出国留学网专题频道2015宁夏考研栏目,提供与2015宁夏考研相关的所有资讯,希望我们所做的能让您感到满意!
12-29
考研结束了,大家最关心的就是成绩了,但是也请淡定二点,出国留学网考研数学一频道会及时为您带来最新的考研消息——2015年宁夏考研数学一真题及答案,大家可以收藏本站,以备届时查看。
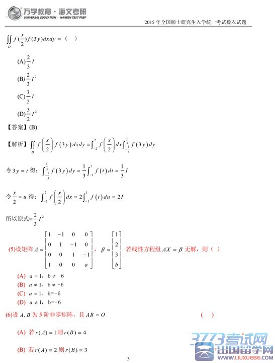
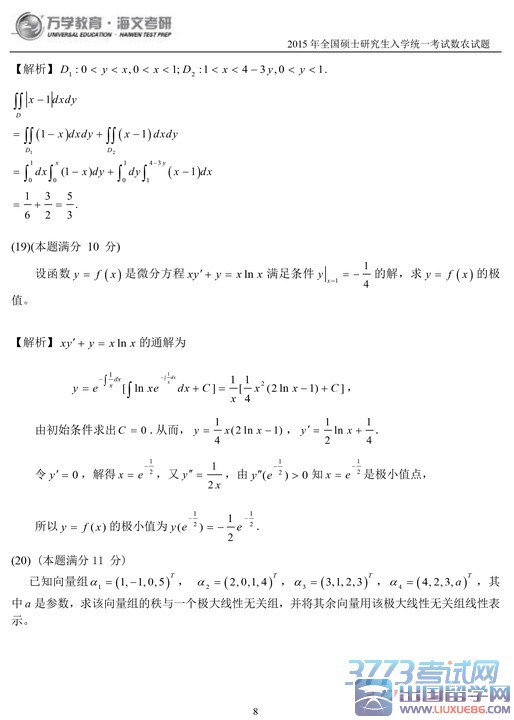
2015考研数学一答案(图片版)











12-29
考研结束了,大家最关心的就是成绩了,但是也请淡定二点,出国留学网考研数学一频道会及时为您带来最新的考研消息——2015年宁夏考研数学一真题及答案,大家可以收藏本站,以备届时查看。
2015考研数学一真题及答案(图片版)











12-29
2015考研终于over了,同学们也不要着急,出国留学网考研数农频道会在考后第一时间为你带来2015年宁夏考研数农真题及答案,希望能给大家带来帮助,可以先收藏本站,了解更多考研信息。
2015考研数学农真题及答案











2015年考研已经圆满结束了,出国留学网考研数农频道会第一时间为广大考生更新2015年宁夏考研数农真题及答案解析,大家可以按Ctrl+D收藏我们的网站,以便第一时间查看自己的成绩!更多考研信息尽在出国留学网考研频道
2015考研数学农真题及答案











12-29
考研一结束,大家一定很着急想要知道自己的答案,出国留学网考研英语一频道为大家提供2015年宁夏考研英语一真题及答案,方便大家估分,答案一公布,本站会第一时间更新,大家还可以将本网站ctrl+D收藏至收藏夹,以便了解更多考研真题及答案的信息。
点击查看:2015年考研英语一答案

推荐阅读:
12-28
今年的考研在寒冷中火热的结束了,大家最想知道的就是结果,可是成绩也不是那么快出来的,大家可以先对对答案,让心中有个数。出国留学网考研数学二频道会及时为您带来2015年宁夏考研数学二真题及答案,希望大家有所帮助。更多考研信息可点击本网站进行了解,为复试做好准备!



推荐阅读:
12-28
2015年考研已经圆满结束了,出国留学网考研数学三频道会第二时间为广大考生更新2015年宁夏考研数学三真题及答案解析,大家可以按Ctrl+D收藏我们的网站,以便第二时间查看自己的成绩!更多考研信息尽在出国留学网考研频道

推荐阅读:
...12-27
考研一结束,大家一定很着急想要知道自己的答案,出国留学网考研政治频道为大家提供2015年宁夏考研政治真题及答案,方便大家估分,答案一公布,本站会第一时间更新,大家还可以将本网站ctrl+D收藏至收藏夹,以便了解更多考研真题及答案的信息。
一、单项选择题:1~16小题,每小题1分,共16分。下列每题给出的四个选项中,只有一个选项是符合题目要求的。请在答题卡上将所选项的字母涂黑。
2015年研究生考试已经结束,出国留学网考研政治频道已经为您准备了2015年考研政治真题,希望对您会有所帮助,我们接下来会在第一时间提供本次考试的相关信息,希望您持续关注本站更新(CTRL+D收藏本站):
1.中国工程院院士袁隆平曾结合自己的科研经历,语重心长地对年轻人说:"书本知识非常重要,电脑技术也很重要,但是书本电脑里种不出水稻来,只有在田里才能种出水稻来。"这表明
A.实践水平的提高有赖于认识水平的提高
B.实践是人类认识的基础和来源
C.理论对实践的指导作用没有正确与错误之分
D.由实践到认识的第一次飞跃比认识到实践的第二次飞跃更加重要
2.社会存在决定社会意识,社会意识是社会存在的反映。社会意识具有相对独立性,即它在反映社会存在的同时,还有自己特有的发展形式和规律。社会意识相对独立性最突出的表现是
A.社会意识内部各种形式之间的相互作用和影响
B.社会意识与社会存在发展的不完全同步性
C.社会意识各种形式各自具有其历史继承性
D.社会意识对社会存在具有能动的反作用
3.第二次世界大战以后,资本主义国家经历了第三次科技革命,机器大工业发展到自动化阶段。只能化工厂创造出了较高的生产效率,显露出巨大的竞争力。企业在"机器换人"中取得了一定的经济效益。这意味着率先使用机器人的个别企业
A.剩余价值来源的改变
B.资本技术构成的提高
C.所生产商品价值提高
D.获得更多的社会平均利润
4.马克思主义政党是科学社会主义与工人运动相结合的产物,是工人阶级的先锋队,这表明
A.马克思主义政党以工人阶级为基础
B.马克思主义政党即工人阶级本身
C.马克思主义政党的阶级性是其先进性的根本前提
D.马克思主义政党的先进性决定了工人阶级的先进性
5.新中国的工业化是在苏联的影响下起步的。走中国工业化道路,是中国共产党初步探索我国社会主义建设道路的一个重要思想。当时所讲的工业化道路问题,主要是指
A.经济建设和国防建设的关系问题
B.中央和地方的关系问题
C.沿海工业和内地工业的关系问题
D.重工业、轻工业和农业的发展关系问题
6党的十三大召开前夕,邓小平强调指出:"社会主义本身是共产主义的初阶段,而我们中国又处在社会主义的初级阶段,就是不发达的阶段。一切都要从这个实际出发,根据这个实际来制定规划。"这一论述
A.首次提出了社会主义初级阶段概念
B.首次系统阐述了社会主义初级阶段理论
C.首次把社...
12-27
考研一结束,大家一定很着急想要知道自己的答案,出国留学网考研政治频道为大家提供2015年宁夏考研政治真题及答案,方便大家估分,答案一公布,本站会第一时间更新,大家还可以将本网站ctrl+D收藏至收藏夹,以便了解更多考研真题及答案的信息。











2015宁夏考研推荐访问