出国留学网2012安徽高考

出国留学网专题频道2012安徽高考栏目,提供与2012安徽高考相关的所有资讯,希望我们所做的能让您感到满意!

2012安徽高考理综真题和参考答案

 

  回顾以往试题资料把握好高考命题思路及做题方法,是今年高考生需要关注的事情。liuxue86网高考频道为您搜集了最新最全的2012安徽高考理综真题和参考答案,助力您打好今年高考这场战斗,取得最后的顺利!

20140319070248710.jpg 【正确答案】
20140319070248648.jpg 20140319070248691.jpg 【正确答案】
20140319070249890.jpg 20140319070249840.jpg 【正确答案】
20140319070249409.jpg 20140319070249106.jpg 【正确答案】
20140319070250140.jpg 20140319070250100.jpg 【正确答案】
20140319070250500.jpg 20140319070251124.jpg 【正确答案】
20140319070251583.jpg 20140319070251129.jpg 【正确答案】
20140319070251906.jpg 20140319070252387.jpg 【正确答案】
20140319070252568.jpg 20140319070252643.jpg 【正确答案】
20140319070253610.jpg div

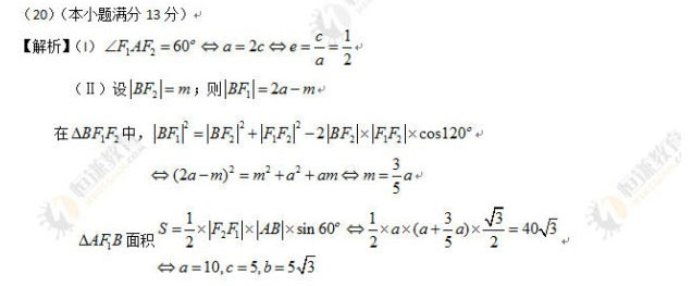
2012安徽高考文科数学真题和参考答案

 

  出国留学网高考频道全程关注高考多年,全方位为您提供丰富的高考复习资料,高考真题及答案,高考志愿填报经验等最新信息。以下《2012安徽高考文科数学真题和参考答案》由liuxue86.com高考频道为您倾心提供,祝您考试复习愉快!

20140319070236428.jpg 【正确答案】
20140319070237532.jpg 20140319070237266.jpg 【正确答案】
20140319070237526.jpg 20140319070237741.jpg 【正确答案】
20140319070238958.jpg 20140319070238397.jpg 【正确答案】
20140319070238891.jpg 20140319070238729.jpg 【正确答案】
20140319070239983.jpg 20140319070239213.jpg 【正确答案】
20140319070239222.jpg 20140319070240546.jpg 【正确答案】
20140319070240632.jpg 20140319070240392.jpg 【正确答案】
20140319070240743.jpg 20140319070241855.jpg 【正确答案】
20140319070241230.jpg...