出国留学网专题频道岩土工程师考试辅导资料栏目,提供与岩土工程师考试辅导资料相关的所有资讯,希望我们所做的能让您感到满意!
07-08
出国留学网为大家提供“2017年岩土工程师《高等数学》辅导资料:元函数的积分”供广大考生参考,更多资讯请关注我们网站的更新!
2017年岩土工程师《高等数学》辅导资料:元函数的积分
元函数的积分
一、理论要求
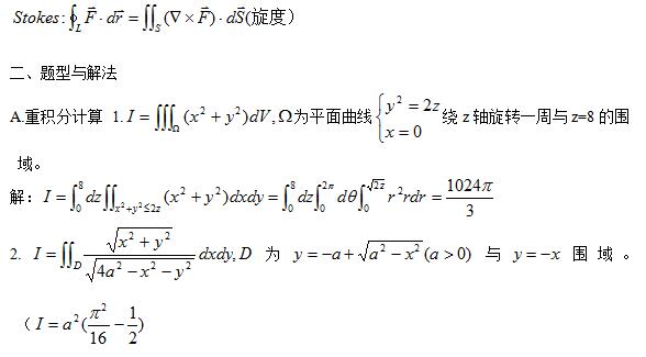
1.重积分 熟悉二、三重积分的计算方法(直角、极、柱、球)




07-08
出国留学网为大家提供“2017年岩土工程师《高等数学》辅导资料:向量代数”供广大考生参考,更多资讯请关注我们网站的更新!
2017年岩土工程师《高等数学》辅导资料:向量代数
向量代数、多元函数微分与空间解析几何
一、理论要求
1.向量代数 理解向量的概念(单位向量、方向余弦、模)
了解两个向量平行、垂直的条件
向量计算的几何意义与坐标表示
2.多元函数微分 理解二元函数的几何意义、连续、极限概念,闭域性质
理解偏导数、全微分概念
能熟练求偏导数、全微分
熟练掌握复合函数与隐函数求导法
3.多元微分应用 理解多元函数极值的求法,会用Lagrange乘数法求极值
4.空间解析几何 掌握曲线的切线与法平面、曲面的切平面与法线的求法
会求平面、直线方程与点线距离、点面距离
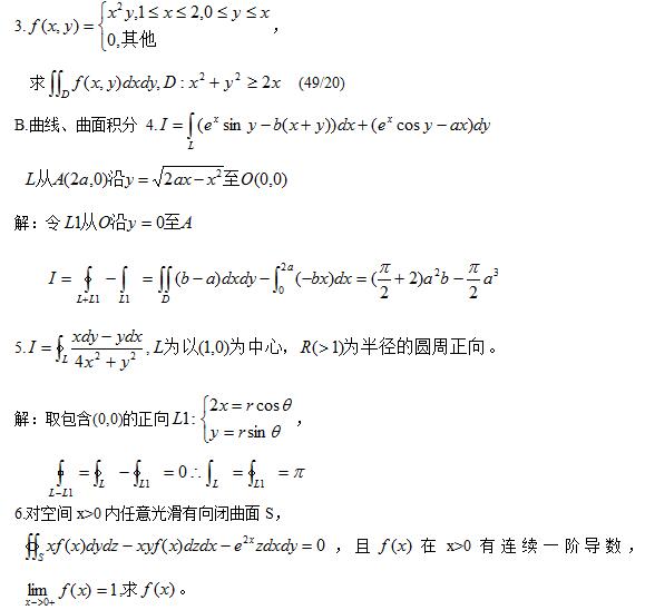
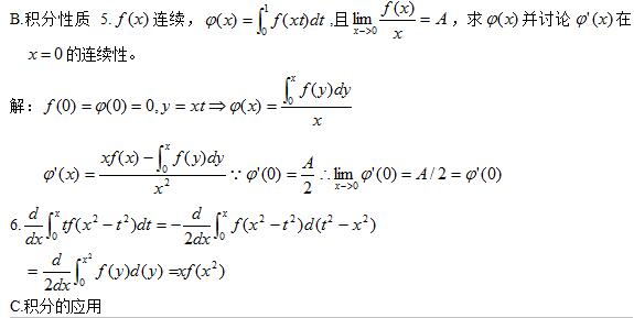
二、题型与解法

07-08
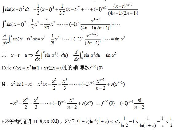
出国留学网为大家提供“2017年岩土工程师《高等数学》辅导资料:不定积分与定积分”供广大考生参考,更多资讯请关注我们网站的更新!
2017年岩土工程师《高等数学》辅导资料:不定积分与定积分
一、理论要求
1.不定积分 掌握不定积分的概念、性质(线性、与微分的关系)
会求不定积分(基本公式、线性、凑微分、换元技巧、分部)
2.定积分 理解定积分的概念与性质
理解变上限定积分是其上限的函数及其导数求法
会求定积分、广义积分
会用定积分求几何问题(长、面、体)
会用定积分求物理问题(功、引力、压力)及函数平均值
二、题型与解法


07-08
出国留学网为大家提供“2017年岩土工程师《高等数学》辅导资料:导数、微分及其应用”供广大考生参考,更多资讯请关注我们网站的更新!
2017年岩土工程师《高等数学》辅导资料:导数、微分及其应用
导数、微分及其应用
一、理论要求
1.导数与微分 导数与微分的概念、几何意义、物理意义
会求导(基本公式、四则、复合、高阶、隐、反、参数方程求导)
会求平面曲线的切线与法线方程
2.微分中值定理 理解Roll、Lagrange、Cauchy、Taylor定理
会用定理证明相关问题
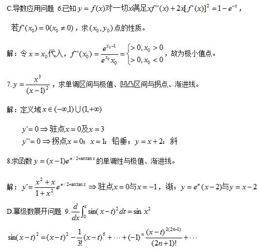
3.应用 会用导数求单调性与极最值、凹凸性、渐进线问题,能画简图
会计算曲率(半径)
二、题型与解法





07-08
出国留学网为大家提供“2017年岩土工程师《高等数学》辅导资料:函数、连续与极限”供广大考生参考,更多资讯请关注我们网站的更新!
2017年岩土工程师《高等数学》辅导资料:函数、连续与极限
函数、连续与极限
理论要求
1.函数概念与性质 | 函数的基本性质(单调、有界、奇偶、周期) 几类常见函数(复合、分段、反、隐、初等函数) |
岩土工程师考试辅导资料推荐访问