出国留学网专题频道2022年中考一分一段表栏目,提供与2022年中考一分一段表相关的所有资讯,希望我们所做的能让您感到满意!
07-09
贵阳市的中考成绩已经放榜完毕了,贵阳市各市区县2022年的各分数段人数详细表也出来了,贵阳市的考生们来小编这看看吧!下面是出国留学网整理的贵阳2022年中考一分一段表,欢迎大家参考阅读。
贵阳市




“三区一地”




花溪区
07-08
秦皇岛市的中考考试已经顺利结束了,考试成绩也放榜完毕了,其中秦皇岛开发区570分以上累计有4人,其他分数具体人数情况出国留学网小编已经帮大家整理好放在下面了,感兴趣的考生朋友们来看看了解一下吧!




07-08
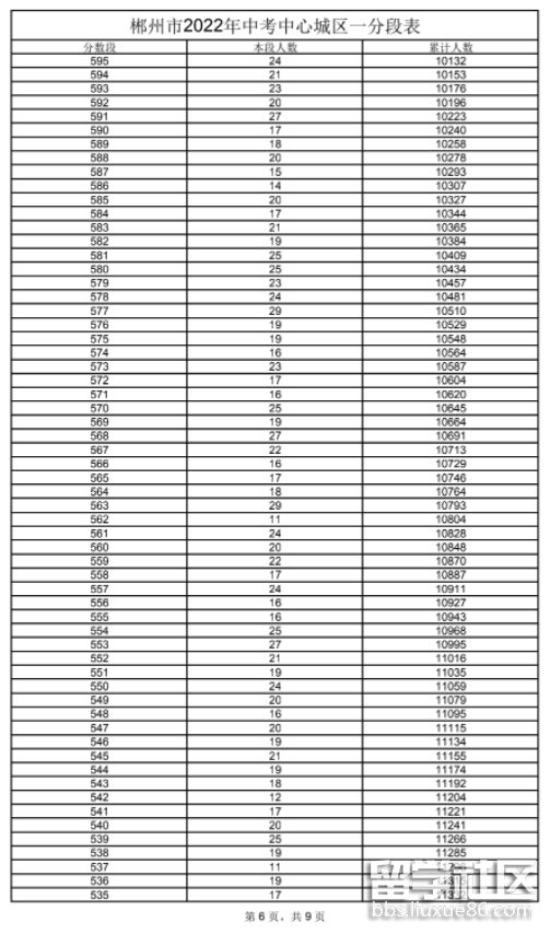
郴州市中考成绩已经出来了,其中900分以上的有24人,具体其他分数段有多少人小编已经整理好放在下面了,感兴趣的快来看看吧!下面是出国留学网小编整理的湖南郴州2022年中考一分一段表,欢迎大家参考阅读。







07-06
晋城市教育考试院根据相关规定讨论研究公布了本市2022年中考录取分数线及一分一段表,晋城的考生快来看看了解一下,下面是出国留学网整理编辑的2022年山西晋城中考录取分数线及一分一段表,欢迎大家阅读参考。
根据《晋城市2022年高中阶段教育学校招生考试录取实施细则》、晋城市教育局《关于严格规范2022年普通高中招生工作的通知》文件要求,划定2022年普通高中招生录取最低控制线为385分。
晋城市2022年中考成绩分段统计

2022年中考一分一段表推荐访问