出国留学网专题频道考试雅思准备栏目,提供与考试雅思准备相关的所有资讯,希望我们所做的能让您感到满意!
考试雅思是出国留学的学生,必须要确认好自己考试的基础费用,而且需要保证自己的准备充足了。下面和出国留学网来看看雅思考试费用一次是多少钱?
考试费用
2021年其它季度的雅思和用于英国签证及移民的雅思纸笔及机考考试安排年内会陆续公布。
另,自2021年1月1日起雅思生活技能类考试考试费由现行人民币1550元调整至人民币1350元,转考费及退考费维持人民币420元不变。
基本内容
听力(学术类 & 培训类)
听力考试时长:30分钟,并有10分钟时间将答案誊写到答题卡;听力考试题型:共包含4段独白和对话。每段听力材料只播放一次,对应10道问题,问题的排列顺序和答案在听力材料中出现的顺序一致。
阅读(学术类)
阅读考试题型:共包含3段文章及相应40道题目。每一篇文章所需要回答的问题数量并不相同。文章内容和题目均出现于试卷中。
文章取材于供非专业人士阅读的真实出版物(例如选自书籍、期刊和报纸),与考生未来在大学课程中将阅读到的文章极为相似。也包含非文字性内容,例如图表、曲线或插图等。所有文章总计长度约在2000-2750字。
写作(学术类)
写作考试题型:共两篇作文。第一篇(Task1)为图表分析写作,如表格、曲线图、柱状图或示意图等,考生需对这些信息或数据进行描述,要求不得少于150字;
第二篇(Task2)为议论性文章写作,考生需根据题目所给出的看法、问题或议题进行论述,要求不得少于250字。考官给以下四项分别评等级分:任务完成情况(Task1)/任务回答情况(Task 2),连贯与衔接,词汇变换、句式多样性和语法准确性。这四方面所占权重相同。
写作(培训类)
写作考试题型:共两篇作文。第一篇考生需根据题目中的问题或者事件写一封私人信件,形式可为非正式、半正式或正式。
题目包括对一个问题或事件的描述,以及对考生需完成的任务的三点要求,要求不得少于150字;第二篇为议论性文章写作,考生需根据题目所给出的看法、问题或议题进行论述,要求不得少于250字。
考试流程
笔试部分流程
1、考前准备
雅思考试会由官方提供自动铅笔、橡皮和耳机,因此不需要自带文具。而除了携带自己报考的证件之外,同学们还可以带一瓶没有标签的瓶装水。
2、听力考试
笔试第一部分是听力,这时监考员会朗读相关考试纪律,然后进行试音。他会放一段录音,然后问是响或轻,是否耳机有问题(如果你有的话就提出来)。大家都没问题之后会分发答题纸发,之后监考员会教你怎么填姓名、考号、日期等等。
3、阅读考试
第二部分是阅读,等听力考题收上去后,阅读考题发下来,同样要在听到指令后才能打开试卷,答题纸就是听力的反面。阅读考试时间60分钟,题目分三个部分。每篇文章大约120...
准备考雅思的同学,需要确认好自己的考试安排,并且要提前了解考试前的各类须知事项。接下来就由出国留学网的小编为大家带来雅思考试前要做好哪些准备?
考前准备
1、在考试当天考生须出示有效身份证(非中国籍考生可使用护照),并且临时身份证不被视为有效的身份证件。若考生身份证件不符合规定,监考人员有权取消其考试资格。
2、考生在考试当天入场完毕后,不得以任何理由擅自离开考场。所有考生应在进入考场前使用洗手间。考试期间,如有特殊情况,须由主监考同意、监考人员陪同,方可离开考场。
3、考试期间,考生不得随身携带手机、呼机或任何其它电子设备。
4、考试期间,考生应关闭手机和寻呼机。如果考生的手机或呼机在考试期间发出声响,考生将被取消考试资格。考试期间或中间休息时,考生不得接听或拨打电话,否则以涉嫌作弊论处,不得继续参加考试。
5、考试期间,考生只能将身份证件、木杆铅笔、橡皮擦放置于桌上。切勿将饮料放在桌上,以免饮料浸湿考卷或损坏考试设备。
6、考生不允许将任何与考试有关的信息写下来带离考场。如有违反,考生不得继续参加考试。
7、考生须在考试时间内完成答案的誊写。考试的评分仅以答题纸上的答案为准,写在试卷上的答案将不被评判。
8、在监考人员宣布考试结束时,考生必须立即停止书写。考试结束后书写的答案将被标注并不予计分。视其情节轻重,主监考有权取消其考试资格。
9、在阅读之后的休息期间,考生不得离开指定活动范围,也不得与考生以外的任何人联系。任何违反此规定的考生,将被取消考试资格。
10、在笔试过程中的休息期间,考生不得从包中拿取除食物、饮料外的任何东西,或将包带出考场。考试期间(包括休息时间),考生不得在考场内翻阅笔记、书籍。如有违反,参见第12条规定。
11、在写作考试中,考生须运用自己的知识及经历表述自己的观点。如写作考试阅卷考官认为考生抄袭了范文或参考资料,考生的作文将被降等评分并可能被判零分。
12、考生参加口试,至少提前30分钟到达考场。对口试迟到的考生,考官有权决定取消其口试资格。
13、参加口试时,考生须向考官出示本人有效身份证。考官有权拒绝对身份不能确认的考生进行测试。
14、考生不得将包、纸张、手机或电子录音设备带进口试考场。如果考生违反了此规定,将不会得到成绩单。
15、口试结束后,考生须立即退场,不得与其他人进行有关考试的交谈。如果考生传递口试信息给其他考生,则所有涉及的人将没有成绩单。
16、因身体障碍需作特殊考试安排的考生,请至少于考试日期前14周(三个半月)与离您最近的英国文化协会(英国大使馆/总领事馆文化教育处)办公室联系。
17、考生如对考试安排、考场设施、考务人员的服务不满意,或认为自己在考试中受到不公正对待,请在考后5个工作日内用电子邮件、信函、传真等书面形式向离您最近的英国文化协会(英国大使馆/总领事馆文化教育处)办公室投诉。(联络方式请参阅准考证)。
复议信参考
<...
备考雅思,是每一个去英语系国家读书的学生必须要做的事情,而找对方法很重要。今天出国留学网就带来怎样高效备考2021雅思考试?
心态保证
从实际出发
理清现状是最好的备考策略之一。英语是一门很难掌握的语言,雅思考试亦然——想通过临时抱佛脚来提分显然是不可能的。每个人的基础不同,可能需要几个月或者几年时间的准备,才能拿到满意的雅思成绩。
想拿高分,需要持续不断的练习。这不仅仅是指雅思测试题,还包括看英文电影、参加英文课外活动,阅读英文原著等等英文活动。将纸面复习与生活锻炼结合起来,你的雅思成绩就能更快提高。
保持自信
保持信心也是一项很好的备考策略。对自己写作和口语能力,以及听力与阅读答案保持信心,因为自信可以帮助你提高分数。如果你想修改听力或者阅读题目答案,先确信自己的第一个答案是错误的。同时不仅对答案保持信心,对语气和语调也要有十足把握。如何做到信心满满呢?不断练习。
而且最好让自己在模拟考试环境中,记时、真人模拟口语考试场景,以及让别人来评点你的写作答案。这种练习会让你提前体验考试当天的压力,一旦你克服了这些紧张情绪,就会对自己的考试能力更有信心。
答题方法
保持谨慎
考试当天非常重要的策略就是保持细心谨慎。在紧张状态下,一个人会犯平时不会犯的错。按以往经验看来,反复检查答案对雅思成绩是有好处的,尽管你可能觉得这有些多余。
在听力、阅读和写作部分都要反复检查单词拼写。有些考试中心会同时提供雅思机考与纸笔考试两种考试模式,一定要仔细检查自己的拼写是否正确。确保没有字母混淆,并且保证笔迹清晰;如果有修改,确保修改内容清晰明了;多余的字母或者重复出现之前的单词会让考官困惑并被扣分。
保持敏锐
保持谨慎和保持敏锐是两种同等重要的雅思备考策略。如果你想确保自己弄懂题目要求并且理解阅读题目,就把问题多读几遍,尽管看起来有点多余。如果有时间,一定要多检查几遍答案。
确保填写的单词或词组与题目匹配:比如需要填写几个单词,需要哪种词性的单词(名次、动词、形容词、副词、形容词+名词、动词+介词+名次等)。你还可以自问这个词是可数还是不可数。所有这些问题都可以帮助你找到正确答案。
保持平常心
保持平常心是最难做到、也是最有效果的一项策略。想做到平常心对待考试,你需要看英美剧、欧美电影、英文报纸、博客等等。这些方式可以让你了解当下最常用的语言表达方式。
回到雅思写作和口语部分,你肯定希望自己的语言看上去/听起来尽可能的自然流畅。这就需要在写作考试中使用英语常用单词和短语;在口语考试中尽量使用俚语、俗语,或流行词汇来让自己的答案听起来更自然。尽量不要在写作或口语考试中用死记硬背的方式答题,因为这都会被扣分。
听力准备
1.在录音开始前,在每一部分开始时,仔细阅读该部分的问题。这有助于你跟随录...
英国设置的雅思考试是有不同的类型的,大家的准备应该跟着距自己要参加的考试来。和出国留学网的小编看看雅思考试有哪些类型 如何备考雅思?
考试类型
一、雅思普通类
最普遍的雅思考试,是针对前往英国学习和深造的学生和社会人员,考试的内容不会特别难,主要偏向于简单的理解和基础的交流,分为A类和G类。
前者是学术研究类,前往英国进行高中、本科、研究生、博士等阶段学习的学生,要参加的就是这一类的考试,准备的标准会稍高一些。
后者是学习培训类,准备去英国进行语言学习、预科学习、学习交换的学生,接受的就是这一类偏向于培训的考试,从题型到难度上,都会简单一些。
二、雅思技能类
针对准备去英国工作的人,还有专门的IELTS Life Skills考试,考试的重点是英语的口语水平和听力水平,持有特殊工作签证的人才能够参加这类考试。
考试的模式就与普通雅思考试完全不一样,是通过面对面交流的方式进行能力的审核,所以难度其实要比书面的纸质考试要大得多,对心理素质要求非常高。
三、雅思移民类
而准备移民到英国的人,则必须要通过移民类的雅思考试,这一方面是保证移民者的质量,另一方面也是让移民者更快的适应移民生活,毕竟语言是交流的重要工具。
目前考试在国内一共有十二个考点,大家需要进行查询并且定点报名,这个考试也是分为A类和B类,考试的各方面内容,都是和普通类考试差不多。
所以大家在进行考前培训的时候,完全可以报考出国留学雅思考试培训,不过在进行报名的时候,需要选择好自己的考试类型。
雅思考试优势
1.适用国家:
如果选择去英联邦留学,雅思一定是首选,特别是选择去英国留学的同学。对于去英联邦留学的同学,推荐雅思有一个很实际的意义:雅思考试的听力项是使用标准英音进行考核的,对于准确去英国留学的同学是一个很好的锻炼机会。
如果平时看美剧看的特别猛的同学,忽然华丽转身听英音,可能一开始会很懵,所以雅思考试中的标准英音会是一个不错的过渡。
2.考试形式:
托福的机考模式需要时间适应。在教学过程特别是阅读考试的教学中,会让学生先在纸上精读,然后再过渡到上机,这个过程需要一个适应时间,特别是对那些喜欢在卷面上划关键词的同学,这简直是一种折磨。其次,托福写作项目需要学生有一定的打字速度和精准度,所以这也是很多学生需要强化的一个训练项目。
而在雅思的试卷上学生可以随便涂画,而且老师教授的技巧之一就是如何对于某些信息做出题预判,通常会建议多在卷面上划线标注,所以学生不存在要适应雅思考试形式的问题。所以我们通常建议复习时间周期特别短的学生在两门考试都可以参加的前提下选择雅思考试。
3.考试内容:
托福考试在改革后采用了综合口语和综合写作的考核形式。举例来说,托福口语Task3/4/5/6四项需要考生在规定时间完成指定阅读和听力的理解,然后根据要求完成口语转述。也就是说如果学生听力和阅读无法有效理解,口语基本就不可...
目前出国已经成为了不少学生的选择,那么你知道考试有什么用途吗?除了出国还有别的用途吗?和出国留学网来看看雅思考试有什么用途?
雅思考试有什么用途?
全球超过10,000所机构认可雅思成绩,无论你想留学、移民、就业,还是检测英语水平;无论你想去英国、澳大利亚、新西兰、美国、加拿大,还是荷兰、法国、德国、瑞士、瑞典、新加坡、香港、马来西亚、日本、南非等;你只需要一项英语考试 – 雅思考试。
用途1:出国留学必备
对于想要出国的人来说,考雅思并获得一个好的成绩,可以减免在国外的语言学习周期。还会减少国外学校对学生入学资格的审核时间,增加被录取的可能性。
用途2:有雅思成绩,工作机会更多
对于在外企工作的人来说,雅思的成绩可以证明自己的英语水平,在应聘时更有竞争优势。
用途3:国内考研有助力
雅思成绩对国内考研的同学有一定的帮助,在同等条件下,拥有不错的雅思成绩更具竞争力。
用途4:国考承认雅思成绩
国考承认雅思成绩,部分职位对雅思有一定要求。
雅思考试分为几类?
第一类:雅思考试
第二类:用于英国签证及移民的雅思考试
第三类:雅思考试生活技能类
对于第一类,又分学术类(A类)和培训类(G类)两种:
A类:出国留学申请本科和研究生及以上学位;
G类:英国国家移民申请或申请培训及非文凭类课程。
对于第二类,分学术类(A类)和培训类(G类)两种:
A类:所有英国院校的英语强化/预科/语言/其他本科以下课程;
G类:英国国家移民申请,或申请培训及非文凭课程。
对于第三类,有以下两种:
A1级别:配偶,探亲类英国签证申请;
B1级别:入籍,永居类英国签证申请。
雅思考试有多难?
雅思比较神奇。
有人过了6级考雅思还过不了6分,有人四级才刚过就能考7分。
雅思每0.5分就是一个档次,只要用心,加上正确的方法,一定可以达到我们想要的成绩,有志者事竟成。
所谓的难不难,其实都是看在我们的功底上而说的,考试就像弹簧,你强它就弱。
雅思考试一次考多久?
雅思考试纸笔模式:
笔试答题大约将在上午09:00 到12:00进行。
听力:30分钟加10分钟誊写答案的时间;
阅读:60分钟;
写作:60分钟。
雅思考试机考模式:
上午场笔试答题大约将在上午09:00 到12:00进行;
下午场笔试答题大约将在下午14:00-17:00进行;
晚场笔试答题大约将在晚间18:00-21:00 进行。
听力:30分钟+2分钟检查答案的时间;
阅读:60分钟;
写作:60分钟。
口试考试用时为11到14分钟。
四级没过,可以考雅思吗?
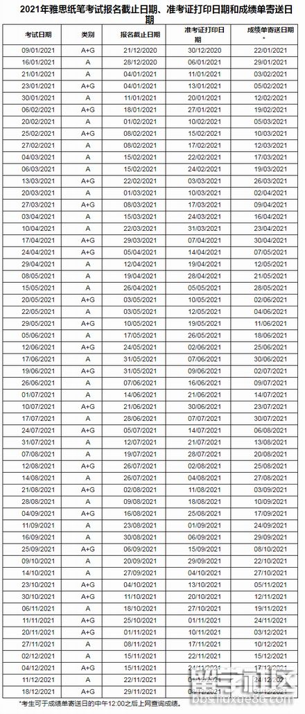
新一年的雅思考试,时间和收费都已经公布了,大家可以开始预约考试和准备费用,确认自己的出国时间。跟着出国留学网来一起看看雅思考试时间和费用一览表。
考试时间
全年已确定55个雅思纸笔考试日期,其中为中国考生特别增加7个;分布于7个城市的8个机考中心将以更高的频率组织考试,更多的机考中心亦将随后开放以便为广大考生提供最便捷、及时的考试服务。
2021年1-6月雅思纸笔考试、1-3月用于英国签证及移民的雅思纸笔考试、1-3月雅思机考和用于英国签证及移民的雅思机考即日起接受报名。

考试费用
请大家登录中国教育部考试中心雅思报名网站或 查看具体安排,并完成在线报名。
2021年其它季度的雅思和用于英国签证及移民的雅思纸笔及机考考试安排年内会陆续公布。
另,自2021年1月1日起雅思生活技能类考试考试费由现行人民币1550元调整至人民币1350元,转考费及退考费维持人民币420元不变。
雅思费用统计表
雅思固定费用是报名费2040元,而如果有其他需求的话,比如转考费用420(提前申请),复议费用1000元(复议一门或多门统一1400元)
所以,如果考生不计算其他费用的话,雅思考试最低成本是2040元。
但如果加上复习费用的话,
雅思自学成本:
雅思各类资料习题包预估:300~~500元
雅思报班费用:
雅思线下大班课费用预估:3500~6000元
雅思6.5分包过班:5500~8500元
雅思线上一对一辅导班:5500~10000元
雅思线下一对一辅导班:7000~14000元
雅思网课班:2500~5000元
而雅思报班又可以分为雅思口语班,雅思听力班,雅思阅读班,雅思写作班和雅思全科班。
雅思口语/阅读/听力/写作大班课的报班费用一般在2800~6500元
雅思口语/阅读/听力/写作线上一对一辅导的费用一般在2500/5000元
雅思口语/阅读/听力/写作网络直播课的辅导费用一般在1000~1500元
注:具体报班费用要根据实际所报课程,上课时间,授课方式和老师来确定。
雅思成本预算:
普遍的来说,雅思考试费用为2040~30000元之间不等。
大数据统计发现,雅思考生通常考试次数在二到三次才会刷到自己满意的分数。
所以,如果想要一次成功上岸,就要付出更多精力和时间哦!
推荐阅读:
考试雅思准备推荐访问