出国留学网专题频道2013江苏高考栏目,提供与2013江苏高考相关的所有资讯,希望我们所做的能让您感到满意!
高考的意义是在于你真正投入的过程。请务必坚持信念,守得云开见月明!祝你们成功!出国留学网高考栏目带来《2013江苏高考文综真题及答案(完整版)》,高考加油!
| 2013江苏高考文综真题及答案(完整版) | |
脚踏实地,心无旁骛,珍惜分分秒秒。紧跟老师,夯实基础。以下是出国留学网高考栏目小编为大家提供的2013江苏高考满分作文5则,希望对大家有所帮助。更多有关高考作文的信息可登录出国留学网高考满分作文频道,欢迎收藏本站(CTRL+D即可收藏)!

2013江苏高考满分作文5则
非宁静无以致远
莫言获得诺贝尔文学奖后,全国掀起一阵莫言热。而莫言本人在开完一场新闻发布会后便消失在大众的视线,安静创作新作品。
在我看来,莫言便是那只在人迹罕至的山洞中的美丽蝴蝶。人们借诺奖发现了这只蝴蝶,而蝴蝶选择的是退居山洞深处,正如莫言选择远离公众。因为那样的安静环境才适合这些美丽的精灵,适合莫言。
非宁静无以致远,伟人正是懂得寻找宁静才能够成功,而成功也必青睐内心安宁之人。
林徽因曾说:“真正的宁静不是避开车马喧嚣,而是在内心修篱种菊,尽管如流往事,每天依然涛声依旧。”因而真正的宁静是内心的平和,这与“大隐隐於市”是一样的道理。只要内心宁静便能於车马喧嚣的繁华都市有一个宁静之所。
前段时间,於丹北大被呛一事闹得沸沸扬扬。文化超女於丹在端了多年的心灵鸡汤后终於被人轰下台。这似乎很意外,可是却又在情理之中。当年的於丹用心灵鸡汤抚慰了无数人疲困的心,可是近年来她不断商业化,只加汤不加料的心灵鸡汤让人们越来越难以接受。正是於丹在成为美丽的蝴蝶被人发现时,不懂得如何退居深处,如何来保持一颗宁静的心,所以她只能遭到人们反感,最终失去成功。
与她不同的是,红学痴儒周汝昌尽管着作等身却仍躬耕於红楼中﹔“国学大师”季羡林一直认为自己只是一个普通人﹔杨绦先生从不开作品交流会,永远都是默默关注这个社会。大师尚且如此,而我们又有何骄傲的资本?我们又凭什麽藐视一切?我们又怎能不屑那一颗宁静之心?
反观当今,当郭敬明充满早恋、贪婪、颓废的作品发行时﹔当韩寒“巴金文采不好”的言论风生水起时﹔当当时明月的着作爆棚时﹔当马诺、芙蓉姐姐在网上受到热捧时,谁能告诉我,我们那一颗宁静的心在哪里?我们现在许多人正在慢慢地失去它,从而变得疯狂与骄傲,变得目空一切。
让我们找回最初的宁静,让我们在内心修篱种菊,让我们怀抱谦卑宁静的心走在社会上。非淡泊无以明志,非宁静无以致远。视自己为天地间的一粒尘埃,用宁静平和的心看待世界。我相信,低到尘埃,便能开出花来。
点击下一页查看何必惊扰美丽
高考作文频道精心推荐:
每年的高考都会有许多满分作文的出现,它一直都是考生们相继参考的对象。以下是出国留学网高考栏目小编为大家提供的2013江苏高考满分作文精选,欢迎阅读
题目:阅读下面的材料,按照要求作文。
几位朋友说起这样一段探险经历:他们无意中来到一个人迹罕至的山洞。因对洞中环境不清楚,便点燃了几支蜡烛靠在石壁上。在进入洞穴后不久,发现了许多色彩斑斓的大蝴蝶安静地附在洞壁上栖息。他们屏住呼吸,放轻脚步,唯恐惊扰了这些美丽的精灵。但数日后再去,却发现这些大蝴蝶已不在原地,而是远远的退到了山洞的深处。大家若有所悟,那里的环境也许更适宜吧,小小的蜡烛竟会产生这么大的影响。
要求:①角度自选;②立意自定;③题目自拟;④除诗歌外,文体自选;⑤不少于800字。
蝶失
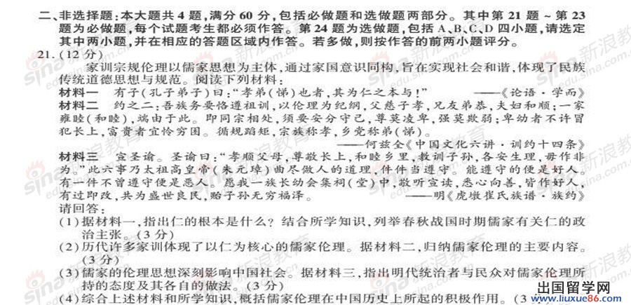
索尔仁尼琴曾说:宇宙有多少生命,就有多少中心。
可多数人并未意识到,物质急速膨胀,世界空前繁荣,这一派光鲜场景背后却是伤痕累累的自然。
曾有几个人去山洞探险,因光线太差而点了几支蜡烛靠在石壁上。几日后再去,原本栖息在洞壁上的蝴蝶已远退到山洞深处。他们这才意识到蜡烛——不经意摆放的小小物件,竟让蝴蝶“逃亡”了。
如今,“逃亡”的哪里仅仅是蝴蝶?恐怕是整个大自然。曾经那个天光明澈、风物灿烂的原配世界渐渐远去,浮躁与欲望充斥人们心灵。人们将自己当成了地球的主宰者,忘却了自己也只是地球“住客”的身份,更忘却了万物平等、互相依赖的道理。
或许是没有意识到哪怕很小的行为也会对自然造成巨大影响;或许意识到了,但为了一己私利,将大自然的哭泣与求饶抛到了九霄云外。
点击下一页查看完整信息
高考作文频道精心推荐:
有人预言:将来,雷暴与大雨将不再是上帝的行为,而是人类的举动。倘若李太白穿越到现代,那“君不见黄河之水天上来”的万丈豪情也将化作泪水与哀叹,那种苦涩将比“杜郎重到须惊”深重百倍。自然之殇,比家国之痛,更令人揪心。
...03-19
为今年高考生丰富提供的备考复习资料,liuxue86.com高考网特意从网上搜集整理了关于2013江苏高考生物真题和参考答案,希望对您今年高考有所帮助!更多资讯请收藏本站(ctrl+D即可收藏)!
【正确答案】
【正确答案】
【正确答案】
【正确答案】
【正确答案】
【正确答案】
【正确答案】
【正确答案】
【正确答案】
03-19
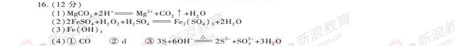
以下《2013江苏高考化学真题和参考答案》由出国留学网高考频道为您倾情提供,希望对您的复习和模拟考试有所帮助!
【正确答案】
【正确答案】
【正确答案】
【正确答案】
【正确答案】
【正确答案】
【正确答案】
【正确答案】
【正确答案】
...
03-19
以下是出国留学网高考频道为您提供的2013江苏高考物理真题和参考答案,希望对您今年高考有所帮助!
【正确答案】
【正确答案】
【正确答案】
【正确答案】
【正确答案】
【正确答案】
【正确答案】
【正确答案】
03-19
以下《2013江苏高考地理真题和参考答案》由出国留学网高考频道为您倾情提供,希望对您的复习和模拟考试有所帮助!
【正确答案】
【正确答案】
【正确答案】
【正确答案】
【正确答案】
【正确答案】
【正确答案】
03-19
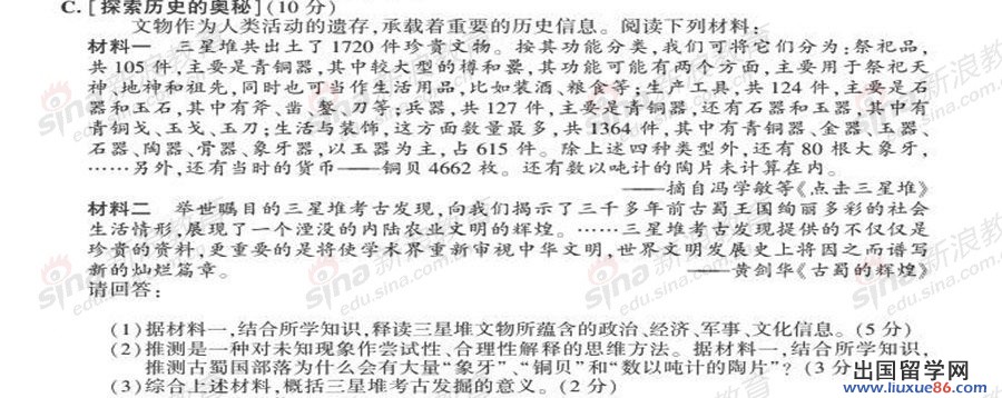
今年高考已经天天临近,出国留学网高考频道为您提供了2013江苏高考历史真题和参考答案,祝您今年高考复习考试顺利!
【正确答案】
【正确答案】
【正确答案】
【正确答案】
【正确答案】
【正确答案】
【正确答案】
【正确答案】
【正确答案】
...
03-19
以下是出国留学网高考频道为您提供的2013江苏高考政治真题和参考答案,希望对您今年高考有所帮助!
【正确答案】
【正确答案】
【正确答案】
【正确答案】
【正确答案】
【正确答案】
【正确答案】
【正确答案】
03-19
出国留学网高考频道有海量的往年高考真题,更会在今年第一时间为您提供最新的高考真题。以下2013江苏高考英语真题和参考答案希望对您考试练习有所帮助!祝您今年高考顺利夺魁!
【正确答案】
【正确答案】
【正确答案】
【正确答案】
【正确答案】
【正确答案】
【正确答案】
【正确答案】
【正确答案】
2013江苏高考推荐访问