出国留学网全国高考数学

出国留学网专题频道全国高考数学栏目,提供与全国高考数学相关的所有资讯,希望我们所做的能让您感到满意!

2023全国高考数学考试大纲及重点内容

 

  2023全国高考数学马上就要在2023年6月7-9日举行,数学作为主科,在考试中极易被拉分,为帮助各位更清楚了解最新高考数学考点,小编整理了最新的考试大纲和重点内容,祝各位或各位的孩子们都有一个好的成绩!

2023全国高考数学考试大纲

  一、定义与适用范围

  1、题目:本题以已知定理和证明定律为基础,主要考察考生在某一实际过程中遇到或已经

  发生、实际能够发生的各种几何现象及其变化。

  2、要求考生对同一概念或公式有一个比较全面的了解,可以帮助考生更好地做出正确的理

  解和解决问题,同时提高解题的效率和正确率。

  例题及参考答案

  (1)各题的前一部分为原题,后一部分是新的题目,故选科前应先复习该题,找出问题所

  在。

  (2)试题的侧重点由所设问题展开。

  (3)选择题必须采用选择题,而要分出多项式,其中多项式有多项式,另选一项。

  (4)选择题中,所有选项必须符合以下条件之一,即:除已知外,任何选项必须与原题完全

  一致;排除项必须符合下列条件以外,所有选项都要与原是题完全相同

  三、考查内容

  (1)考题:学生从基础知识上掌握一些基本的数学知识,并运用所学的知识解决实际问题。

  (2)阅读课文时,可结合课本、课文内容,进行答题。

  (3)阅读说明:命题人可以根据题意及要求选择一个比较复杂的问句。

  四、考点:因题缘起而变化的,不适用于此题。

  五、卷面:通过阅卷老师布置的卷面材料,结合题意。

  六、答卷:考生如实填写试卷,注意把握分值比例。

  七、答卷:"答"、"答"的题目都是关键点,所以请仔细研读卖。

  八、改错:正误部分,根据题意改错。

  九、回答:做错的题目,需要重新做一遍,不要重做,这样会影响到答题的积极性。

  十、答题技巧:审题、审题和填空,一定要做对。

  特别说明:对于一般难题,还要把答案写清楚、分析、归纳、解答、问号填错。

  2023全国高考数学考试大纲重点内容

  1.集合

  (一)集合的含义与表示

  1了解集合的含义、元素与集合的属于关系。

  2能用自然语言、图形语言、集合语言(列举法或描述法)描述不同的具体问题

  (二)集合间的根本关系

  1理解集合之间包含与相等的含义,能识别给定集合的子集。

  2在具体情境中,了解全集与空集的含义。

  (三)集合的根本运算

  1理解两个集合的并集与交集的含义,会求两个简单集合的并集与交集

  2理解在给定集合中一个子集的补集的含义,会求给定子集的补集。

  3能使用韦恩(Venn)图表达集合的关系及运算。

  2.函数概念与根本初等函数

  (一)函数

  1了解构成函数的要素,会求一些简单函数的定义域和值域:了解央射的概念。

  2在实际情境中,会根据不同的需要选择恰当的方法(如图像法、列表法、解析法)表示函数

  3了解简单的分段函数,并...

2016年全国高考数学大纲解析:和2015年对比没有变化

 

  出国留学网高考网为大家提供2016年全国高考数学大纲解析:和2015年对比没有变化,更多高考资讯请关注我们网站的更新!

  2016年全国高考数学大纲解析:和2015年对比没有变化

  考纲解读

  2016年全国新课标数学学科大纲和2015年对比没有变化。

  复习建议

  1。研考纲—找准方向用力。考试大纲对考试性质,考试内容,考试形式,都作出了明确的规定。2。研课本—立足基础强化。回归课本,回归基础,是高考复习的 起点。从高考的要求出发,把课本熟化,概念能脱口而出,公式定理能信手拈来,基本方法能左右逢源。基本题型能借题发挥,从而以扎实的基础为基点,向更深、 更活的目标前进。3。解题思维—要“优化”。高考是在限定的时间内完成限定的内容,解题思路要优化选择,解题方法要简捷途径,解题过程要最佳方案,解题失 误要最小化,尤其是选择填空题的解答要防止“小题大做”、“一算到底”,这就要在平时的练习过程中注意通过一题多解找最优解,使解题思维具有灵活性,流畅性,深刻性。

  小编精心为您推荐:


2016新课标高考大纲汇总
1 2016新课标高考数学大纲(文科)

全国高考数学理科真题和参考答案及答案

 

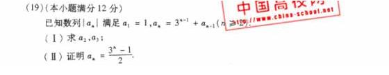
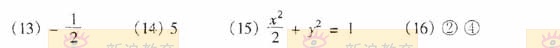
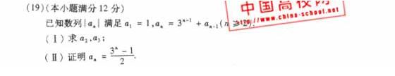
  出国留学网高考频道全程关注高考多年,全方位为您提供丰富的高考复习资料,高考真题及答案,高考志愿填报经验等最新信息。以下《全国高考数学理科真题和参考答案及答案》由liuxue86.com高考频道为您倾心提供,祝您考试复习愉快!

20140319023442515.jpg 【正确答案】
20140319023442540.jpg 20140319023442784.jpg 【正确答案】
20140319023442393.jpg 20140319023442856.jpg 【正确答案】
20140319023442589.jpg 20140319023442355.jpg 【正确答案】
20140319023442469.jpg 20140319023442506.jpg 【正确答案】
20140319023442560.jpg 20140319023442259.jpg 【正确答案】
20140319023443923.jpg 20140319023443433.jpg 【正确答案】
20140319023443623.jpg 20140319023443533.jpg 【正确答案】
20140319023443370.jpg...

全国·Ⅱ高考数学文科真题和参考答案

 

  出国留学网高考频道全程关注高考多年,全方位为您提供丰富的高考复习资料,高考真题及答案,高考志愿填报经验等最新信息。以下《全国·Ⅱ高考数学文科真题和参考答案》由liuxue86.com高考频道为您倾心提供,祝您考试复习愉快!

20140319021901270.jpg 【正确答案】
20140319021901548.jpg 20140319021901429.jpg 【正确答案】
20140319021901766.jpg 20140319021901850.jpg 【正确答案】
20140319021901620.jpg 20140319021901519.jpg 【正确答案】
20140319021902285.jpg 20140319021902495.jpg 【正确答案】
20140319021902563.jpg 20140319021902518.jpg 【正确答案】
20140319021902711.jpg 20140319021902727.jpg 【正确答案】
20140319021902391.jpg 20140319021902705.jpg 【正确答案】
20140319021902532.jpg...

全国·Ⅱ高考数学理科真题和参考答案

 

  回顾以往试题资料把握好高考命题思路及做题方法,是今年高考生需要关注的事情。liuxue86网高考频道为您搜集了最新最全的全国·Ⅱ高考数学理科真题和参考答案,助力您打好今年高考这场战斗,取得最后的顺利!

20140319021820780.jpg 【正确答案】
20140319021820906.jpg 20140319021821821.jpg 【正确答案】
20140319021821853.jpg 20140319021821359.jpg 【正确答案】
20140319021821499.jpg 20140319021821670.jpg 【正确答案】
20140319021821214.jpg 20140319021821261.jpg 【正确答案】
20140319021821448.jpg 20140319021821643.jpg 【正确答案】
20140319021821805.jpg 20140319021821617.jpg 【正确答案】
20140319021821273.jpg 20140319021822307.jpg 【正确答案】
20140319021822601.jpg...