出国留学网专题频道青海高考数学答案栏目,提供与青海高考数学答案相关的所有资讯,希望我们所做的能让您感到满意!
在高中的时候不辛苦一些,那都不好意思说自己在学习上努力了,眼看高考已经来临了,是时候证明一下自己啦!下面是由出国留学网高考栏目编辑为您整理的2019年青海高考理科数学真题及答案(图片版),希望对您有用。







来源:华龙网
小编精心为您推荐:
十几年寒窗苦读,都在这一次发挥出来,高考结束的钟声敲响,2019年高考已经结束了。出国留学网高考频道为您提供2019年青海高考文科数学真题及答案。如果您想要找的真题及答案没有显示,可按Ctrl+F5进行刷新。同时建议大家按Ctrl+D收藏本网站!关于高考分数线、高考成绩查询、高考志愿填报、高考录取查询信息等信息请关注我们网站的更新!






小编精心为您推荐:
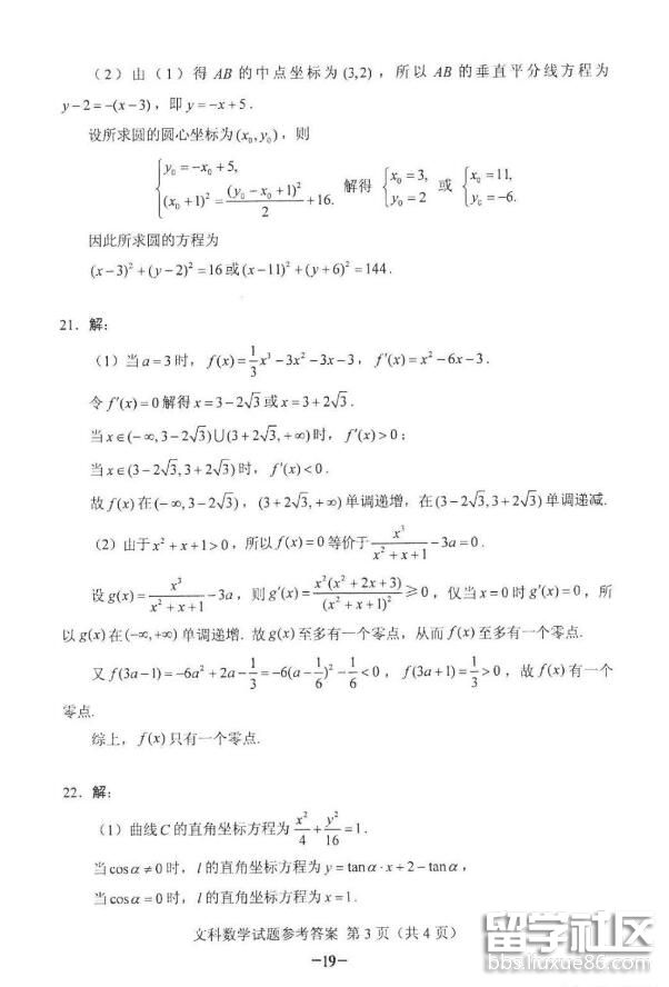
天道酬勤,曾经的每一分付出,必将收到百倍回报。下面是出国留学网高考栏目为大家准备的“2018年青海高考文科数学真题及答案”,希望能够帮到大家!更多高考资讯请关注本站!








小编精心为您推荐:
人生就是一考场,准备充分成绩好。拼搏努力全做到,结果怎样无愧心。人生之路千万条,未必就是读书高。考场之上人轻松,超常发挥不慌张。本文青海高考数学真题及答案汇总(2015-2018)由高考栏目提供,出国留学网愿你高考尽全力,学业有成人欢笑!
| 青海高考数学真题及答案汇总(2015-2018) | |
| 1 | 2018各省市高考数学真题及答案汇总 |
| 2 | 青海高考文科数学2017真题及答案解析(官方版) |
| 3 | <... |
06-09
2017年高考结束了,高考后的生活即将开始,考生们先来看一看由出国留学网高考栏目整理而出:2017年青海高考理科数学试题及答案解析 ,希望对您有所帮助!
2017年青海高考理科数学试题及答案解析
2017年高考全国卷2理科数学适用地区:甘肃、青海、内蒙古、黑龙江、吉林、辽宁、宁夏、新疆、陕西、重庆、西藏、海南





小编精心为您推荐:
06-09
六月是奋斗的季节,六月是收获的季节。愿你坚持努力,在知识的海洋里畅游。下面出国留学网高考网小编为你带来2017青海高考理科数学试题及答案解析(图片版),希望你能有所收获!
2017青海高考理科数学试题及答案解析(图片版)
2017年高考全国卷2理科数学适用地区:甘肃、青海、内蒙古、黑龙江、吉林、辽宁、宁夏、新疆、陕西、重庆、西藏、海南





下载完整2017年高考全国卷2理科数学真题及答案解析(word版)
猜你喜欢:
| 2017年高考热点 | |
06-09
对未来真正的慷慨,是把一切献给现在。高考结束以后,出国留学网高考频道在此为您提供 2017青海高考理科数学试题及答案解析已公布,希望能对大家的高考冲刺备考有所帮助!
2017青海高考理科数学试题及答案解析已公布
2017年高考全国卷2理科数学适用地区:甘肃、青海、内蒙古、黑龙江、吉林、辽宁、宁夏、新疆、陕西、重庆、西藏、海南





下载完整2017年高考全国卷2理科数学真题及答案解析(word版)
小编精心为您推荐:
06-07
亲爱的朋友,平和一下自己的心态,控制自己的情绪,以平常心态应考,让自己尽量放松,好好休息。希望你考入好学校喔!出国留学网高考栏目带来2017青海高考文科数学真题及答案(图片版),高考加油!
2017青海高考文科数学真题及答案(图片版)
2017年高考全国卷2文科数学真题及答案适用地区:甘肃、青海、内蒙古、黑龙江、吉林、辽宁、宁夏、新疆、西藏、陕西、重庆、海南





小编精心为您推荐:
| 高考热点聚焦 | |||
青海高考数学答案推荐访问