出国留学网专题频道中考数学试卷答案栏目,提供与中考数学试卷答案相关的所有资讯,希望我们所做的能让您感到满意!
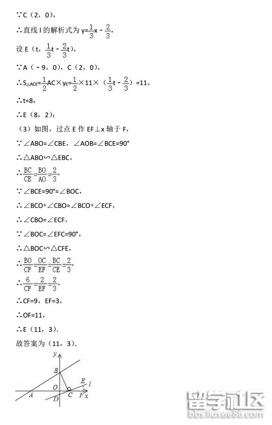
10-12
10-12
10-12
中考的重要性不必说,考生应该都很明白,考后小编为您整理了《2018年江苏泰州中考数学真题答案》,详情请关注本网站中考栏目。
2018年江苏泰州中考数学真题答案
1、B2、D3、B4、C5、A6、B7、2






10-12
本网站中考栏目在这里为您带来了《2018年江苏泰州中考数学试题答案》,希望能对广大考生有所帮助。祝大家取得优异的成绩!
2018年江苏泰州中考数学试题答案
1、B2、D3、B4、C5、A6、B7、2






10-12
中考结束时,本网站中考栏目为您带来了《2018年江苏泰州中考数学试卷答案》,希望能帮到您。祝您取得优异的成绩!更多多精彩尽在本网,敬请继续关注!
2018年江苏泰州中考数学试卷答案
1、B2、D3、B4、C5、A6、B7、2






10-12
不管结果怎样,经历过,总会有结果的!中考的朋友们,为你们祝福!欢迎阅读由本网站编辑为您带来的《2018年山东菏泽中考数学试题答案》,更多中考资讯请关注本站。




推荐阅读:
...10-11
10-11
中考数学试卷答案推荐访问