出国留学网2013天津高考

出国留学网专题频道2013天津高考栏目,提供与2013天津高考相关的所有资讯,希望我们所做的能让您感到满意!

2013天津高考文综真题和参考答案

 

  为今年高考生丰富提供的备考复习资料,liuxue86.com高考网特意从网上搜集整理了关于2013天津高考文综真题和参考答案,希望对您今年高考有所帮助!更多资讯请收藏本站(ctrl+D即可收藏)!

20140319075928222.jpg 【正确答案】
20140319075928741.jpg 20140319075929291.jpg 【正确答案】
20140319075929867.jpg 20140319075929547.jpg 【正确答案】
20140319075930144.jpg 20140319075930726.jpg 【正确答案】
20140319075932539.jpg 20140319075932329.jpg 【正确答案】
20140319075933151.jpg 20140319075933862.jpg 【正确答案】
20140319075933763.jpg 20140319075933168.jpg 【正确答案】
20140319075934438.jpg 20140319075934632.jpg 【正确答案】
20140319075934366.jpg 20140319075935402.jpg 【正确答案】
20140319075936207.jpg div

2013天津高考英语真题和参考答案

 

  出国留学网高考频道有海量的往年高考真题,更会在今年第一时间为您提供最新的高考真题。以下2013天津高考英语真题和参考答案希望对您考试练习有所帮助!祝您今年高考顺利夺魁!

20140319075718832.jpg 【正确答案】
20140319075718718.jpg 20140319075718543.jpg 【正确答案】
20140319075719894.jpg 20140319075719839.jpg 【正确答案】
20140319075719427.jpg 20140319075720761.jpg 【正确答案】
20140319075720575.jpg 20140319075720971.jpg 【正确答案】
20140319075721934.jpg 20140319075721925.jpg 【正确答案】
20140319075722518.jpg 20140319075722884.jpg 【正确答案】
20140319075722596.jpg 20140319075722836.jpg 【正确答案】
20140319075723758.jpg...

2013天津高考语文真题和参考答案

 

  出国留学网高考频道全程关注高考多年,全方位为您提供丰富的高考复习资料,高考真题及答案,高考志愿填报经验等最新信息。以下《2013天津高考语文真题和参考答案》由liuxue86.com高考频道为您倾心提供,祝您考试复习愉快!

20140319075626418.jpg 【正确答案】
20140319075626630.jpg 20140319075627363.jpg 【正确答案】
20140319075627498.jpg 20140319075627512.jpg 【正确答案】
20140319075628799.jpg 20140319075628636.jpg 【正确答案】
20140319075629770.jpg 20140319075629550.jpg 【正确答案】
20140319075630251.jpg 20140319075631962.jpg 【正确答案】
20140319075631401.jpg 20140319075632944.jpg 【正确答案】
20140319075632914.jpg

2013天津高考理综真题和参考答案

 

  回顾以往试题资料把握好高考命题思路及做题方法,是今年高考生需要关注的事情。liuxue86网高考频道为您搜集了最新最全的2013天津高考理综真题和参考答案,助力您打好今年高考这场战斗,取得最后的顺利!

20140319075545403.jpg 【正确答案】
20140319075545199.jpg 20140319075545505.jpg 【正确答案】
20140319075546763.jpg 20140319075546367.jpg 【正确答案】
20140319075547130.jpg 20140319075547256.jpg 【正确答案】
20140319075548630.jpg 20140319075548198.jpg 【正确答案】
20140319075548341.jpg 20140319075549876.jpg 【正确答案】
20140319075549695.jpg 20140319075549790.jpg 【正确答案】
20140319075550720.jpg 20140319075550499.jpg 【正确答案】
20140319075550702.jpg 20140319075550401.jpg 【正确答案】
20140319075551788.jpg div

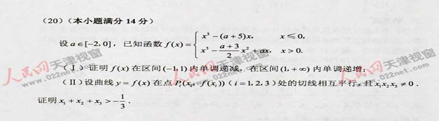
2013天津高考文科数学真题和参考答案

 

  为方便广大考生进行高考备考复习,出国留学网高考频道特为您搜集整理了2013天津高考文科数学真题和参考答案,希望对您今年高考有所借鉴!

20140319075513793.jpg 【正确答案】
20140319075513500.jpg 20140319075513595.jpg 【正确答案】
20140319075513435.jpg 20140319075514208.jpg 【正确答案】
20140319075514103.jpg 20140319075514548.jpg 【正确答案】
20140319075514682.jpg 20140319075515516.jpg 【正确答案】
20140319075515126.jpg 20140319075515181.jpg 【正确答案】
20140319075515331.jpg 20140319075516575.jpg 【正确答案】
20140319075516730.jpg 20140319075516650.jpg 【正确答案】
20140319075516992.jpg 20140319075517414.jpg 【正确答案】
20140319075517301.jpg...