出国留学网专题频道辽宁高考分数段栏目,提供与辽宁高考分数段相关的所有资讯,希望我们所做的能让您感到满意!
出国留学网高考栏目为你整理的“2016年辽宁高考一分一段表”吧!希望可以帮到您,更多高考资讯请继续关注本站!
2016年辽宁省高考文史类成绩统计表



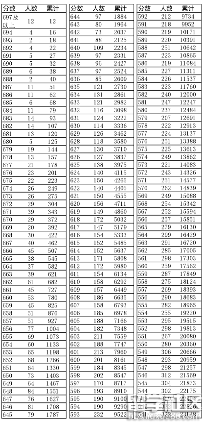
2016年辽宁省高考理工类成绩统计表



2016年辽宁高考录取控制分数线及“高考成绩一分一段表”均已发布,我省文史类考生641分及以上者共11人,6586人分数超过一本分数线;理工类类考生697分及以上者共12人,38582人分数超过一本分数线。
目前,考生陆续开始填报高考志愿。为使考生更好地理解控制分数线与填报高考志愿的相关性,省招考办对今年我省高考录取控制分数线的有关情况作以下简要说明。
首先,高考录取控制分数线主要依据招生计划和高考成绩来划定。各批次控制分数线上的考生人数往往要多于招生计划数,主要是考虑学校的差异性以及考生选择的多元化,同时还涉及到高校投档比例的不同要求和未做分省招生计划的因素,如自主招生高水平艺术团、高水平运动队等。为此,我省今年普通类本科控制分数线原则上是按招生计划120%的比例来划定的。这也是高考划线较为通行的办法。
其次,根据国家考试招生制度改革的有关要求,今年我省对相关录取批次作了调整。三批本科并入二批本科以后,今年的二批本科录取控制分数线有较大幅度的下降。需要说明和提醒的是,合并录取批次后,大部分高校录取的分数区间不一定会在短期内发生明显的变化,在知分数、知位次和平行志愿的投档录取模式下,考生被录取与否以及所录取的学校和专业,基本上与考生的分数及在全省的排名位次成正相关性,不同分数的考生对此需要有一个客观认识。
第三,批次合并前,艺术类本科、高水平运动...
辽宁高考分数段推荐访问