出国留学网专题频道东北石油大学高考分数线栏目,提供与东北石油大学高考分数线相关的所有资讯,希望我们所做的能让您感到满意!
08-14
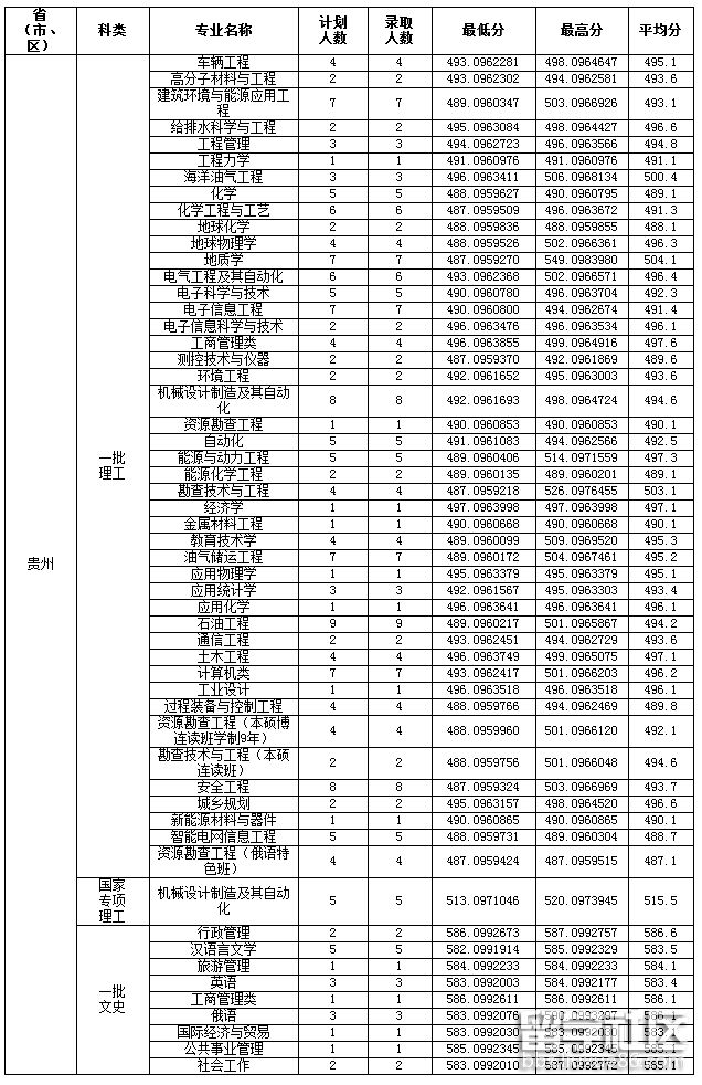
本站小编为你整理了东北石油大学2018年贵州普通类招生录取分数线,但愿可以帮助到你,更多高校录取资讯出国留学网高考栏目将持续更新。
东北石油大学2018年贵州普通类招生录取分数线

推荐阅读:
08-14
本站小编为考生们整理了东北石油大学2018年吉林普通类招生录取分数线,希望能给你些帮助,更多高校录取资讯出国留学网高考栏目将持续更新。
东北石油大学2018年吉林普通类招生录取分数线

推荐阅读:
08-14
小编精心为你整理了东北石油大学2018年辽宁普通类招生录取分数线,其他高校录取资讯出国留学网高考栏目将不断更新,请查看。
东北石油大学2018年辽宁普通类招生录取分数线

推荐阅读:
08-14
本站小编为你整理了东北石油大学2018年广东普通类招生录取分数线,更多高校录取资讯出国留学网高考栏目将持续更新。
东北石油大学2018年广东普通类招生录取分数线

推荐阅读:
08-14
本网小编为你了东北石油大学2018年青海普通类招生录取分数线,更多东北石油大学的资讯出国留学网将为你及时跟进并更新,请随时查看。
东北石油大学2018年青海普通类招生录取分数线

推荐阅读:
08-14
高校在北京招生录取的情况,你了解吗。出国留学网为你整理了东北石油大学2018年北京理工类招生录取分数线,更多资讯请及时关注本网站高考栏目的更新。
东北石油大学2018年北京理工类招生录取分数线

推荐阅读:
08-14
本网小编为你整理了东北石油大学2018年湖南理工类招生录取分数线,更多东北石油大学的资讯出国留学网高考栏目将持续更新。
东北石油大学2018年湖南理工类招生录取分数线

推荐阅读:
08-14
给自己压力吧,你能看到你有多么优秀。出国留学网为你整理了东北石油大学2018年江西理工类招生录取分数线,更多资讯请及时关注本网站高考栏目的更新。
东北石油大学2018年江西理工类招生录取分数线

推荐阅读:
08-14
出国留学网为你整理了东北石油大学2018年广西普通类各专业录取分数线,更多大学录取分数线信息本网站高考栏目会持续更新,欢迎阅读。
东北石油大学2018年广西普通类各专业录取分数线

推荐阅读:
08-14
出国留学网小编为你收集了东北石油大学2018年山西普通类招生录取分数线,该大学更多资讯本网站高考栏目会持续更新,欢迎阅读。
东北石油大学2018年山西普通类招生录取分数线

推荐阅读:
东北石油大学高考分数线推荐访问