出国留学网专题频道中级统计师《统计工作实务》栏目,提供与中级统计师《统计工作实务》相关的所有资讯,希望我们所做的能让您感到满意!
03-10
《统计工作实务》考点繁多,以下部分考点是由出国留学网为众多考生精选的,希望大家用得顺手,考试过关。
统计分析及其作用
1. 统计分析
统计分析是指根据统计研究的目的,运用各种统计指标和统计分析方法,对经过加工整理的统计资料进行分析研究,认识客观现象的状态,揭示客观现象的本质及其规律性,预测客观现象前景的活动。 统计工作过程一般包括统计设计、统计调查、统计整理和统计分析四个阶段。
2. 统计分析的特点
(1) 以统计数据为依据,利用统计数据说话
(2) 定量分析定性分析相结合
定量分析是指采用统计方法,分析研究事物的数量表现、数量关系及决定事物本质的数量界限。 定性分析是指对客观事物进行逻辑推理式的分析研究,以寻求事物的本质与规律。
在统计分析中,把这两种分析有机地结合,用定量证明定性,用定性指导定量,使得对事物的分析既有理论依据,又有量化实证,提高了分析结合的理论性、科学性与可操作性。
【07年单选题】
定量分析应当与定性分析相结合,两者关系中( )
A.定量分析是最重要的
B.定性分析是最重要的
C.定量分析是基础
D.定性分析是基础
【答案】D 【08年单选题】
统计分析强调定量分析与定性分析相结合是基于( )
A.质是量的基础,一定的量是质存在的必要条件
B.量是质的基础,一定的量是质存在的必要条件
C.质是量的基础,一定的质是量存在的必要条件
D.量是质的基础,一定的质是量存在的必要条件
【答案】A
(3) 统计分析方法具有特殊性
统计分析方法是以总体现象的数量关系为对象的一类特殊科学研究方法的总称。从应用的角度来看,统计分析方法可分为经验方法和数学方法两大类。
经验方法:是指一些与初等数学知识和人们的实践经验相关联和方法。比如对比分析法、分组分析法、综合指标分析法等。
统计分析方法 数学方法:又称为数理统计方法,是以数学理论,特别是概率论为基础对客观现象进行研究的方法。对现象貌似偶然的变动来探求其必然的规律性。
(4) 统计分析的对象具有综合性
(5) 统计分析的范围具有广泛性
统计分析与经济分析、会计分析、企业经营状况分析以及其他各种分析研究活动有着密切的联系,它们之间往往存在着一种相互包含的关系。经济分析、会计分析等反映的是分析对象所属的领域,但只要运用了统计方法,就可以称其为统计分析。
3. 统计分析的作用
(1) 有助于认识社会经济的运行状况
(2) 有助于揭露社会经济运行中存在的问题
(3) 有助于探寻社会经济运行的规律
...03-10
中级考试分两部分:《统计基础理论及相关知识》和 《统计工作实务》,出国留学网为您详细介绍《统计工作实务》之统计法规相关知识。
《统计工作实务》之统计法规:
第一章 统计法基础知识
一、统计法的基本含义:
1.统计法是调整统计部门在管理统计工作、进行统计活动过程中与其他相关方面发生的社会关系的行为规范的总称。
2.统计法有广义和狭义之分。狭义的统计法仅指《中华人民共和国统计法》,广义的统计法则包含了所有规范统计活动的统计法律、法规、规章及规范性文件。
二、统计法的特点:
1.调整对象具有特殊性和复杂性:统计法调整对象的特殊性是与其他部门法相比而言的,这也是统计法之所以区别于其他部门法的根本所在。统计法是以统计部门在管理统计工作、进行统计活动的过程中形成以社会关系为其调整对象。统计法调整对象的复杂性是指统计法所调整的社会关系既有纵向的管理关系,也有横向的指导关系;既有统计机构内部的管理关系,也有统计到社会生活的各个领域,从而使统计活动中产生的社会关系也十分复杂。
2.规范的内容具有专业性。统计法的专业性是指统计法律制度中包含着大量关于统计工作的技术性规范,如统计调查制度、统计标准等,这些规范是统计法律制度的重要组成部分。
三、统计法的作用:
1.有效地、科学地组织统计工作,推进统计工作的现代化进程
目前,我国的统计分类目录、指标涵义、计算方法、统计表式、统计编码等,还存在一些不科学、不统一、不规范的问题。根据《统计法》第十七条规定,国家制定统一的统计标准,保障统计调查采用的指标涵义、计算方法、分类目录、调查表式和统计编码等的标准化;国家统计标准由国家统计局制定,或者由国家统计局和国务院标准化主管部门共同制定;国务院有关部门可以制定补充性的部门统计标准,报国家统计局审批。部门统计标准不得与国家统计标准相抵触。
国家有计划地加强统计信息化建设,推进统计信息搜集、处理、传输、共享、存储技术和统计数据库体系的现代化。《统计法》第三十一条明确规定,国家实行统计专业技术职务资格考试、评聘制度,提高统计人员的专业素质,保障统计队伍的稳定性;统计人员应当具备与其从事的统计工作相适应的专业知识和业务能力,同时要求,县级以上人民政府统计机构和有关部门,应当加强对统计人员的专业培训和职业道德教育。
2.保障统计资料的真实性、准确性、完整性和及时性。
统计数据的真实、准确、完整和及时是整个统计工作的灵魂。完善保障统计数据质量的法律制度,是此次《统计法》修订的重中之重。
地方各级人民政府、政府统计机构和有关部门以及各单位的人不得自行修改统计机构和统计人员依法搜集、整理的统计资料,不得以任何方式要求统计机构、统计人员及其他机构、人员伪造、篡改统计资料,不得对依法履行职责或者拒绝、抵制统计违法行为的统计人员打击报复;统计人员不得伪造、篡改统计资料,不得以任何方式要求任何单位和个人提供不真实的统计资料,不得有其他违反本法规定的行为。
统计调查对象应当按照国家有关规定建立健全统计资料的审核、签署制度,统计资料的审核、签署人员应当对其审核、签署的统计资料的真实性和完整性负责;
统计人员应当坚持实事求是,恪守职...
01-10
文本“中级统计师《统计工作实务》2017考点:样本量的确定”由出国留学网统计师栏目整理,希望对考生有所帮助。
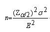
样本量的确定
设E代表允许的估计误差(即误差范围),可以推导出所需的样本量计算公式如下:

n= 从公式可以看出,样本量与置信水平成正比关系,在其他条件不变的情况下,置信水平越高,所需的样本量也就越大。样本量与总体方差成正比,总体的差异越大,所要求的样本量也就越大。样本量与允许的估计误差的平方成反比,即允许的估计误差的平方越大,所需的样本量就越小。简言之,要求一个置信程度很高又误差很小的估计,就需要更大的样本量。
估计总体比例时的样本量的确定:

统计师栏目为你推荐:
12-22
大家做好准备迎接考试了吗?出国留学网统计师栏目诚意整理“中级统计师《统计工作实务》2017检测题与答案”,欢迎广大考生前来学习。
多项选择题
1. 所有者权益包括:( )。
A.投资者对企业的资本投入
B.企业利润
C.盈余公积
D.未分配利润
E.资本公积
2. 在计算综合指数时,同度量因素时期的选择:( )。
A.应根据指数的经济内容来决定
B.在计算数量指标综合指数时,应将同度量因素固定在基期
C.在计算质量指标综合指数时,应将同度量因素固定在报告期
D.在实际应用中,可将不变价格作为同度量因素
E.应根据基期或报告期资料是否全面来决定
3. 当时间数列中的指标数值存在负数时,不宜采用水平法计算平均发展速度,因为计算结果:( )。
A.可能为负数
B.必然为负数
C.可能为虚数
D.等于零
E.必然为正数
4. 统计整理的内容包括:( )。
A.对原始资料进行审核与检查
B.对各项指标进行分组综合汇总
C.编制统计表与分析表
D.对统计资料进行系统积累
E.与上期资料进行对比,分析发展变化情况
5. 已知各时期环比发展速度和时期数,就可计算:( )。
A.平均发展速度
B.平均发展水平
C.定基发展速度
D.逐期增长量
E.累计增长量
6. 下列属于抽样调查特点的有:( )。
A.按照随机原则抽取样本
B.根据样本的资料推断总体
C.费用低
D.时效性强
E.存在抽样误差
7. 总体的基本特征有:( )。
A.同质性
B.大量性
C.差异性
D.相对性
E.绝对性
8. 在对工业和建筑业企业划分规模时所依据的指标有:( )。
A.从业人员数
B.资金利税率
C.销售额
D.资产负债率
E.资产总额
9. 指出下表表示的分配数列属于什么类型:( )。
1. ACDE 2. ABCD 3. AC 4. ABCD 5. AC
6. ABCDE 7. ABC 8. ACE 9. BD
1.流动资产包括()
A 现金和存款 B长期投资 C 应收及预付款 D存货 E递延税项
【答案】ACD
2.下列人员属于工业企业按工作岗位分组类别的有( )
A 工人 B工程技术人员 C管理人员 D学徒 E服务人员
...12-05
统计师考试就要开始咯,赶快复习起来吧,出国留学网竭尽全力为各位同学准备了“中级统计师《统计工作实务》2017测试题与答案”,希望对各位考生有帮助。
1.不在生产统计范围内的生产是()。
A、家务劳动者 B、自用性货物生产
C、教育 D、农产品
【答案】A
2.被面粉厂消耗掉的小麦是()
A、消费品 B、投资品
C、最终产品 D、中间产品
【答案】D
3.农业总产出通常采用()统计。
A、工厂法 B、产品法
C、支出法 D、投入法
【答案】B
4.某煤矿某年采掘了价值600万元的煤炭,全部出售给炼焦厂;炼焦厂使用该煤炭做原材料,炼成价值1700万元的焦炭,将其出售给钢铁厂;钢铁厂使用该焦炭做原料,生产出价值为3500万元的钢材,三个企业的总产出为()万元。
A、5800 B、5200 C、2300 D、1200
【答案】A
5.某钢铁厂购进1500万元的焦炭,炼出价值3000万元的钢材,其中消耗水电等100万元,则该钢铁厂的增加值为()万元。
A、1500 B、1600 C、1400 D、3100
【答案】C
6.能够反映生产单位对国民经济所做的净贡献的指标是()。
A、总产出 B、中间投入 C、增加值 D、总支出
【答案】C
7.国内生产总值在价值的构成上,是指一定时期内一国范围内所有常住单位的()总和。
A、增加值 B、总产出 C、中间消耗 D、劳动力报酬
【答案】A
8.国内生产总值在实物构成上,是一时期一国内各生产单位所生产的()的价值总和。
A、中间产品 B、货物 C、服务 D、最终产品
【答案】D
9.不计入居民消费的支出是()。
A、购房与建房 B、交通通讯
C、饮食 D、卫生保健
【答案】A
10.下列活动属于生产活动的有()
A、农民种粮 B、钢铁厂炼钢
C、运输公司运输货物
D、消费者购物 E、领取薪金
【答案】ABC
1.某造纸厂2004年产量比2003年增长了13.6%,总成本增长了12.9% ,则该厂2004年产品单位成本( )。
A减少6.2% B 增加12.9%
C 减少5.15% D增加1.75%
【答案】C
2.平均发展速度是( )。
A定基发展速度的算术平均数 B环比发展速度的算术平均数
C环比发展速度的几何平均数 D增长速度加上100%
【答案】C
3.若某商品销售量增加,销售额持平,则物价指数( )
A降低 B增长 C不变 D趋势无法确定
【答案...
10-10
本文“中级统计师《统计工作实务》每日一练”由出国留学网统计师栏目为您整理,更多理财规划师相关内容请关注本网站!
1.流动资产包括()
A现金和存款
B长期投资
C应收及预付款
D存货
E递延税项
【答案】ACD
2.下列人员属于工业企业按工作岗位分组类别的有()
A工人
B工程技术人员
C管理人员
D学徒
E服务人员
【答案】ABCDE
3.固定资产投资活动的范围包括固定资产的()
A大修理B全部更新C改建D扩建E新建
【答案】BCDE
4.由投入转换为产出的过程是()。
A.消费
B.生产
C.教育
D.分配
【答案】B
5.不在生产统计范围内的生产是()。
A.家务劳动者
B.自用性货物生产
C.教育
D.农产品
【答案】A
6.被面粉厂消耗掉的小麦是()
A.消费品
B.投资品
C.最终产品
D.中间产品
【答案】D
7.农业总产出通常采用()统计。
A.工厂法
B.产品法
C.支出法
D.投入法
【答案】B
8.某煤矿某年采掘了价值600万元的煤炭,全部出售给炼焦厂;炼焦厂使用该煤炭做原材料,炼成价值1700万元的焦炭,将其出售给钢铁厂;钢铁厂使用该焦炭做原料,生产出价值为3500万元的钢材,三个企业的总产出为()万元。
A.5800
B.5200
C.2300
D.1200
【答案】A
9.某钢铁厂购进1500万元的焦炭,炼出价值3000万元的钢材,其中消耗水电等100万元,则该钢铁厂的增加值为()万元。
A.1500
B.1600
C.1400
D.3100
【答案】C
10.能够反映生产单位对国民经济所做的净贡献的指标是()。
A.总产出
B.中间投入
C.增加值
D.总支出
【答案】C
...中级统计师《统计工作实务》推荐访问