出国留学网专题频道上海·理科类高考真题栏目,提供与上海·理科类高考真题相关的所有资讯,希望我们所做的能让您感到满意!
03-19
留学86网高考频道为您免费提供《2004上海·理科类高考数学真题和参考答案》资料,希望对您今年的高考复习有所帮助!
【正确答案】
【正确答案】
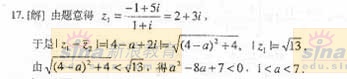
【正确答案】
【正确答案】
【正确答案】
【正确答案】
【正确答案】
【正确答案】
...
03-17
上海·理科类高考真题推荐访问