出国留学网专题频道雅思考试时间安排表栏目,提供与雅思考试时间安排表相关的所有资讯,希望我们所做的能让您感到满意!
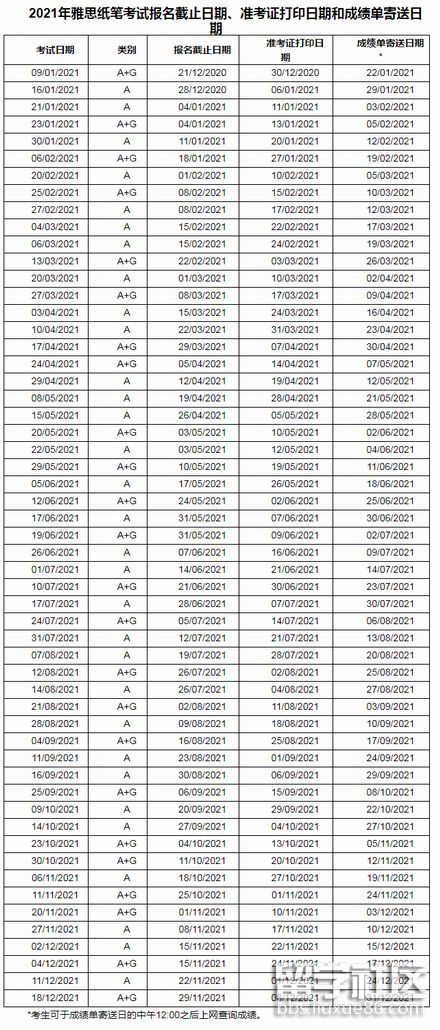
在10月14日,教考中心发布了2021年雅思考试全年的时间安排,大家可以开始预约考试的时间了。来跟着出国留学网的小编看看2021年全年雅思考试时间安排表。
考试时间表

报名流程
在中国大陆地区,考生可以通过教育部考试中心(NEEA)雅思报名网站报考:雅思考试-纸笔、雅思考试-机考、用于英国签证及移民的雅思考试-纸笔、用于英国签证及移民的雅思考试(学术类)-机考、雅思生活技能类考试。在报名前,请仔细阅读以下说明以完成报名流程。
报名前的准备
电脑要求:您的电脑需联网,装有网络浏览器(建议使用IE高版本或火狐浏览器)及简体中文输入系统,推荐显示分辨率为1024X768。
付费须知:您可以使用支付宝或首信易支付来支付考试费、转考费及考后服务费。如果您取消报名,您所支付的考试费在扣除退考费后将自动退回到您的NEEA账户中。
所需个人资料:网上报名所需的个人基本资料有:
中文姓名
姓名拼音/英文姓名
有效身份证件类别
有效身份证件号码
身份证件有效期
身份证件签发机关
出生日期
手机号码
电子邮箱地址
请您务必确保网上报名时提交的个人信息与身份证件上的信息完全一致。如果报名时提交的个人信息与考试当天身份证件个人信息不相符,您将被取消考试资格和考试成绩,并不得转考、退考或退费。请务必在提交网上报名信息之前仔细核对,由于输入错误或虚假信息而引发的一切后果将由您本人承担。
考试政策:在报名之前,请详细阅读教育部考试中心雅思报名网站首页以下考试政策文件:
报名程序
要进行考试报名,您必须按顺序完成下列步骤:
注册成为教育部考试中心雅思报名网站用户
预存考试费
选择考位
填写报名表并确认付费
只有在完成这四个步骤之后,您的报名才正式生效。
第一步:注册成为教育部考试中心雅思报名网站用户
如果您从未使用过教育部考试中心雅思报名网站,您必须先注册成为网站用户。在注册之前,您将看到网上报名协议,您必须点击“同意”按钮接受并遵守这些条款,否则,系统将不允许您进行注册。在提供个人基本信息、证件信息、联系信息并设置密码后,您将得到教育部考试中心报名系统分配给您的一个NEEA用户号(NEEA user ID)。
重要提示:
每位考生只可以注册一个NEEA用户号(NEEA user ID)
您必须牢记自己的NEEA用户号(NEEA user ID)和密码,我们建议您将这些资料存放在一个安...
07-15
出国留学网小编为大家带来2017雅思考试时间安排表及报名时间表,欢迎各位参考!更多相关内容请继续关注本站!
2017雅思考试时间安排表及报名时间表
英国文化教育协会正式公布2017年第二至第四季度(4月至12月)的雅思考试日期,并从2016年11月1日起接受报名。截至目前,雅思考试在全国39个城市共设有74个考场,考生可登录中国教育部考试中心雅思报名网站http://ielts.etest.net.cn或http://ielts.etest.edu.cn查询具体考试安排,并进行在线报名。
出国留学网整理了官方发布的考试时间,便于大家能够及时的了解考试动态,希望能够帮助到大家。
要报名参加雅思考试的朋友看这里,下面是出国留学网雅思考试栏目精心为广大考生朋友整理的“2017年全国雅思考试时间安排表”,考生们可以根据自己的时间安排来选择报名时间!
*考生可于成绩单寄送日的中午12:00之后上网查询成绩。
*考生可于口试预定开始日的凌晨00:00之后上网预定口试区间。
06-05
出国留学网为您提供2013年雅思考试时间汇总表,希望对即将参加雅思考试的筒靴们有帮助,同时,小编提醒各位考生,要提早做准备。
|
Test date |
Module |
Registration deadline |
Checking interview time |
TRF sent out* |
|
05/01/2013 ... |
2013年4月雅思考试时间安排表
|
考试日期
|
类别
|
报名截止日期
|
口试时间查询
|
成绩单寄送日期*
|
|
05/01/2013
|
A+G
|
16/12/2012
|
31/12/2013
|
18/01/2013
|
|
10/01/2013
|
A
|
24/12/2012
|
... |
2013年4月上海雅思考试将要开始了,教育部考试中心安排 上海地区举行3次雅思考试,第一次考试时间在4月6日,请考生合理安排好时间,准备迎接考试,祝考生取得好成绩!!
2013年4月上海雅思考试时间具体安排如下:
| 省份:上海 | ||||||
| 考试日期 | 状态 | 考试类别 | 报名及转考、退考 截止日期 |
|||
|---|---|---|---|---|---|---|
| 2013/04/06 | ||||||
| 华东师范大学 | 名额已报满 | A/G | 截止: 2013/03/20 | |||
| 上海财经大学(武川路校区) | 名额已报满 | A/G | 截止: 2013/03/20 | |||
12-01
从2012年11月1日起,雅思考生将可以开始报考2013年的雅思考试。此次考试日期的安排和出台,继续秉承一切服务于考生的原则,在全年安排有48个考试日期,在分布于全国33个城市的42个考点进行。除周六考试之外,为了满足不同考生的需求,每个月还特别安排了一次周四考试。
有关具体日期和场次安排以雅思官方网站为准,新东方网雅思频道会第一时间跟进,为大家整理出最新的雅思考试及报名时间表,敬请期待!
| 日期 | 考试类型 | 城市 |
| 5/1/2013 | A+G | 北京、长春、哈尔滨、呼和浩特、兰州、青岛、沈阳、石家庄、太原、乌鲁木齐、西安、上海、杭州、合肥、苏州、广州、深圳、长沙、厦门、南宁、海口、南昌、成都、重庆、昆明 |
| 10/1/2013 | A | 石家庄、西安、杭州、深圳、长沙、成都 |
| 1/12/2013 | A+G | 北京、大连、哈尔滨、青岛、沈阳、石家庄、天津、太原、武汉、西安、郑州、上海、南京、杭州、合肥、苏州、广州、深圳、长沙、厦门、南宁、海口、南昌、成都、重庆昆明 |
| 1/19/2013 | A | 北京、长春、大连、哈尔滨、济南、青岛、沈阳、天津、太原、武汉、西安、郑州、上海、南京、杭州、合肥、苏州、广州、深圳、福州、长沙、厦门、南宁、海口、南昌、成都、重庆 |
| 2/2/2013 | A+G | 北京、长春、大连、济南、兰州、青岛、沈阳、石家庄、太原、武汉、郑州、上海、南京、合肥、苏州、广州、深圳、福州、长沙、厦门、南宁、南昌、成都、、重庆、昆明 |
| 14/02/2013 | A+G | 石家庄 |
08-10
8:00-8:20 到达考点,根据雅思确认信上的报考号在考场入口处查询教室 8:20-8:30 进入考场 8:30 禁止进入考场
8:30-9:00 考官用中式英语宣读雅思考场规则和考试相关内容
9:00-9:30 听力部分
9:30-9:40 雅思听力誊写答题纸时间
9:40-9:45 收听力试卷,发阅读试卷。(听力答题纸不收,因为背面为阅读答题 纸,正反两面共一页,可在听力涂写完答案后迅速把阅读部分相关个人信息涂写完毕,为阅读腾出更多的时间答题)
9:45-10:45 阅读部分(无额外誊写答题纸时间,童鞋们一定注意时间分配)
10:45-10:50 收阅读试卷和听力阅读答题纸,发写作试卷
10:50-11:50 写作部分(task one +task two)(PLS:考场上会有5分钟左右的差异,考官会根据实际时间为大家准确计时,并把相关每个阶段的时间写在黑板上,务必别忘带护照照片,雅思确认信,身份证)
口语:周六下午或者周日某个半天,按照确认信上规定时间提前15到30分钟到 达口试考场,等待身份确认,等待考试。
雅思考试报名费用:RMB1550元
06-21
北京2012雅思考试时间表
六月
6月9日(A/G),6月14日(A),6月16日(A),6月30日(A/G)
七月
7月7日(A),7月12日(A/G),7月21日(A/G),7月28日(A)
八月
8月4日(A/G),8月11日(A),8月25日(A/G)
九月
9月1日(A/G),9月6日(A),9月15日(A),9月22日(A/G)
十月
10月11日(A),10月13日(A/G),10月20日(A),10月27日(A/G)
十一月
11月3日(A),11月8日(A/G),11月17日(A/G),11月24日(A)
十二月
12月1日(A/G),12月6日(A),12月8日(A/G),12月15日(A)
雅思考试时间安排表推荐访问