出国留学网专题频道艺术类专业成绩分布表栏目,提供与艺术类专业成绩分布表相关的所有资讯,希望我们所做的能让您感到满意!
07-31
上海今年高考高职艺术类考试情况怎样?出国留学网整理了上海2018高职播音与主持类专业统考“语、数、外”成绩分布表,更多有关资讯本网站将不断更新,请随时查看。

推荐阅读:
06-24
参考了上海艺术类考试的考生们注意了,出国留学网为你整理了2018年上海高考播音类专业成绩分布表,更多资讯请关注本网站更新。
2018年上海高考播音类专业成绩分布表


推荐阅读:
...06-24
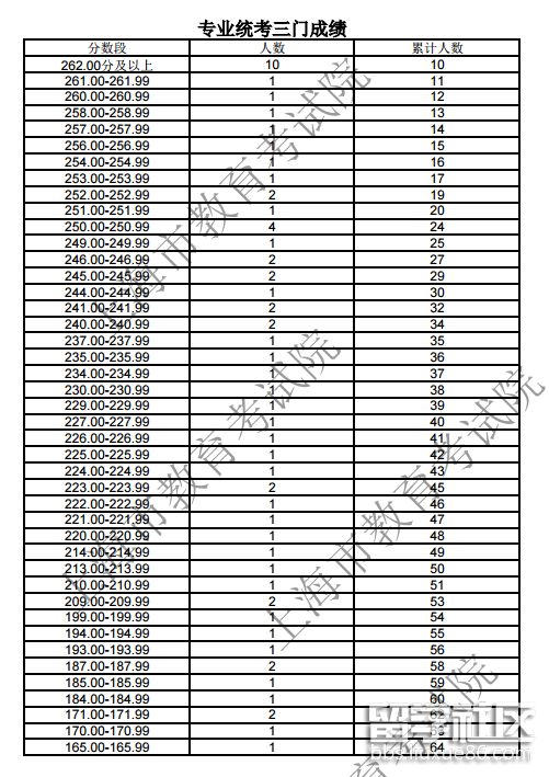
出国留学网为你整理了2018年上海高考表演类专业统考成绩分布表,希望能帮到你,更多资讯请关注本网站更新。
2018年上海高考表演类专业统考成绩分布表


推荐阅读:
...06-24
出国留学网为你整理了2018年上海高考编导类专业统考成绩分布表,供你查看,更多资讯请关注本网站更新。
2018年上海高考编导类专业统考成绩分布表


推荐阅读:
...06-24
出国留学网为你整理了上海2018年高考音乐学类专业统考成绩分布表,供你参考,祝你考上理想大学!
上海2018年高考音乐学类专业统考成绩分布表



推荐阅读:
06-24
出国留学网为你整理了上海2018年高考美术与设计学类统考成绩分布表,希望对你填报志愿有所帮助,祝你考上理想大学!
上海2018年高考美术与设计学类专业统考成绩分布表



推荐阅读:
...艺术类专业成绩分布表推荐访问