出国留学网专题频道初一数学试题栏目,提供与初一数学试题相关的所有资讯,希望我们所做的能让您感到满意!
10-21
出国留学中考网为大家提供2015北师大附中初一数学期中试卷(上册),更多中考资讯请关注我们网站的更新!
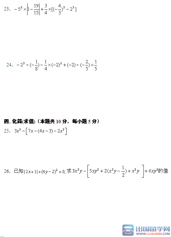
2015北师大附中初一数学期中试卷(上册)
小编精心为您推荐:
2016年北京中考数学压轴题及答案
2015中考数学压轴题技巧:题目中寻找多解
中考数学压轴题解题技巧
与初一数学试题相关的中考数学
初一数学试题推荐访问
搜索更多内容
初一数学试题相关推荐
编辑推荐
热点推荐