺术高考资讯请关注我们网站的更新!
2018甘肃舞蹈学类专业统考大纲
一、考试性质和目的
甘肃省普通高等学校招生舞蹈学类专业统一考试(以下简称舞蹈统考)是由合格的高中毕业生和具有同等学力的考生参加的选拔性考试。普通高等学校根据考生的专业和文化成绩,德、智、体全面衡量,择优录取。
二、考试内容和计分办法
舞蹈统考包括舞蹈综合素质测试、民族民间舞组合展示和剧目片段表演三个部分。其中舞蹈综合素质测试100分、民族民间舞组合展示100分、剧目片段表演100分。
(一)舞蹈综合素质测试
1.测试范围及内容:舞蹈基本功、个人技术技巧
2.测试方式及分值:
(1)测试方式:舞蹈综合素质测试主要测试考生的基本条件(形象、身体比例)和专业素质(身体柔韧性、主要关节的外开程度、足弓、跟腱的生理状况以及肌肉控制能力),具体分为把杆部分、把下部分和个人技术技巧三部分。内容包括:a.把杆部分内容:踢腿、搬腿;b. 把下部分内容:竖叉、横叉、正步位抱蹲、下腰、弹跳、(女生)四位转、(男生)二位转;c.个人技术技巧部分内容:自选(技巧部分一律不播放音乐)。考生基本功测试女生需穿紧身体操服、浅色裤袜、软底练功鞋;男生需穿白色紧身背心、黑色短裤、软底练功鞋(每组限时3-5分钟)。
(2)测试分值:满分100分。
(二)民族民间舞组合展示
1.考生必须在以下七个民族:藏族、蒙古族、维吾尔族、回族、汉族、傣族、朝鲜族中选择一个民族,进行组合展示,测试考生动作的协调性。
2.测试方式及分值
(1)测试方式:考生在指定现场完成民族民间舞组合展示(限时2分钟以内,伴奏要求单曲单碟,CD格式或MP3格式)。
(2)测试分值:满分100分。
(三)剧目片段表演
1.目的与要求
剧目片段表演,主要测试考生对舞蹈的综合表现力和舞蹈形象的塑造能力。
舞种不限,如果选择民间舞剧目,不可以与第二部分所展示的民族及内容相同,否则不计入得分。
2.测试方式及分值
(1)测试方式:考生在指定现场完成剧目片段表演(限时3分钟以内,伴奏要求单曲单碟,CD格式或MP3格式)。
(2)测试分值:满分100分。
小编精心为您推荐:
09-29
出国留学网高考网为大家提供2018湖北舞蹈学类专业统考舞蹈表演评分标准,更多艺术高考资讯请关注我们网站的更新!
2018湖北舞蹈学类专业统考舞蹈表演评分标准
舞蹈表演(120分)
1.考试目的
考查考生身体协调性、舞蹈表演基本素质和对舞蹈作品的表现力,要求考生能够准确把握舞蹈作品基本韵律和风格特点,具备舞蹈的身体素质、技术、情感和形象表现力。
2.考试内容
自选一个舞蹈剧目片段或组合进行表演,考试时间为3分钟以内。舞蹈种类可包括古典舞、民间舞、芭蕾舞、现代舞和当代舞等。
3.考试形式
面试。
4.考试要求
①考生自备伴奏CD,伴奏CD须为标准CD音频光盘(格式为可供CD机播放的wave格式,44.1KHZ,16bit,立体声),每盘CD仅存考试曲目;
②服装自备。
5.评分标准
等级 | 分值 | 评分标准 |
一等 | 90—100 | 舞蹈动作流畅协调,舞姿优美敏捷,情绪饱满自然,表现力强,舞蹈与音乐和谐一致,节奏感强,风格把握正确,具有很好的舞蹈专业发展潜力 |
二等 | 75—89 | 舞蹈动作娴熟协调,舞蹈风格把握准确,舞姿优美,情绪饱满,节奏感好,具有较好的舞蹈专业发展潜力 |
三等 | 60—74 | 舞蹈动作比较协调,基本能把握舞蹈的风格特点,有一定的表现力,音乐与舞蹈基本一致,节奏正确 |
四等 | 59及以下 | 舞蹈动作呆板、僵硬,节奏感较差,舞蹈动作完成度较差 |
小编精心为您推荐:
09-29
出国留学网高考网为大家提供2018湖北舞蹈学类专业统考科目及分值,更多艺术高考资讯请关注我们网站的更新!
2018湖北舞蹈学类专业统考科目及分值
考试科目 | 考试形式 | 分值 |
作品辨析 | 笔试 | 40分 |
节奏听辨 | 笔试 | 20分 |
基础测试(形体) | 面试,考察考生形体条件和舞蹈基本功 | 120分 |
基础测试(基本功) | ||
舞蹈表演 | 面试,考生自选曲目进行表演 | 120分 |
总分 | 300分 | |
注:面试科目均按百分制评分,科目成绩=科目百分制成绩×科目分值÷100
小编精心为您推荐:
出国留学高考网为大家提供湖南舞蹈类专业舞蹈表演统考内容,更多高考资讯请关注我们网站的更新!
湖南舞蹈类专业舞蹈表演统考内容
一、考试目的
舞蹈表演主要考查考生对于舞蹈风格、作品情绪的把握能力。
二、考试内容与要求
考生准备一个舞蹈成品进行考试,作品风格不限,时长在3分钟以内。考生需统一着黑色练功服进行表演,不得穿戴任何装饰性(如头饰、裙子等)服饰入场,表演道具(如扇子、鼓、水袖、剑等)除外,以充分展现考生的自然条件为原则。
三、考试形式
考试采取现场面试的形式,每次1位考生进场考试,自备音乐和道具。
小编精心为您推荐:
出国留学网高考网为大家提供宁夏2016年音乐学类、舞蹈学类专业统考时间,更多艺术高考资讯请关注我们网站的更新!
宁夏2016年音乐学类、舞蹈学类专业统考时间:
12月21日-26日 上午8:30-12:00 下午13:30-17:30
音乐学类的练耳和基本乐理知识科目考试时间为12月21日8:10-11:00。
报考音乐学类且选考声乐的考生可于2015年12月20日到宁夏大学音乐学院合伴奏。
宁夏2016年艺术统考考点安排
2016年艺术统考音乐学类、舞蹈学类专业考点设在宁夏大学音乐学院(银川市西夏区宁夏大学A区);美术与设计学类专业考点分片区集中进行,银川市和石嘴山市的考生安排在银川高级中学(银川市兴庆区清河北街海宝东路)考点参加美术与设计学类考试,吴忠市、中宁县和沙坡头区的考生安排在吴忠中学(吴忠市利通区吴忠汽车站东侧500米)考点参加美术与设计学类考试,固原市和海原县的考生安排在原州区三中(固原市原州区文化东街9号)考点参加美术与设计学类考试。
2016年艺术统考考点安排:
|
科目
|
考点
|
考生范围
|
|
音乐学类、舞蹈学类
|
宁夏大学音乐学院
|
... |
出国留学网高考网为大家提供2017江西音乐学、舞蹈学、戏剧与影视学专业统考时间,更多音乐高考资讯请关注我们网站的更新!
2017江西音乐学、舞蹈学、戏剧与影视学专业统考时间
2017年音乐学类、舞蹈学类、戏剧与影视学类专业统一考试时间:2016年12月4-15日,地点: 江西科技师范大学(枫林校区)。
音乐学类、舞蹈学类、戏剧与影视学类考生:凭本人身份证及复印件(写上姓名、考生号)于2016年12月2日到江西科技师范大学(枫林校区)领取准考证。
小编精心为您推荐:
2017音乐高考信息汇总 ...辽宁舞蹈学专业统考推荐访问