出国留学网2012北京高考理综

出国留学网专题频道2012北京高考理综栏目,提供与2012北京高考理综相关的所有资讯,希望我们所做的能让您感到满意!

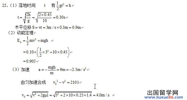
2012北京高考理综真题和参考答案

 

  出国留学网高考频道有海量的往年高考真题,更会在今年第一时间为您提供最新的高考真题。以下2012北京高考理综真题和参考答案希望对您考试练习有所帮助!祝您今年高考顺利夺魁!

20140319070945952.jpg 【正确答案】
20140319070945868.jpg 20140319070945472.jpg 【正确答案】
20140319070946705.jpg 20140319070946251.jpg 【正确答案】
20140319070946484.jpg 20140319070946235.jpg 【正确答案】
20140319070947123.jpg 20140319070947302.jpg 【正确答案】
20140319070947393.jpg 20140319070947210.jpg 【正确答案】
20140319070948901.jpg 20140319070948681.jpg 【正确答案】
20140319070948651.jpg 20140319070948637.jpg 【正确答案】
20140319070949530.jpg 20140319070949208.jpg 【正确答案】
20140319070949226.jpg div