出国留学网专题频道吉林高考数学栏目,提供与吉林高考数学相关的所有资讯,希望我们所做的能让您感到满意!
06-08
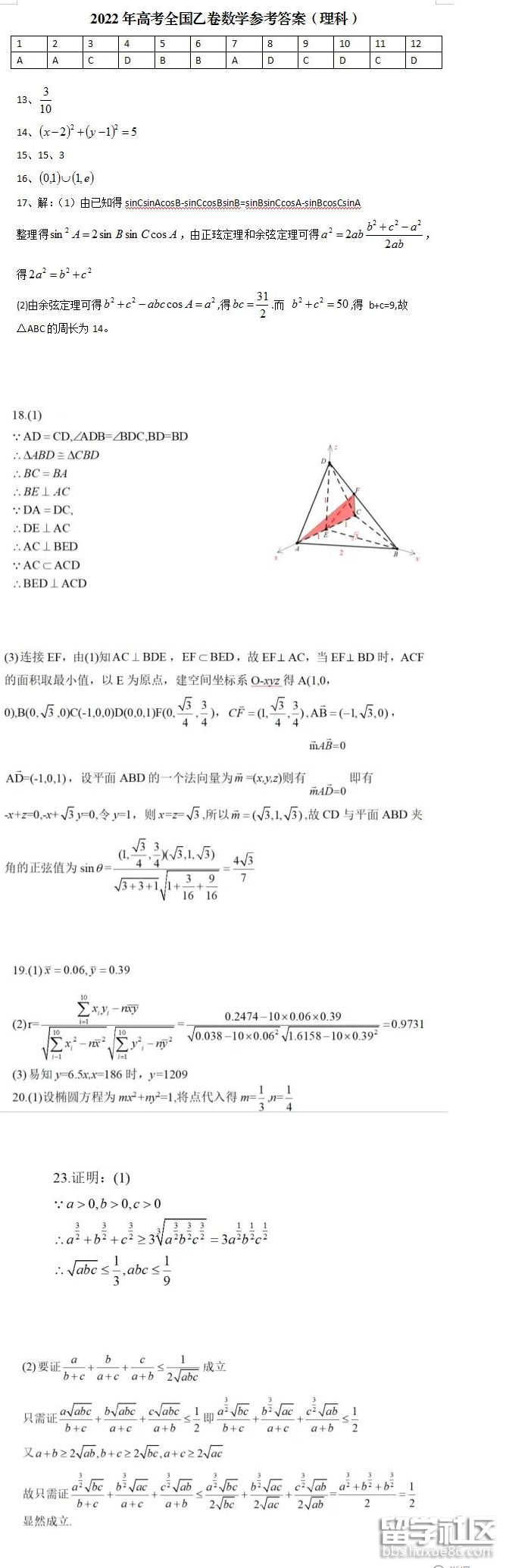
吉林考区2022年高考数学考试已经结束了,让我们一起来了解一下今年全国乙卷的数学试题吧!下面是由出国留学网编辑为大家整理的“2022吉林高考数学理科试卷”,仅供参考,欢迎大家阅读本文。






推荐阅读:
高考中没有失败,它带给每个人的深刻思考刻骨铭心的经历和感受都是不可多得的财富。我们为理想而奋进的过程,出国留学网高考频道第一时间整理出吉林高考数学真题及答案汇总(2015-2018),希望对你有帮助。
| 吉林高考数学真题及答案汇总(2015-2018) | |
| 1 | 2018各省市高考数学真题及答案汇总 |
| 2 | 吉林高考文科数学2017真题及答案解析(官方版) |
| 3 | |
这是一场没有硝烟的战争,900万人同时竞争,每一个人都是对手。这也是一场无关乎他人的战争,只要战胜自己,你就取得了胜利。2017高考在即,出国留学网高考频道小编紧密关注吉林高考数学真题及答案2017 。考后即时在频道首页更新信息,请大家紧密关注。若您未找到需要的信息,请按ctrl F5进行刷新。更多吉林高考分数线、吉林高考成绩查询、吉林高考志愿填报、吉林高考录取查询信息等信息请关注我们网站的更新!
| 2017年吉林高考数学真题及答案发布入口 |
温馨提示:2017年高考真题及答案将在考后公布!尽请期待!
以下出国留学网吉林高考真题及答案频道为大家提供的2017年吉林高考真题及答案:
| 2017年吉林高考真题及答案 | ||
| 地区 | 真题 | |
眉毛上的汗水和眉毛下的泪水你必须选择一样!三年的勤奋苦读在高考这个战场上不一定全面能体现出来,付出和努力的过程将成为每个经历高考的人之后人生和工作中难忘的一段经历。高考结束,,出国留学网小编在2017吉林高考结束后,将以最快的速度把2017年吉林高考数学真题及答案公布并展示在本页面,方便广大考生和家长查询了解,理性分析成败。更多吉林高考分数线、吉林高考成绩查询、吉林高考志愿填报、吉林高考录取查询信息等信息请关注我们网站的更新!
| 2017年吉林高考数学真题及答案发布入口 |
温馨提示:2017年高考真题及答案将在考后公布!尽请期待!
以下出国留学网吉林高考真题及答案频道为大家提供的2017年吉林高考真题及答案:
| 2017年吉林高考真题及答案 | ||
| 地区 | 真题 | |
2017年高考即将到来,这是知识改变命运的时刻,成功或失败在此一举。出国留学网高考频道会及时为广大考生提供2017吉林高考数学真题及答案 ,一旦高考真题及答案发布,将在此表页的头条显示。如果没有及时显示,请按ctrl F5进行刷新。更多吉林高考分数线、吉林高考成绩查询、吉林高考志愿填报、吉林高考录取查询信息等信息请关注我们网站的更新!
| 2017年吉林高考数学真题及答案发布入口 |
温馨提示:2017年高考真题及答案将在考后公布!尽请期待!
以下出国留学网吉林高考真题及答案频道为大家提供的2017年吉林高考真题及答案:
| 2017年吉林高考真题及答案 | ||
| 地区 | 真题 | |
更多吉林高考分数线、吉林高考成绩查询、吉林高考志愿填报、吉林高考录取查询信息等信息请关注我们网站的更新!
| 吉林高考数学答案2016发布入口 |
温馨提示:2016年高考真题及答案将在考后公布!尽请期待!
以下出国留学网吉林高考真题及答案频道为大家提供的2016年吉林高考真题及答案:
| 2016年吉林高考真题及答案 | ||
| 地区 | 真题 | 答案 |
| 吉林 | ||
六月高考,你的心情如何呢?是期待、紧张、兴奋还是百感交集?出国留学网高考频道第一时间为您提供2016年吉林高考数学答案,让全国各位考生更了解高考动向,了解自己在考场中的得与失。更多吉林高考分数线、吉林高考成绩查询、吉林高考志愿填报、吉林高考录取查询信息等信息请关注我们网站的更新!
| 2016年吉林高考数学答案发布入口 |
温馨提示:2016年高考真题及答案将在考后公布!尽请期待!
以下出国留学网吉林高考真题及答案频道为大家提供的2016年吉林高考真题及答案:
| 2016年吉林高考真题及答案 | ||
| 地区 | 真题 | 答案 |
2016年高考的锣鼓敲响了,所有考生都拼命答题,希望以优异的成绩来报答所以关心他们的家人和朋友。2016年吉林高考真题会在考后第一时间发布,出国留学网高考频道小编紧密关注2016吉林高考数学答案 ,发布后你将及时在此页面看到,请广大考生及家长随时注意本页面内容,高考真题及答案将出现在此表页的头条,你可以按crtl F5进行刷新,以便最快速度看到你想看的内容。小编建议您收藏本网站(ctrl D收藏即可),方便了解真题和答案。更多吉林高考分数线、吉林高考成绩查询、吉林高考志愿填报、吉林高考录取查询信息等信息请关注我们网站的更新!
| 2016吉林高考数学答案发布入口 |
温馨提示:2016年高考真题及答案将在考后公布!尽请期待!
以下出国留学网吉林高考真题及答案频道为大家提供的2016年吉林高考真题及答案:
| 2016年吉林高考真题及答案 | ||
| 地区 | <... | |
2016年高考,你是不是很期待答案的公布呢?出国留学网高考频道第一时间为您提供吉林高考数学真题2016,让全国各位考生随时了解高考动向,分析考试内容。更多吉林高考分数线、吉林高考成绩查询、吉林高考志愿填报、吉林高考录取查询信息等信息请关注我们网站的更新!
| 点击进入2016年吉林高考数学真题发布入口 |
温馨提示:2016年高考真题及答案将在考后公布!尽请期待!
以下出国留学网吉林高考真题及答案频道为大家提供的2016年吉林高考真题及答案:
| 2016年吉林高考真题及答案 | ||
| 地区 | 真题 | 答案 |
出国留学网高考频道承诺:我们会在考后为大家首发2016年吉林高考数学真题,以解决各位考生的困惑。还在等什么?赶快和小编一起来看看答案吧。更多吉林高考分数线、吉林高考成绩查询、吉林高考志愿填报、吉林高考录取查询信息等信息请关注我们网站的更新!
| 点击进入2016年吉林高考数学真题发布入口 |
温馨提示:2016年高考真题及答案将在考后公布!尽请期待!
以下出国留学网吉林高考真题及答案频道为大家提供的2016年吉林高考真题及答案:
| 2016年吉林高考真题及答案 | ||
| 地区 | 真题 | 答案 |
吉林高考数学推荐访问