出国留学网专题频道艺术类统考栏目,提供与艺术类统考相关的所有资讯,希望我们所做的能让您感到满意!
02-15
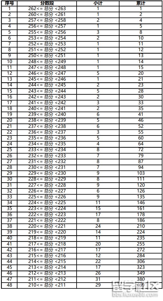
云南省音乐艺考生注意了!音乐学分数段统计表已出,大家快来关注一下!下面是由出国留学网编辑为大家整理的“云南省2023年普通高校招生艺术类统考-音乐学分数段统计表”,仅供参考,欢迎大家阅读本文。
云南省2023年普通高校招生艺术类统考-音乐学分数段统计表




推荐阅读:
...12-30
山西的考生注意了,山西2023年度的艺术专业统考考试时间马上就要到了,请各位考生做好考试准备。下面是小编为大家准备的“2023年山西艺术类统考书法专业考试告知书”,可供各位考生参考。更多考试相关信息请继续关注本网站。
根据《山西省招生考试管理中心关于做好2023年普通高校艺术类专业考试工作的通知》要求, 山西省2023年普通高校艺术类书法专业考试在太原师范学院举行,时间为2023年1月2日。为确保考 试工作顺利实施,现提出如下要求,望广大考生和家长理解支持。
1、考点仅开放太原师范学院南门(晋中市榆次区大学街319号)作为考生入校唯一入口,其他 校门均不对考生开放,考生进入太原师范学院时须出示准考证和居民身份证。
2、参加考试前,须出示准考证和居民身份证进行身份核验;考生在身份核验时,需摘下口罩, 其余时间全程佩戴口罩,考试结束后迅速离校,严禁聚集和逗留。为避免人群聚集,建议考生独立应 考,提倡家长不送考、不在考点门口聚集。
3、考生要做自我健康管理的第一责任人,考生及共同居住人应最大限度减少流动。考生在考点 内须按要求佩戴医用外科口罩或以上级别口罩(建议优先选择N95医用防护口罩),口罩由考生自 备,服从现场工作人员管理及防疫工作安排,不得随意走动。
4、为确保考试安全,送考车辆和与考试无关人员不得进入太原师范学院校区,仅允许考生本人 入校参加考试。
5、对于扰乱现场考试秩序,不服从考试管理的考生,将进行严肃处理。
请广大考生注意防寒保暖,预祝考生取得优异成绩
推荐阅读:
...12-29
新疆自治区2023年高考艺术类专业统考准考证于12月29日10时起开始打印,届时各位考生记得准时打印准考证,下面是出国留学网整理的“自治区2023年普通高校招生艺术类统考考生自12月29日10时起可打印《准考证》”,供新疆考生参考阅读。
参加自治区2023年普通高校招生艺术类专业统一考试的考生,可于12月29日10时起自行登录“新疆招生网”(http://www.xjzk.gov.cn/,下同)打印艺术类专业统考准考证。
请考生仔细阅读《准考证》上的考生须知,按照准考证上的时间、地点参加考试。
考生应充分考虑交通、天气等因素提前做好赴考路线规划,留足赴考时间,避免迟到。赴考往返途中,尽量保持“两点一线”。
考生须严格遵守考场规则,诚信考试,特别提醒:严禁携带手机进入考场!考生须按照考点要求存放手机等非考试用品。如考生在考试过程中随身携带手机等具有发送或者接收信息功能的电子设备,无论使用与否,均认定为考试作弊,取消本次考试全部成绩。考生不遵守考场规则,不服从考务工作人员管理,有违纪、作弊等行为的,将依规处理,并记入国家教育考试考生诚信档案;涉嫌违法的,将追究法律责任。
请考生密切关注“新疆招生”(xjzs140304)微信公众号和“新疆招生网”发布的有关艺术类专业统考最新信息。考生如有疑问,可拨打当地教育考试机构咨询电话(详见下表)咨询。
| 各地(州、市、县)艺术类专业统考咨询、举报电话 | |||
12-16
包头市2023年艺术类专业考生注意!在考试开始前注意阅读下文的考前提示内容,顺利参加考试,包头市考生来仔细阅读看看吧!下面是出国留学网整理的“包头市2023年普通高校招生艺术类统考考生温馨提示”,供包头考生参考阅读。
内蒙古自治区2023年普通高校招生艺术类统考将于2022年12月18日进行,包头考区各项组考准备工作正在有序推进,根据自治区教育招生考试中心疫情防控须知和包头市新冠肺炎疫情防控工作指挥部指导意见,现向广大考生和家长做如下温馨提示:
1、考点设置:包头市设高新一中、高新二中(美术)和包头45中学(音乐、编导)3个考点。
2、考试时间:美术类(高新一中、高新二中)
上午8:30 —11:30、下午14:00—17:40
音乐、编导类(包头45中学):
音乐类:9:00—11:00 基础乐理和练耳
编导类:上午9:00—11:30 笔试一
下午14:30—17:00 笔试二
3、请目前还在包头市外的考生尽快回到包头市,已在包头市的考生,非必要不离开。避免前往人群流动性较大的场所聚集,不流动、不聚集、不聚会,做好个人防护,安心备考。
4、考生须持《准考证》、二代居民身份证、《健康情况承诺书》于开考前1小时到达考点。
考生须配合考点工作人员接受体温检测,并主动配合考点防疫管理工作和考务管理工作。
5、考生从进入考点、考场,到考试结束离开考点、考场,考生须全程佩戴口罩(建议优先选择N95医用防护口罩),口罩等防护用品均需自备。
6、所有考生进入考场前需将手机等非考试用品放在考场外入口处非考试物品暂放处,一经带入考场按作弊处理。
考生在考前身体若有异常,如核酸检测呈阳性要及时向包头市教育招生考试中心报备(最晚于12月16日下午16:00前),以便提前安排考生在指定地点参加考试。否则耽误或影响考试责任自负。
如有其他疑问,请拨打包头市教育招生考试中心电话咨询。电话:0472-5154818、15849268999(刘老师)、18686168288(王老师)。
包头市教育招生考试中心
2022年12月14日
推荐阅读:
12-16
安徽省2023年艺术类专业统考模块一及模块八的考试时间已经确定,准考证于考前一周进行打印,打印的准确入口已整理如下,下面是出国留学网整理的“安徽省2023年艺术类专业统考模块一及模块八准考证打印入口”,供安徽考生参考阅读。
2023年普通高校招生艺术专业模块一(播音与主持)考试定于2022年12月27日在安徽师范大学花津校区开考;
模块八(音乐)面试(含声乐、器乐、视唱科目)定于2023年1月4日在安徽师范大学赭山校区开考,笔试(含乐理、练耳科目)定于2023年1月14日在考生高考所在市举行,由各市招生考试机构组织实施。
考生可于开考前一周登录报名网站(网址:gkbm.ahzsks.cn)打印准考证,了解具体考试时间、考试地点等信息。
推荐阅读:
2023年的高考艺术类专业统考马上就要在各个地区开始考试了,天津地区组织本次考试需要考生们在考前做好非常充分的疫情防护工作,下面小编就为大家带来天津市2023年高考艺术类统考疫情防控要求考生须知,欢迎大家前来阅读本文!
2023年天津市普通高校招生艺术类专业统一考试将于2022年12月3日至4日举行。为做好考试防疫安全工作,保障广大考生和考试工作人员的生命安全和身体健康,根据我市最新疫情防控工作要求,市高招办提醒各位考生务必做好如下个人防疫事项。
一、考前防疫准备
1.考生须严格遵守我市疫情防控的各项要求,自觉加强个人防护,做好个人和家庭的防护工作,考前避免前往疫情高风险区,不到人员密集及人群流动性较大场所活动,不聚集、不聚会,避免与有疫情风险的人员接触,最大限度降低疫情风险。
2.考生须使用手机登录“2023年普通高校招生艺术类专业统一考试健康监测”小程序(https://jiankang.zhaokao.net:9366/),每天按要求如实填报,以免影响正常参加考试。
3.考生须于11月25日以前,使用手机下载“天津数字防疫APP”,在“一屏通行”中申领“天津健康码”和“通信大数据行程卡”,每日登录更新健康码状态。
4.考生须于11月25日以前,登录“招考资讯网”(www.zhaokao.net)或“天津市教育招生考试院”微信公众号,下载《2023年天津市普通高校招生艺术类专业统一考试考生健康卡与安全考试承诺书》(以下简称《健康卡》)和《流行病学调查表》(以下简称《流调表》),按规定如实完整填写相关信息并签字确认,在每日第一场考试入场时交给监考人员。

二、考试防疫要求
1.考生须遵守考点疫情防控相关规定,积极配合健康检查,如遇突发情况须听从考点工作人员安排。考试当日考生应预留充足的时间,提前到达考点(提前60分钟),依据分类管理原则有序进入考场。考生进出考场均须与他人保持1米以上距离,避免近距离接触交流。
2.所有考生均须持考前24小时内核酸检测阴性证明参加考试。其中,对于考前7天内具有我市低风险等级地区旅居史的考生;解除集中隔离未满7日的考生;与居家健康监测人员同住的考生;具有发热、干咳、乏力等可疑症状,尚未经医疗机构鉴诊的考生;确诊病例/无症状感染者符合出院/舱标准且离院/舱后未满28日的考生;离开风险区域、重点疫情地区未满7日的考生;以及其他需要核酸检测的考生,须持考前72小时内两次核酸检测阴性证明(考前24小时一次,且两次间隔须超过24小时)参加考试。
3.考生参加考试时须出示以下证件材料:①考生准考证;②有效身份证件;③通信大数据行程卡;④实时天津健康码“绿码”;⑤规定时效内的核...
11-21
2023年的艺考生们马上就要正式迎来艺术类高考统考了,伴随着考试接近和繁重的学习任务以及家长老师的殷切希望,想必考生们目前承受的压力是非常大的,那么在考试前如何缓解考试压力呢?下面就和小编一起来看看吧!
1.要树立正确的考试观
作为高考的一部分,统考的确是每个艺考生的人生重要转折点,从思想上来说应该对统考有足够的重视。
但凡事都要有度,如果过于看重统考,就会背上沉重的思想包袱,影响考前的情绪,从而影响考试成绩。
在考前,考生要明白统考对自己的意义,更重要的是要明白,人生中的考试有很多,只是自己尽了自己的最大努力就行了,至于结果如何那是顺其自然的事。
即便是考试非常不理想,也不需要再去纠结,而是坦然接受之后,努力完成好下一场考试。只有这样,你才能尽可能地避免失误。
2.学会接纳适度的压力状态
面对重要的考试,每一位考生都会压力和紧张情绪,这是很正常的,学会接纳自己的适度压力和紧张情绪,更利于考生集中注意力,发挥出更好的水平。
不要一味地抵触适度的压力和紧张状态,否则只会取得适得其反的效果。毕竟适度的压力始终是让人前进的动力,没有压力会使人变得颓废。
3.认清自身情况
自己是优等生,中等生还是差等生,能考出什么样的成绩,这是每个考生对自己都应该有一个清醒的认识,这有利于对自己设置一个合理的期望值。
比如考得好会达到什么样的成绩,发挥正常又是什么样的成绩,差得不好又是什么样的成绩。考前有这样的评估后,就更能够正确地对待压力,从整体上缓解自己所处的紧张情绪。
4.学会拆解目标
在对自己有一个清醒认知的基础上,如果为了冲刺最高目标,在压力没给自己造成负面作用的条件下,可以用目标拆解法,逐一落实以实现梦想。
就像登山,一开始就将目标设定为最高峰,当你非常努力地爬到半山腰时却发现自己有些力不从心,这个时候很有可能被目标吓退。如果你将目标进行拆解,比如第一个目标是三分之一处,第二个目标是半山腰,最后才是登顶。
在这个过程中,每完成一个目标,便会给你增加一份自信,这种自信的累加会帮助你实现最高目标。
5.进行积极的自我心理暗示
积极的心理暗示能提高人的信心,消极的心理暗示能降低人的信心,艺考生在统考前应尽量避免消极心理暗示的影响。
那么如何进行积极的心理暗示呢?
在考前可以默念:“我统考一定能考出好成绩”“我能行”“我一定可以”等等,这一类的心理暗示会让自己更加从容、积极地面对考试。
也可以自己寻找或动手制作一个可以带来幸运的物品作为幸运图腾,这个幸运图腾可以是衣服、鞋子、项链、橡皮泥、食物或一个运作等等。
之前有一个考生每次重要考试前,都会向自己之前考得最好的那次考试的准考证拜一拜,就是希望再次考出好成绩。
特别是当考生压力过大,有不良情绪时,可以按下面的步骤做:
<...
2023年的高考艺术类考生们即将参加全省的统一考试,各省的考试基本都在今年12月左右组织考试,陕西省针对本次考试发布了2023年陕西省高考艺术类统考考前疫情防控注意事项,考生们参加本次考试也要记得做好考试的防护工作!
2023年陕西省美术类专业课、书法类专业课、播音编导类专业基础课统考将于2022年12月4日举行。为保障广大考生的生命安全和身体健康,陕西省教育考试院发布2023年艺术类专业课统考疫情防控要求明确:所有考生非必要不出省,在外省的考生,务必于2022年11月26日前返陕。因未及时返陕耽误考试的,后果由考生自负。返陕途中须严格做好个人防护,高风险地区返陕考生务必及时向当地防疫部门报备。
我省明确,考生在考前14天到考试结束,不到人群流动性较大的场所活动,不接触有疫情风险的人员,尽量提早到达考点院校所在地,做好每日体温测量、进行健康状况监测,如实填写《2023年陕西省艺术类专业课统考考生健康状况登记卡》和《考生健康承诺书》。出现异常情况的,要及时报告学校或县(区)招生考试机构,并及时进行诊疗和排查。
参加考试时须提供48小时内核酸检测阴性证明。出现涉疫情况的考生应及时主动向县(区)招生考试机构报告(各招生考试机构联系方式可在高考报名系统首页查询)。
艺考有哪些科目:
1、美术院校(系)
大多数美术院校(系)的专业考试有素描、写生、色彩、速写、创作设计和面试等。不同的专业招生考试有不同的考试科目和不同的要求,比如报考油画、壁画、雕塑等专业的考生必须用素描或色彩方式完成创作试题。
2、音乐类
表演艺术专业,主要考4门:主科(声乐、钢琴、小提琴、大提琴、琵琶、二胡、手风琴择其一)、视唱练耳、音乐知识、素质面试等。音乐教育专业(师范类),主要考5门:声乐、钢琴、视唱练耳、音乐知识、素质面试等。
3、舞蹈类
考试的主要内容有形体素质测试;舞蹈基础:自备小节目表演;乐感:听音乐即兴表演;基本功测试,如柔韧性,弹跳,转翻等;自备舞蹈表演;舞蹈艺术常识测试。
4、播音主持类
要求有标准、规范的普通话语音;发音器官正常、健康、有效;清晰的口齿和圆润的嗓音条件;较好的语言感受能力和表达能力;敏锐的思维能力和应变能力,比如指定稿件朗读、即兴评述、改编主持等;较好的形象、气质和综合文化素质。
...
11-18
福建省体育类和艺术类的考生注意了,2023年艺术类和体育类统考考试时间马上就要到了,请各位考生做好考试准备,下面是小编整理的“福建2023年体育类艺术类统考温馨提醒”,可供各位考生参考,希望能够帮助到各位考生。

2023年福建省普通高校招生体育类、艺术类专业省级统一考试将于2022年11月21日起陆续举行。鉴于当前疫情形势严峻复杂,为保障广大考生生命安全和身体健康,确保正常参加考试,现提醒考生注意以下事项:
一、尽快返回福建省内。目前仍在省外的考生应关注出发地及目的地疫情防控政策要求,提前谋划、合理安排行程,尽快返回福建省内,以免耽误考试。
二、做好个人健康防护。在返回时,考生应选择乘坐合适的交通工具返回,途中严格按照防疫要求做好个人防护。考前8天内考生应按照要求做好个人体温及健康状况监测。考试前,考生及共同居住者应尽量减少跨区域流动,不到疫情高风险地区,主动减少人员聚集,避免与有疫情风险的人员接触。
三、报告个人防疫信息。考生应积极主动配合就读学校或报名所在地县级招考机构做好个人防疫信息摸排,主动报告个人行程。因疫情管控等原因确实无法参加考试的,应第一时间向就读学校或报名所在地县级招考机构报告。若因考生未主动报告滞留状态、信息造假、拒绝配合进行信息摸排等个人原因,导致无法正常参加省级统考的,后果由考生本人承担。
福建省教育考试院
2022年11月17日
推荐阅读:
11-07
关于黑龙江2023年普通高等学校艺术类招生考试时间及考试工作的相关工作安排已通知出去了,详细的安排通知如下,黑龙江2023年的艺术统考生们来看看吧!下面是出国留学网整理的“关于2023年黑龙江省普通高等学校艺术类招生考试时间地点及有关工作的通知”,欢迎黑龙江考生参考阅读。
我省2023年普通高等学校艺术类招生专业课考试分为艺术类专业课全省统一考试(以下简称省级统考)和招生高校自行组织的艺术类专业课考试(以下简称校考)两种形式。我省统一组织美术与设计学类(美术学、绘画、雕塑、艺术设计学、视觉传达设计、环境设计、产品设计、服装与服饰设计、公共艺术、工艺美术、戏剧影视美术设计、动画、中国画)、音乐学类〔音乐学、音乐表演(声乐)、音乐表演(器乐)〕、戏剧与影视学类(广播电视编导、播音与主持艺术)、舞蹈学类(舞蹈编导、舞蹈表演)和书法学专业的专业课省级统考。考生如参加高校组织的我省艺术类省级统考所涵盖和对应专业的专业课校考,须参加我省省级统考并取得省级统考合格证后方可报考。为确保考试工作安全平稳有序实施,现就有关工作通知如下。
一、省级统考时间及地点
(一)美术与设计学类(笔试)
考试时间及考试科目:2022年12月17日
08:00 - 10:30 素描
11:30 - 12:00 速写
14:00 - 17:00 色彩
考试地点:见准考证
(二)戏剧与影视学类
1.广播电视编导
(1) 影视分析(笔试)
考试时间:2022年12月17日14:00-16:00
考试地点:见准考证
(2)即兴评述(面试)
考试时间:2022年12月28日开始
考试地点:黑龙江大学
2.播音与主持艺术(面试)
考试时间:2022年12月28日开始
考试地点:黑龙江大学
(三)音乐学类
1.基本乐理、听音(笔试)
考试时间:2022年12月17日
08:00—09:30 基本乐理
10:00—10:30 听 音
考试地点:见准考证
2.视唱、声乐演唱、器乐演奏(面试)
考试时间:2022年12月24日开始
考试地点:哈尔滨音乐学院
(四)舞蹈学类(面试)
考试时间:2022年12月27日开始
考试地点:哈尔滨师范大学(江南校区)
(五)书法学(笔试)
考试时间:2022年12月18日
08:00-09:30 书法临摹
10:00-11:30 书法创作
考试地点:哈尔滨师范大学(江北校区)
二、校考考试时间及地点
如考生参加高校组织的校...
艺术类统考推荐访问