出国留学网专题频道高考数学文科试题栏目,提供与高考数学文科试题相关的所有资讯,希望我们所做的能让您感到满意!
06-08
06-08
06-08
06-07
06-07
青春美好却迷茫,我们往往不知去往何方,容易迷失方向。值此高考毕业之际,更需要梦想导航。来跟小编一起看看“2016年云南高考数学文科试题及答案(图片版)”吧!更多高考资讯请关注出国留学网高考栏目!

2016高考频道精心推荐:
2016高考零分作文大全...
06-07
以下资讯由出国留学网高考栏目整理而出:2016年贵州高考数学文科试题及答案,希望每个考生能在高考结束以后,再一次的了解高考真题!

2016高考频道精心推荐:
06-07
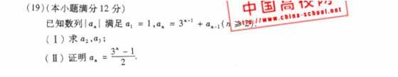
十载苦读在寒窗,一举成功题金榜,留学网高考栏目为您提供了“2016年新课标3高考数学文科试题及答案(图片版)”,祝君高考获头彩,前程似锦宏图长!更多高考资讯信息请关注留学网高考栏目哟!

2016高考频道精心推荐:
06-07
积极“备战”;乐观“应战”;努力“奋战”;争取“胜战”!坚持到底,就是胜利!祝福你:旗开得胜,“高考高中”!出国留学网高考网为大家提供2016年北京高考数学文科试题(图片版),更多高考资讯请关注我们网站的更新!

2016高考频道精心推荐:
出国留学网高考频道全程关注高考多年,为您提供丰富的2014年高考复习资料,高考真题及答案,高考志愿填报经验等最新信息。以下上海高考数学文科试题2008由出国留学网高考频道为您倾心提供,祝您考试复习愉快!
03-17
高考数学文科试题推荐访问