出国留学网专题频道四川公务员行测栏目,提供与四川公务员行测相关的所有资讯,希望我们所做的能让您感到满意!
04-24
04-22
12-05
本文“四川2016下半年公务员行测数量关系难度分析”,跟着出国留学网公务员考试频道来了解一下吧。欢迎您阅读。
获悉2016年12月4号四川省公务员考试和上半年4月23日公务员考试常识部分相比较,题量上依然是10道题目,上半年首次将常识题目有15道缩减为10道题目,这次沿袭了上半年的风格,预测之后省考的常识题目会固定在10道题目。
这次考试分别从政治、法律、科技、历史、人文四个部分来命题,其中法律题目2题,政治部分常识1题,科技部分地理1题、物理1题、生物医学1 题,人文3题,历史中世界史1题。4月23日考试分别从政治、人文、科技、经济、法律五个部分来考察,其中 政治部分党史1题、时政1题,人文1题,科技部分物理2题、地理1题、生物医学1题、其他1题,经济1题,法律1题。对比两次考试来说科技部分、历史人文部分依然是考试的重点,其中科技部分的考察力度只增不减,另外法律和时政部分已经属于必考项目。纵观本次常识的考题,题目难度相对来说中等偏易。但是从这两次的考试来说,都是对综合知识点的考察,再也不是针对单一的知识点的考察。比如上半年对党史排序以及这次考试“穿越”题目(以下最不可能发生的是)。
综上所述,考生在复习的过程中应当加大对历史人文部分的理解记忆以及对科技模块做题技巧的一些掌握,这样才能保证常识的正确率。
公务员考试栏目精心推荐:
12-05
本文“2016下半年四川公务员行测判断推理难度分析”,跟着出国留学网公务员考试频道来了解一下吧。欢迎您阅读。
2016年下半年四川公务员行测判断推理模块总题量30道,与往年持平。就难易程度而言,与2016年上半年相比难度加大,但较2014年、 2015年等以往年份相比,总体来说,考生掌握一定的技巧后,行测判断推理模块难度不大。以下针对2016年下半年行测判断推理模块各部分知识进行总结与难易分析。
一、图形推理整体难度上升,规律趋向于细节化
2016年下半年图形推理的题量较14年、15年有所上升,考察8道题,整体难度也有所加大,更侧重于细节化。如单独考察直角、考察图形内部的线条数与外围封闭图形的交点问题等,尽管直角问题也是以往的常考点了,但今年整体细节化体现的更加明显,把握细节、关注细节的考生应该不会觉得特别吃力。
今年同样延续了2015年的命题形势多样化,不仅有一段式、两段式、九宫格,同样也考察了分组分类,借鉴了国考的一大题型特点。
考察内容同样以位置类和数量类为主,平移问题,点、角、面等问题,一笔画问题仍然是考试的重点,整体难度虽有提升侧重细节,但仍在考察范围之内。
二、类比推理常识性较强,但今年整体难度较低
2016年下半年类比推理的题量相对平稳,延续近一、二年的情况在5-10题之间波动,考察7道题,而且整体难度不大。虽常识性较强,但是仍在我们熟知的范围内,并没有考察典故等历史事件问题。 类比推理延续以往原材料关系、种属关系、语法关系等逻辑关系,只要考生认真分析题干词与词之间的逻辑关系,会很容易选出正确答案。
三、定义判断有常识性趋势,不仅要把握关键词,同时要关注常识,整体难度不大
2016年下半年定义判断的题量较以往恒定10道题有所下降,今年考察8道题,是一个先例,首次题量下降。从今年情况来看,这种下降不代表是难度的提升,反而难度不大,还是延续以往的心理学、社会学等常考定义。但需要考生注意的是,常识性定义有加强的趋势,如今年考察的公理的定义。
四、逻辑判断题型中加强、削弱题型仍然强势、演绎推理有回归的趋势
加强、削弱题型一直以来是逻辑题型中的重头戏,今年也不例外。今年侧重考察加强题型,整体难度不大,考生根据以往准备的知识会迎刃而解,但演绎推理中的分析推理和结构相似有回归的趋势,需要广大考生格外关注。
公务员考试栏目精心推荐:
12-05
2016下半年四川公务员考试拉下了帷幕,本文“解读2016下半年四川公务员行测真题”,跟着出国留学网公务员考试频道来了解一下吧。欢迎您阅读。
2016下半年四川公务员行测科目总题量依然为100题,五大专项依次为常识判断、言语理解与表达、数量关系、判断推理和资料分析,各专项题型题量分布与往年基本一致,难度也基本持平。 四川省考行测整体上呈现稳定趋势,以下为各专项具体考情介绍:
一、常识判断
2016下半年四川考行测常识部分,题量保持不变,内容方面,科技、历史、文化等知识依旧是考查重点。
二、言语理解与表达
2016下半年四川公务员考试言语理解与表达考查了逻辑填空、阅读理解、语句表达三类题型。具体特点如下:
1.逻辑填空考点以实词和成语为主。对此,词义辨析是基础,利用词语间的对应关系是核心方法,同时还要学习利用词语固定搭配、选项间的排除法来解题。
2.阅读理解主要考查了主旨观点题和细节判断题,其他考点均未涉及。故2016下半年四川省考阅读理解题目的考点相对简单化,主要考查考生把握文段主旨、快速甄别细节信息的能力。
3.语句表达考查语句排序与语句填充,语句排序从首尾句、指代词、关联词等入手,采用排除法破题;语句填充重在把握与前后文话题、句式上的衔接一致。
【例题1】
锦官城位于成都城东南的一块开阔地,大片的厂房建立起来以后,这里终日响着________的机杼声,飘荡着蜀锦艳丽而华美的颜色。当时的政府把锦官城建在此地,是因为这里的江水漂洗出来的锦缎,质地特别________,颜色特别鲜亮;而在别的江河中漂洗,蜀锦的质地就会变得粗硬,颜色也会衰败走样。
A.连绵不绝 柔滑 B.此起彼伏 轻盈
C.抑扬顿挫 细腻 D.婉转悠扬 通透
【解析】与后文的“质地就会变得粗硬”相对应,第二空填“柔滑”“细腻”恰当,排除B、D。第一空,与“终日”相对应,填“连绵不绝”正确。故本题选A。
(重要提示:试题来源于网络,网校不对真题的真实性和准确性负责。)
三、数量关系
数量关系部分注重对基础知识的考查,整体难度中等。题型包括比例问题、排列组合、日期推算、几何问题、行程问题、容斥问题等,均为基础考点。每道题计算量不大,但需要考生准确理解题意。
【例题2】某会议邀请10名专家参加,酒店住宿共安排了6个房间,要求甲专家与乙专家单独住一间(不再安排其他人入住),丙、丁专家安排住同一间,戊专家与己专家不安排在同一间。甲、乙、丙、戊、己专家房间均已确定,且每个房间均有两个床位,则此次住宿共有( )种不同的安排方式。
A.6 B.9
C.12 D.24
【解析】共有10人,丙丁同住一屋,则甲、乙、丙、丁、戊、己6人房间已经确定。从剩下4人中选择两人分别和戊、己同住,共有
12-05
本文“2016下半年四川公务员行测真题中综合性成趋势”,跟着出国留学网公务员考试频道来了解一下吧。欢迎您阅读。
在本次四川下半年公务员考试中,定义、类比题材料都出现了一些基础性概念,可谓是将行测的综合性再一次体现得淋漓尽致。
【例题1】公理是指依据人类理性的不证自明的基本要求,经过人类长期实践的考验,不需要再加证明的基本命题。定理是建立在公理和假设基础上、经过严格的推理和证明得到的,它能描述事物之间内在关系、定理具有内在的严密性,不能存在逻辑矛盾。
根据上述定义,下列描述属于公理的是:
A.三角形的内角和等于180度
B.过两点有且只有一条直线
C.世界是物质的,物质是运动的
D.不懂得做的事情,就不值得做好
(重要提示:试题来源于网络,网校不对真题的真实性和准确性负责。)
解析:公理定义的关键信息为:人类理性的不证自明的基本要求。C项世界是物质的,物质是运动的,是人类公认的,不需要证明的,符合定义。A项三角形内角和、B项过两点只有一条直线,均需要数学定理进行证明得到,属于定理;D项明显不符合定义。故答案为C。
点评:这道定义题考查的学科知识性比较强,比如数学知识、几何知识,以及定理和公理的区别等,均需要考生对这些学科知识比较熟悉,才能更快更准确地进行分辨和选择。
【例题2】沼气:甲烷:气体
A.盐酸:氯化钠:液体 B.体温计:水银:液体
C.铁锈:三氧化二铁:固体 D.水蒸气:水:水滴
(重要提示:试题来源于网络,网校不对真题的真实性和准确性负责。)
解析:沼气和甲烷是同一事物,且都是气体;铁锈和三氧化二铁是同一种事物,且都是固体。A项盐酸是氯化氢的水溶液。故答案为C。
点评:本题主要考查的是学科知识和生活常识。其中包括化学知识、生活常识等。尤其化学知识,如果不知道“三氧化二铁”和“铁锈”的关系,以及“盐酸”的生成等,很难判断出正确选项。
公务员考试栏目精心推荐:
12-05
本文“盘点2016下半年四川公务员行测特色真题”,跟着出国留学网公务员考试频道来了解一下吧。希望能帮到您!
一、最唬人的题目
【例题】以下各时间段中,该市非公有制经济增加值年均增速最快的是( )。
A. 1990~1995年 B. 1995~2000年
C. 2000~2005年 D. 2005~2010年
【答案】A。1990~1995年
【解析】题干涉及年份间隔一致,因此只需要比较现期数÷基期数大小即可。四个选项分别为

,则增速最快的是A项。
【盘点】此题从题干表述来看,考查的是年均增长率大小比较,一般年均增长率求解题目其计算难度都会非常大,但是观察该题选项发现,间隔年份均为5年,因此只需要比较根号下面分式大小即可获得答案,可谓最唬人题目。
(重要提示:试题来源于网络,网校不对真题的真实性和准确性负责。)
二、最易掉入陷阱题目
【例题】关于该市非公有制经济增加值发展情况,能够从上述资料中推出的是( )。
B.2015年该市工业增加值占第二产业非公有制经济增加值比重超过八成
【答案】表述正确,选B。
【解析】根据文字材料第二段可知,所求为

,正确,选B。
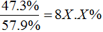
【盘点】此题在材料第二段中,原文表述为“在第二产业中,工业增加值占非公有制经济增加值的额比重为47.3%”,若理解该表述跟B项为同一意思,就会判断其错误,事实上材料表述的意思为工业增加值÷非公有制经济增加值=47.3%,而非公有制经济增加值=第二产业增加值÷占比(57.9%),即“工业增加值÷(第二产业增加值÷57.9%)=47.3%”,从而得到工业增加值÷第二产业增加值=47.3%÷57.9%=8X.X%,因此B正确。
(重要提示:试题来源于网络,网校不对真题的真实性和准确性负责。)
三、最具民族特色题目
【例题】我国很多民间乐器是少数民族代表乐器,下列对应不正确的是( )。
A.芦笙——朝鲜族 B.葫芦丝——傣族
C.冬不拉——维吾尔族 D.马头琴——蒙古族
网校解析:芦笙主要分布在我国西南地区,是苗族的代表乐器。故本题答案选A。
<...12-05
本文“2016下半年四川公务员行测真题凸显四川特色”,跟着出国留学网公务员考试频道来了解一下吧。希望能帮到您!
本次四川下半年公务员考试中,言语理解选材中“蜀锦”入题,充分彰显了四川特色。
【例题】锦官城位于成都城东南的一块开阔地,大片的厂房建立起来以后,这里终日响着________的机杼声,飘荡着蜀锦艳丽而华美的颜色。当时的政府把锦官城建在此地,是因为这里的江水漂洗出来的锦缎,质地特别________,颜色特别鲜亮;而在别的江河中漂洗,蜀锦的质地就会变得粗硬,颜色也会衰败走样。
A.连绵不绝 柔滑 B.此起彼伏 轻盈
C.抑扬顿挫 细腻 D.婉转悠扬 通透
(重要提示:试题来源于网络,网校不对真题的真实性和准确性负责。)
解析:与后文的“质地就会变得粗硬”相对应,第二空填“柔滑”“细腻”恰当,排除B、D。第一空,与“终日”相对应,填“连绵不绝”正确。故本题选A。
点评:本题给出了一个具有两千年历史的、在四川起源的锦类丝织品——蜀锦,通过一段关于蜀锦的文字描述,要求考生调动常识,联系蜀锦的特点,去解答问题。这道题目亦在追问考生,在高速发展的时代,你有重视过身边的传统文化与历史文物吗?
公务员考试栏目精心推荐:
12-05
出国留学网公务员网为大家提供“2016四川公务员行测真题答案”,更多公务员考试信息请关注我们网站的更新!
1.【答案】A。德国
解析:欧元区是指欧洲联盟成员中使用欧盟的统一货币——欧元的国家区域。1999年1月1日,欧盟国家开始实行单一货币欧元和在实行欧元的国家实施统一货币政策。欧元区共有19个成员国,包括奥地利、比利时 、芬兰 、法国 、德国 、爱尔兰、意大利、卢森堡、荷兰 、葡萄牙 、西班牙 、希腊 、斯洛文尼亚、塞浦路斯、马耳他、斯洛伐克、爱沙尼亚、拉脱维亚、立陶宛。因为德国属于欧元区,所以不能单独采取货币政策。故本题答案选A。
2.【答案】B。《平凡的世界》是史铁生的作品
解析:《平凡的世界》的作者是路遥。故本题答案选B。
3.【答案】A。“东风”系列
解析:中国研制的洲际弹道导弹属于“东风”系列。“长征”系列是中国研制的运载火箭系列。“红旗”系列防空导弹构成了我国地空防空导弹的主体。“天宫”系列是中国组建的太空实验站。故本题答案选A。
4.【答案】D。微波通信容量大、质量好,传输距离远
解析:微波是指频率为300MHz~300GHz的电磁波,是无线电波中一个有限频带的简称,即波长在1毫米~1米之间的电磁波,是分米波、厘米波、毫米波的统称。微波频率比一般的无线电波频率高,通常也称为“超高频电磁波”。选项A错误。对于水和食物等会吸收微波而使自身发热,所以含水量多少对微波加热效果有影响。选项B错误。对于玻璃、塑料和瓷器,微波几乎是穿越而不被吸收,而对金属类东西,则会反射微波。选项C错误。微波通信是直接使用微波作为介质进行的通信,不需要固体介质,当两点间直线距离内无障碍时就可以使用微波传送,利用微波进行通信具有容量大、质量好并可传至很远的距离。选项D正确。故本题答案选D。
5.【答案】A。风蚀地貌
解析:风蚀地貌是经由风和风沙流对土壤表面物质及基岩进行的吹蚀和磨蚀作用所形成的地表形态。冰川地貌指由冰川作用塑造的地貌。丹霞地貌指红色碎屑岩(主要是砾岩和砂岩)受垂直或高角度解理切割,并在差异风化、重力崩塌、流水溶蚀、风力侵蚀等综合作用下形成的有陡崖的城堡状、宝塔状、针状、柱状、棒状、方山状或峰林状的地貌特征。喀斯特地貌是具有溶蚀力的水对可溶性岩石(大多为石灰岩)进行溶蚀作用等所形成的地表和地下形态的总称,又称岩溶地貌。根据本题图片所反映的特征来看,应为风蚀地貌。故本题答案选A。
6.【答案】D。药品说明书用以指导医生和患者选择、使用药品,但不具法律意义
解析:药品说明书是载明药品的重要信息的法定文件,具有重要的法律意义。我国《药品管理法》第54条规定,药品包装必须按照规定印有或者贴有标签并附有说明书。故本题答案选D。
7.【答案】D。淀粉含量是早、中、晚品种的分类标准
解析:根据水稻对光照反应的不同,将水稻分为早、中、晚稻。根据淀粉含量的多少,可将水稻分为籼稻和粳稻。故本题答案选D。
8.【...
四川公务员行测推荐访问