出国留学网专题频道高考分数段栏目,提供与高考分数段相关的所有资讯,希望我们所做的能让您感到满意!
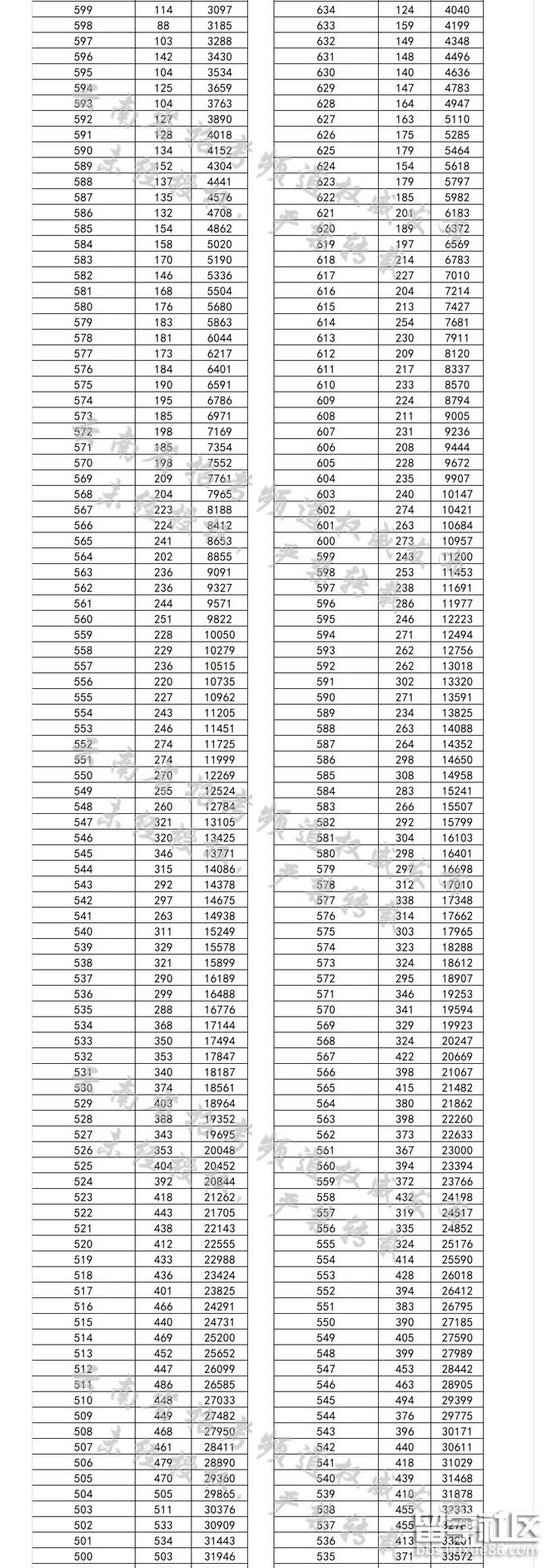
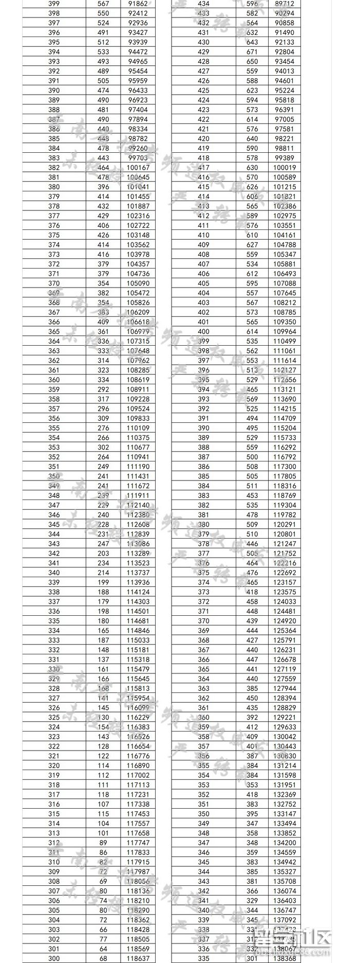
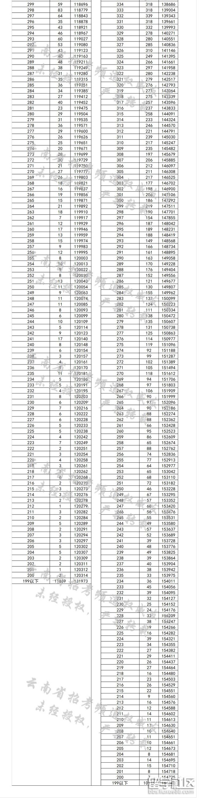
出国留学网小编为大家提供2019云南省高考分数段一览,一起来看看吧!请大家尽快了解高考院校相关信息,填报高考志愿!
2019云南省高考分数段一览





小编精心为您推荐:
了解自己在同科类考生中排名情况,给自己一个合理的定位。出国留学网为你收集了山东2018高考分数段表汇总,希望可以帮助你,更多相关资讯请关注本网站更新。
| 山东2018高考分数段表汇总 | |
| 1 | 山东2018夏季高考文化成绩一分一段表 |
| 2 | 山东2018高考体育类成绩分段统计表 |
| 3 | 山东2018普高招生文学编导类专业统考成绩分段表 |
| 4 | |
请坚信不断努力就会有收获。出国留学网整理了重庆2018高考分数段表(理科含加分专科一分段表),希望可以帮助到你。跟多资讯请关注本网站。

小编精心为您推荐:
平淡,是成功路上的驿站。出国留学网整理了重庆2018高考分数段表(理科含加分本科一分段表),希望可以帮助到你。

小编精心为您推荐:
天津高考分数段总的情况怎样,出国留学高考网为你收集了天津2018高考分数段汇总,欢迎查看此文,希望能给你帮助。
| 天津2018高考分数段汇总 | |
| 1 | 2018天津高考理工类分数段公布 |
| 2 | 2018天津高考文史类分数段公布 |
| 出国留学网整理 | |
小编精心为您推荐:
江苏高考分数段表已出,出国留学网为大家整理了江苏2018普通高考文理科逐分段统计表,请查阅,希望对你有帮助。
江苏2018普通高考文理科逐分段统计表

推荐阅读:
多了解分数段情况,正确填报高考志愿。出国留学网为大家整理了吉林2018高考成绩一分段表汇总。
| 吉林2018高考成绩一分段表汇总 | |
| 1 | 2018吉林普通高校招生考试理工1分段表(含照顾分) |
| 2 | 吉林2018普通高校招生考试文史1分段表(含照顾分) |
| 3 | 吉林2018普通高校招生考试艺术(文)1分段表(含照顾分) |
| 4 | |
多了解分数段情况,有助于你填报高考志愿哦。出国留学网为大家整理了吉林2018普通高校招生考试艺术(文)1分段表(含照顾分)。
吉林2018普通高校招生考试艺术(文)1分段表(含照顾分)

推荐阅读:
想正确填报志愿吗,那请详细了解分数段情况吧。出国留学网为大家整理了2018年吉林省普通高校招生考试艺术(理)1分段表(含照顾分)。
2018年吉林省普通高校招生考试艺术(理)1分段表(含照顾分)

推荐阅读:
出国留学网为大家整理了吉林2018普通高校招生考试文史1分段表(含照顾分),希望可以帮你正确填报志愿。
吉林2018普通高校招生考试文史1分段表(含照顾分)

推荐阅读:
高考分数段推荐访问