出国留学网专题频道河北高考分数线段排名栏目,提供与河北高考分数线段排名相关的所有资讯,希望我们所做的能让您感到满意!
06-23
河北高考分数线段排名已公布!出国留学高考网为大家提供2018河北各类考生高考成绩统计表汇总,更多高考资讯请关注我们网站的更新!
| 2018河北各类考生高考成绩统计表汇总 | |
| 1 | 2018年河北高考成绩一分一段表(文理科) |
| 2 | 2018河北省普通高校招生对口招生成绩统计表 |
| 3 | |
06-23
河北体育高考成绩排名已出!出国留学高考网为大家提供2018河北普通高校招生体育理成绩统计表,更多高考资讯请关注我们网站的更新!
2018河北普通高校招生体育理成绩统计表


小编精心为您推荐:
06-23
河北体育高考最高分为389分,出国留学高考网为大家提供2018河北普通高校招生体育文成绩统计表,更多高考资讯请关注我们网站的更新!
2018河北普通高校招生体育文成绩统计表


小编精心为您推荐:
06-23
出国留学高考网为大家提供2018河北普通高校招生舞蹈成绩统计表,更多高考资讯请关注我们网站的更新!
2018河北普通高校招生舞蹈成绩统计表


小编精心为您推荐:
06-23
河北声乐成绩最高分为190.2分,出国留学高考网为大家提供2018河北普通高校招生声乐成绩统计表,更多高考资讯请关注我们网站的更新!
2018河北普通高校招生声乐成绩统计表





小编精心为您推荐:
06-23
河北高考器乐最高分为191.2分,出国留学高考网为大家提供2018河北普通高校招生器乐成绩统计表,更多高考资讯请关注我们网站的更新!
2018河北普通高校招生器乐成绩统计表






小编精心为您推荐:
06-23
河北美术高考成绩已公布!出国留学高考网为大家提供2018年河北美术高考成绩统计表,更多高考资讯请关注我们网站的更新!
2018年河北美术高考成绩统计表



小编精心为您推荐:
06-23
河北教育考试院公布高考成绩一分一段表!出国留学高考网为大家提供2018河北省普通高校招生对口招生成绩统计表,更多高考资讯请关注我们网站的更新!
2018河北省普通高校招生对口招生成绩统计表







小编精心为您推荐:
06-23
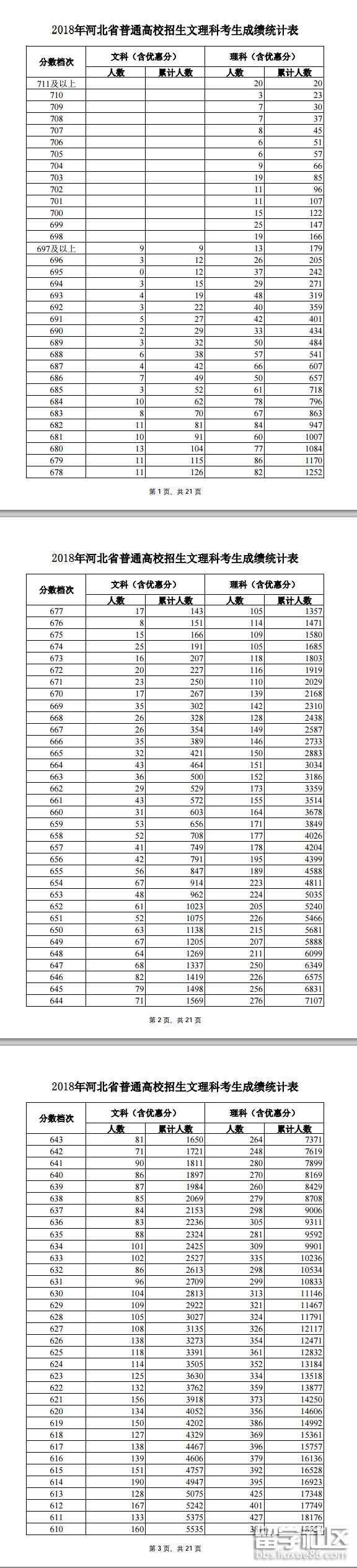
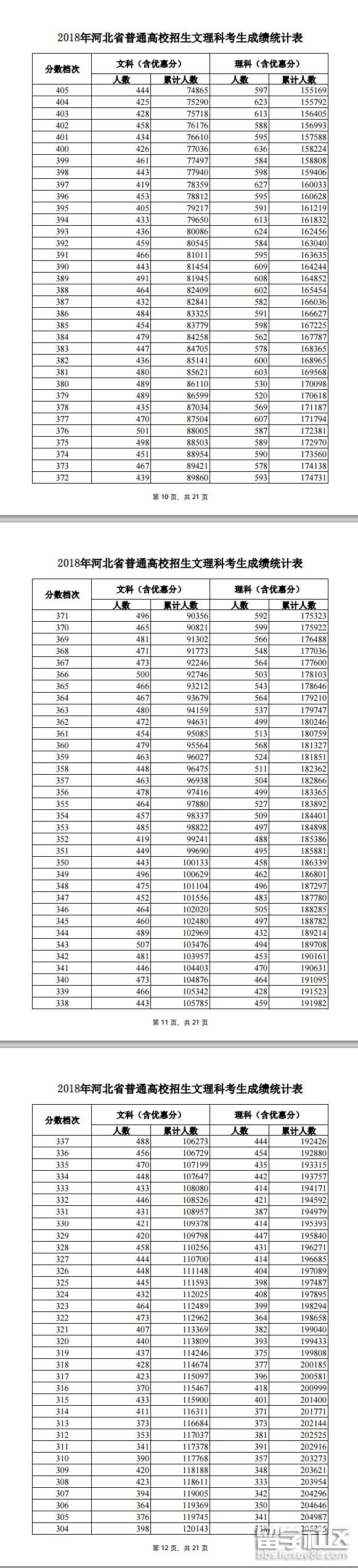
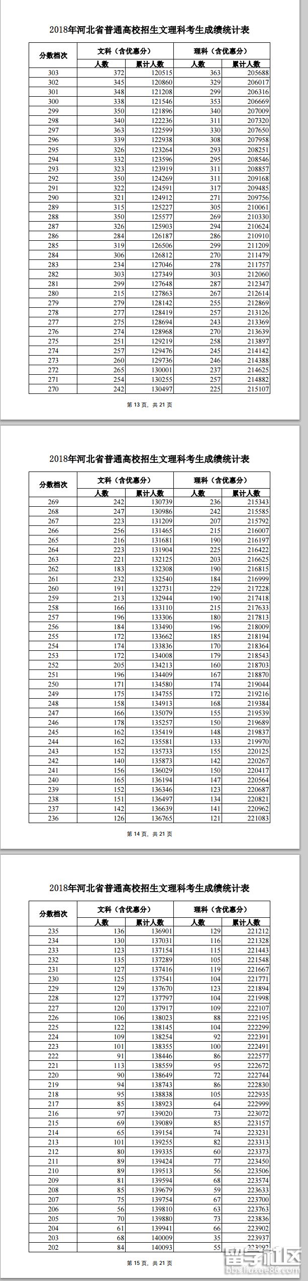
河北高考文科697分及以上的有9人,理科711分及以上的有20人!出国留学高考网为大家提供2018年河北高考成绩一分一段表(文理科),更多高考资讯请关注我们网站的更新!
2018年河北高考成绩一分一段表(文理科)







小编精心为您推荐:
河北高考分数线段排名推荐访问