出国留学网专题频道考试费用介绍栏目,提供与考试费用介绍相关的所有资讯,希望我们所做的能让您感到满意!
准备雅思的考试对每一个学生来说,都是非常重要的,那么你知道时间该怎样规划吗?和出国留学网来一起看看雅思考试时间和费用。
时间规划
听力
精听剑桥雅思4-12,定期检查自己的进步,熟悉雅思题型,并听写重要段落。收听英文podcast,如BBC的6 Minute English, The English We Speak, From Our Own Correspondent等。熟记雅思常见场景词汇。可参考机经,摘记核心词汇。
在考试前2个月的时间可以考虑参加培训班。课上老师对真题和答题技巧的讲解可以起到画龙点睛的作用,并为下一步的考试冲刺期做最充分的准备。课后积极复习,反复演练授课老师介绍的听力答题技巧,完成布置的作业。
随着考试的临近,在考前两周坚持每隔一天做一套完整的真题。
阅读
单词回顾。根据模考的成绩,检查自己的单词量,然后选择合适的单词书记忆单词。考生可以复习背过的四级词汇、六级词汇,以及专门的雅思词汇。
增加泛读量。在平时的学习中,考生可以依据时间适当增加自己的泛读量,建议每天读数篇英文报刊文章,字数在1000字左右,以了解大意,提高速度为主,如Economist和National Geographic等。也可以阅读一本综合的泛读教材,比如《朗文高级英语阅读》。
阅读部分技巧性最为明显,考生可以在培训课堂上认真听讲,做好笔记。第一节课尤为重要,对以后课程有指导作用。可以根据个人情况,制订上课期间的复习计划:如每天背多少个单词,多久做一篇精读,如何与老师的授课同步学习等等。
课后按时完成作业,精读《剑桥雅思考试全真试题集》上的重要文章。具体做法如下:
按老师要求做题,对答案,算出自己的分数。回文章中去找到题目的对应点,对对应语句进行分析和解读。通读整篇文章,划出生词,记忆核心词汇,辨别语法难点,可参考《剑桥雅思考试全真试题集解析》。
进入考前两周,坚持完成4-6套真题。做题的同时可以回顾以前做过的题目,特别是那些错题比较集中的题型。对照笔记,熟练掌握解题技巧。考前可以泛了解最近哪些文章比较经常考到,这些文章的主题,段落分配,题目类型,以及这些题目在文章中的大致位置等等。
写作
平时多阅读英文报纸杂志,以积累写作素材。熟悉雅思常考的当代社会生活话题,比如教育、全球化、科技发展对人们的影响等等。
掌握基本词汇的用法。写作的表达首先要懂得正确使用常用词,比如朗文2000词The Longman Defining Vocabulary。对于常用词,不仅要明白基本含义,还要明确用法,熟悉例句。参考书还有English Vocabulary In Use等。
参加培训班,按照老师要求,课前预习本次课要讲的内容,把不懂的地方划出来,等待老师的讲解。
精读《剑桥雅思考试全真试题集》以及课本上的范文。分析并学习范文的立意、论证方法、写作思路、结构安排和遣词造句。争取做到好的范文读10遍以上,融会贯通。自己归纳总结写作常用单词和句型,构建自己的作文套路。把自...
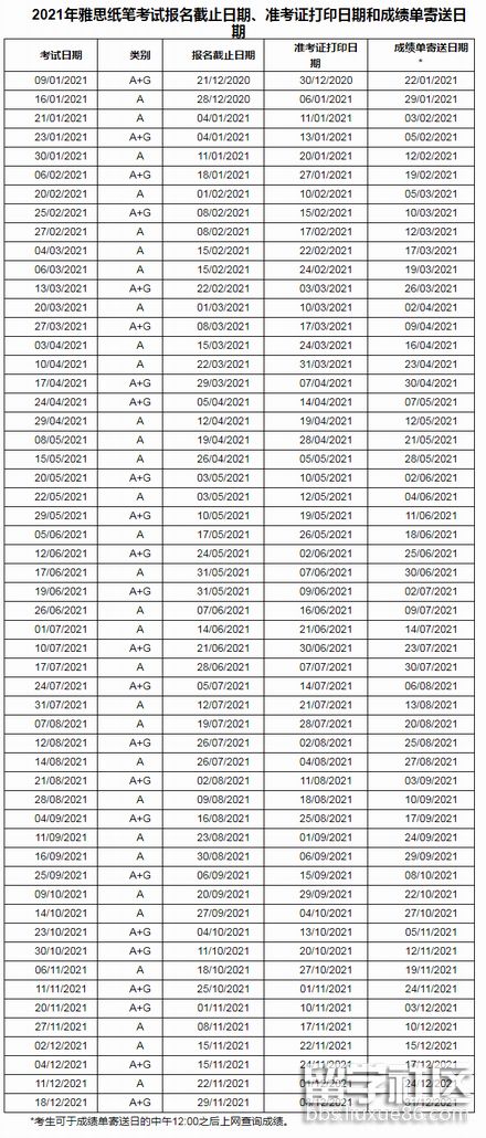
雅思最新的考试时间已经公布了,费用也将在新的一年迎来变化,大家一定要把握好时间和预算。下面出国留学网就带着大家看看2021雅思考试时间和费用。
考试时间

考试费用
自2021年1月1日起雅思生活技能类考试费用由现行人民币1550元调整至人民币1350元,转考费及退考费维持人民币420元不变。
需要注意的是,这不是大家经常考的A类雅思或UKVI雅思,它是LifeSkills。这个操作非常反常,因为在正常情况下,雅思考试通常是每年涨价,本次不增反降绝对是头一回。
虽然本次降价的是生活技能类的考试费用,但是,G类都降了,A类还会远吗?
费用降不降的不重要,重要的是能不能分手才对。如果不能和雅思说拜拜,那么免费又能如何?所以,灵魂拷问:
雅思考试听说读写四个单项,每个单项的成绩均分构成最终总分。相信今年申请留学的考生们都会发现,英国留学申请人数暴增,那么这个时候,一份漂亮的雅思成绩就是你最大的竞争优势。
该如何缴纳IELTS费用
三种缴纳方法:
通过中国工商银行网上付款
通过招商银行网上付款
通过银行电汇付款直接汇入教育部考试中心(NEEA)帐户
网上付款需要办理的手续
首先需要一张由中国工商银行或招商银行认可的具有网上付款功能的银行卡。具体办理办法和程序请登录中国工商银行网上付款服务中心,或招商银行网上付款服务中心,或中国工商银行和招商银行网点。
考试复议
1)复议服务费用。
考生可以申请复议一项或多项成绩,费用均为人民币1000元.
2)复议申请方式及时限
收到成绩单原件后,考生可以登录教育部考试中心雅思报名网站个人主页申请复议服务并支付相关费用。
复议申请一旦确认付费,将无法取消或修改复议项目。
复议服务申请时限为考试成绩公布后4周(28天)内。
无法提供成绩单原件,或晚于申请时限提供成绩单原件的复议申请将视为无效,无法受理。
在网上提交成绩复议申请后3周内, 考生可以登录报名网站个人主页修改复议成绩单寄送地址.
3)复议流程及时间
收到考生在线提交的复议申请、相关费用及成绩单原件
准备考...
最新公布的公告表示,托福新的一年的考试报名费又要上涨了,为什么会这么贵呢?接下来就由出国留学网带来托福考试费用为什么这么贵?
费用构成
场地管理费
托福每年都会在全球各地高频率地开展考试,而这些考试的考场实际上也都是要花钱租的!
以中国大陆为例,绝大部分的托福考点都是租借了高校的教室。因此,ETS每年都会花费一笔不小的租借费用。
除此之外,考场和考场内部人员的对接、统筹、安排等也都需要强大的管理系统和人力系统支持。
自然而然,这些成本也就都包含进托福考试费用里面啦~
出题成本费
托福考试的试题都是非常讲究和高要求的,这题目不能太难也不能太简单,否则就无法准确区分考生的能力,而且还不能有歧义,一定得保证最终分数能公正地体现学生的水平。同时,还要排除考生“听天由命”的可能性,比如三长一短选最短,三短一长选最长~
为了满足上述的要求,ETS聘请了大量教育心理学专家来对托福试卷进行测试和评估。再加上出题成本,又是一大笔资金的耗费~
试卷批改费
托福考试的批改中有很多都是机器来进行的,而这些机改系统也是需要大量费用去研发和维护的!
然后像口语和写作,除去机改的部分之外还是需要批卷者人工进行批改、评分的。这些批改试卷的人大部分都是拥有优秀英语教育背景的老师,在上岗之前,ETS还需要给他们做大量的专业培训。
这些人力成本自然也是要算在考试费用当中的啦。
市场推广费
ETS为了吸引更多考生来选择托福,它是需要和全球的各个高校来进行商讨合作的,要说服它们接受申请人的托福成绩。
那么在这个合作过程中所耗费的人力和财力也都是需要被计算在考试费用里的~
综合看来,ETS的定价还算良心,比起隔壁来说至少目前还没突破2000元大关。
为了少给ETS送钱,那我们肯定还是争取一次就考到心仪的成绩啦。
缴费方式
一、网上银行
您可使用中国工商银行或中国招商银行的网上付费服务进行托福网考网上报名付费,这将使您可在互联网上一次完成全部报名程序,并支付较低的手续费。
如使用网上支付功能,当您决定取消报名时,所支付的考试费将会被退回到您的银行卡上,每个人的情况不同。当您希望使用网上付费,又没有上述两家银行的电子商务卡,请到中国工商银行或中国招商银行营业厅去办理电子商务卡。
中国工商银行和招商银行在其网站和营业厅均备有相关服务的详细资料。除网上付费,托福网考付费还可通过银行电汇实现。
二、银行电汇
点击电汇按钮,您将看到有关通过电汇方式向教育部考试中心指定的银行帐户支付toefl报名费的重要信息。这些信息包括:开户银行户名、...
去美国留学,首先要参加各类考试并且取得一个不错的考试成绩。当然,在报名考试之前最好先了解一下考试的报考费用,下面出国留学网来说说2018美国留学考试费用一览!
美国留学费用介绍之各项考试费用汇总(以下费用币种均指人民币):
1.TOEFL考试费
托福网考考试费:1635元
逾期报名附加费:267元
转考费:535元
恢复已取消成绩:135元
成绩増送费(每一份):126元
口语或者写作单项复议:535元
口语和写作双向复议:1067元 ="color:rgb(255,0,0);">
="color:rgb(255,0,0);">
2.IELTS考试费
雅思考试费(A类):1850元
用于英国签证及移民的雅思考试费(UKVI) : 2000元
雅思生活技能类考试费(G类):1500元
除了考试费之外,还需向银行支付手续费
3.SAT考试费
考试注册费:285元
详细成绩单:120元(可根据意愿勾选)
国际注册费:351元
2016SAT2的收费如下:
考试注册费:172元
每学科费用:120元
详细成绩单:无国际注册费:351元
4.GRE考试费
GRE考试报名费用1287元
GRE转考费用是345元
5.GMAT考试费
考试费:1725元
改期费:345元或1725元
快递费:185元
成绩増送费:195元
Essay Rescore: 310元
6.LSAT考试费
LSAT是美国法律硕士研究生的入学考试,这项考试1994年2月第一次在中国大陆举行,目前全国只有北京1个考点。LSAT只有阅读、逻辑、分析三部分。
考试费 :1150元人民币。
7.TSE英语口语测试考试费
如今,许多学校都开始重视这项考试成绩,有些已经把TSE成绩作为申请研究生必须提供的成绩,也有一些把TSE作为助教金资助(Teaching Assistantship)的衡量标准。TSE考试在中国一年也举行四次,分别 在1月、5月、8月和10月与TOEFL考试在同一天。只是TOEFL在上午,TSE在下午。考生报名时应该持有考试中心规定的证件并交纳报名费:北京考生可到北外报名中心交纳考试费用1070元和报名表。
<...
12-31
86留学网告诉大家2015法语水平考试费用。
2015年法语水平考试报名费用:TEF考试费用
1、必考项目三项共:RMB 400 元。
2、选考项目二项共:RMB 600 元。
3、若同时报考必考与非必考, 可享受优惠。
2013年法语水平考试报名费用:TCF考试费用
1、人民币1000元左右。
01-07
11-22
从2013年4月1日起,预签证程序费以及法语考试报名费都将做出调整:预签证程序费由2000元人民币调整为2100元人民币,预签证法语考试报名费将由1400元人民币调整为1500元人民币。
根据以往惯例,此次费用调整的生效应该仍会以汇款日期为准,在此之前汇款的学生,即使还未确定法语考试或预签证面试的时间,也应该不需要补交费用。
近20年来,法国的商科教学质量也有了大幅度的提高,出现了十几所欧洲著名的高等商学院,同时留学费用远远低于去英联邦国家的花费,如果在公立院校就读,3年总花费(学费+生活费)不超过20万人民币;如果选择私立院校,2年总花费不超过25万。且经济担保要求不高,有7万以上人民币存款即可,无需存期和出示资金来源证明。
专家指出去法国读研究生有这样几个理由,一是法国在研究生阶段的教育水平处于世界一流,专业设置非常全面,法国的优势教育学科是基础科学(数学、物理、化学)、电信工程、交通工程、生化技术和建筑与艺术类学科。
在国际上不同的院校排名统计中,法国综合大学(Université)和高等专业学院(Grande Ecole)均名列前茅。《金融时报》(Financial Times)公布的40所优秀的管理类硕士院校中,法国有6所商校跻身十强。《泰晤士报高等教育增刊》(Times Higher Education Supplement)评选出的50所杰出欧洲大学中,法国的高等师范学院名列第五。欧盟委员会在第三期《欧洲科学与技术指标报告书》中指出,巴黎六大的论文发表量名列欧洲第二。在上海交通大学“世界大学学术排名500强”中,法国入围的高校数位居前十位。
10-10
05-08
托福:¥1415;
雅思:¥1550;
GRE:¥1310;
GMAT:¥1725;
【更多美国留学信息请点击出国留学网相关链接】
美国消费比较便宜的州
美国是世界上最强的一个国家,是世界大国。很多人都认为这里的消费不便宜,是昂贵的。可是也有一些便宜的,以下给大家呈现美国这几个消费比较低的州。
No.1北达科他州
州税5%,地方保留增加的权利,一些城市可加收2%的旅馆税及1%的餐馆消费税。
位于美国中部的最北端,这里的罗斯福国家公园是美国水牛和野牛的家园。
州府是俾斯麦Bismark,位于本州中南部,人口三万。州内最大之都市法哥Fargo,农业机械制造业很盛,在本州东境,人口只有五万。因此,都市化进行的速度非常缓慢。本州高等学府有14所。其中最著名的是北达科他大学,创立于1883年,地点在本州东境之格蓝福克GrandForks,学生约八千。
No.2内布拉斯加州
州税5%,一些地区的税会收到1.5%。州旅馆税收1%,其他一些县可以收2%的旅馆税。
平原风光是这里的最大特色。
州府是林肯Lincoln,位于本州东南部,人口一五万。大都市俄马哈,在州府之东北方,相距很近,人口三五万。本州高等学府有二七所,其中最著名的是内布拉斯加大学,有两个分校:一在林肯,创于一八六九年,学生两万;一在俄马哈,创于一九○八年,学生一万二千多。
(略)
...考试费用介绍推荐访问