出国留学网专题频道布莱克栏目,提供与布莱克相关的所有资讯,希望我们所做的能让您感到满意! 布莱克,儿童网页游戏《赛尔号》中第25个单人挑战的BOSS级别精灵,战神联盟第四位成员,光明圣坛守护者,魔灵王的侄子。魔灵一族,具有双重人格,体内蕴含了深不可测的能量,肩负着守护格雷斯星的重任,有着过人的勇气和智慧。和卡修斯关系非常好,经常互相帮助对方其超进化体为夜魔之神布莱克,黑暗版为诺伊尔,萌版为布小克,机甲版暗夜机甲,圣甲版为圣甲永夜。
出国留学网注册会计师考试频道为您整理“财务成本管理考点:布莱克-斯科尔斯期权定价模型”,欢迎阅读!
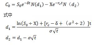
财务成本管理考点:布莱克-斯科尔斯期权定价模型
1.假设
(1)在期权寿命期内,买方期权标的股票不发放股利,也不做其他分配;
(2)股票或期权的买卖没有交易成本;
(3)短期的无风险利率是已知的,并且在期权寿命期内保持不变;
(4)任何证券购买者能以短期的无风险利率借得任何数量的资金;
(5)允许卖空,卖空者将立即得到所卖空股票当天价格的资金;
(6)看涨期权只能在到期日执行;
(7)所有证券交易都是连续发生的,股票价格随机游走。
2.公式

3.参数估计
(1)无风险利率
①期限要求:无风险利率应选择与期权到期日相同的国库券利率。如果没有相同时间的,应选择时间最接近的国库券利率。
②这里所说的国库券利率是指其市场利率(根据市场价格计算的到期收益率),而不是票面利率。
③模型中的无风险利率是按连续复利计算的利率,而不是常见的年复利。
连续复利假定利息是连续支付的,利息支付的频率比每秒1次还要频繁。
4、看涨期权—看跌期权平价定理
对于欧式期权,假定看涨期权和看跌期权有相同的执行价格和到期日,则下述等式成立:
看涨期权价格C-看跌期权价格P=标的资产的价格S-执行价格的现值PV(X)
这种关系,被称为看涨期权-看跌期权平价定理(关系),利用该等式中的4个数据中的3个,就可以求出另外1个。
5、派发股利的期权定价
考虑派发股利的期权定价公式如下:

在期权股价时要从股价中扣除期权到期日前所派发的全部股利的现值。
6、美式期权估价
(1)美式期权在到期前的任意时间都可以执行,除享有欧式期权的全部权力之外,还有提前执行的优势。因此,美式期权的价值应当至少等于相应欧式期权的价值,在某种情况下比欧式期权的价值更大。
(2)对于不派发股利的美式看涨期权,可以直接使用布莱克-斯科尔斯模型进行估价。
(3)理论上不适合派发股利的美式看跌期权估价。
但是BS模型有参考价值,误差不大。
考点练习:多选题
利用布莱克...
07-08
《财务管理成本》第十一章股利理论考点
迎战2016注册会计师考试,赢在起点。出国留学网考试专栏给你提供合理有效的注册会计师会计科目备考考试试题及考点攻略。
【考频分析】:
考频:★★★★
1.假设
2.公式
3.参数估计
4、看涨期权—看跌期权平价定理
5、派发股利的期权定价
6、美式期权估价
【高频考点】:布莱克-斯科尔斯期权定价模型
1.假设
(1)在期权寿命期内,买方期权标的股票不发放股利,也不做其他分配;
(2)股票或期权的买卖没有交易成本;
(3)短期的无风险利率是已知的,并且在期权寿命期内保持不变;
(4)任何证券购买者能以短期的无风险利率借得任何数量的资金;
(5)允许卖空,卖空者将立即得到所卖空股票当天价格的资金;
(6)看涨期权只能在到期日执行;
(7)所有证券交易都是连续发生的,股票价格随机游走。
2.公式
3.参数估计
(1)无风险利率
①期限要求:无风险利率应选择与期权到期日相同的国库券利率。如果没有相同时间的,应选择时间最接近的国库券利率。
②这里所说的国库券利率是指其市场利率(根据市场价格计算的到期收益率),而不是票面利率。
③模型中的无风险利率是按连续复利计算的利率,而不是常见的年复利。
连续复利假定利息是连续支付的,利息支付的频率比每秒1次还要频繁。
4、看涨期权—看跌期权平价定理
对于欧式期权,假定看涨期权和看跌期权有相同的执行价格和到期日,则下述等式成立:
看涨期权价格C-看跌期权价格P=标的资产的价格S-执行价格的现值PV(X)
这种关系,被称为看涨期权-看跌期权平价定理(关系),利用该等式中的4个数据中的3个,就可以求出另外1个。
5、派发股利的期权定价
考虑派发股利的期权定价公式如下:
在期权股价时要从股价中扣除期权到期日前所派发的全部股利的现值。
6、美式期权估价
(1)美式期权在到期前的任意时间都可以执行,除享有欧式期权的全部权力之外,还有提前执行的优势。因此,美式期权的价值应当至少等于相应欧式期权的价值,在某种情况下比欧式期权的价值更大。
(2)对于不派发股利的美式看涨期权,可以直接使用布莱克-斯科尔斯模型进行估价。
(3)理论上不适合派发股利的美式看跌期权估价。
但是BS模型有参考价值,误差不大。
...06-07
巴布莱克学校位于美丽的英格兰中心地带考文垂市,距离伯明翰非常近(英国第二大城市),距离伦敦也只有一个小时的车程。巴布莱克学校是英国最古老的学校之一,成立于1344年,并于1890年搬迁至目前的校址。 由于距离华威大学、考文垂大学、利明顿温泉及莎士比亚故居非常之近,学校被周围的教育、文化、历史氛围所深深影响。
与世界名校伊顿公学、哈罗公学同属于英国精英校长峰会(HMC) 成员, 巴布莱克学校不仅仅在学术上始终交付满意的答卷,也在体育、音乐、戏剧、艺术、辩论、爱丁堡公爵奖励计划、以及丰富多彩的社会团体和慈善募捐等诼外活动上都有出色的表现并且深受赞誉。近年来,学校在橄榄球、曲棍球、篮球的全国决赛中都曾经派出代表队参加,在当地的板球和田径比赛中更是常胜将军。
学校为社会输送了成千上万的栋梁人才, 其中不乏很多社会名流,包括英国BBC著名主持人、奘运会马术冠军。学校对国际学生挑选较严格, 但令学校骄傲的是,自从接收国际学生以来, 99%的学生根据预估成绩分数第一志愿全部报考了牛津、剑桥以及英国排名前五名的大学。
学校概况
建校时间:1364
地理位置:英格兰考文垂市内
学校类型:甴奙混校,走读制
代表颜色:栗色和金色
开设诼程:A-level
招生年龄:16岁(如何申请英国留学?)
入学时间:九月
学生住宿:寄宿家庭
学生数量:773,A-level 200余人
学术成绩:2014年A-Level 成绩A*-A比率高达52%,A*-B比率80%,有13名学生获得了全部科目A*或A的成绩,6名学生获得了全部A*。
课程设置
A-level:英语、数学、生物、化学、物理、艺术设计、生物、商业研究、化学、古典文化、设计学、戏剧研究、经济学、英语文学、地理、地质学、历史、信息通信技术、拉丁语、数学、高数、现代语言、法语、德语、音乐、物理、心理学、宗教研究(申请英国中学需要注意哪些?)
学校设施
室内游泳池,攀岩练习墙,健身房,舞蹈工作室,网球场,投球场,40英亩的运动场(橄榄球场,草皮球场),语言实验室,剧场,大型音乐排练室,独立的音乐练习室,艺术工作室,制陶工作室,摄影暗室,整套的信息通讯设施
...2013年08月07日 《描写曼宁生活剧作获布莱克文学奖》一文由留学网(wWw.Liuxue86.cOm)报道。
哈里·弗雷尔在剧中扮演布拉德利·曼宁
一部有关美国士兵布拉德利·曼宁(Bradley Manning)的剧作获得詹姆斯·泰特·布莱克文学奖(James Tait Black Prize),并且成为这个文学奖设立剧作类别奖之后首次获奖的作品。
詹姆斯·泰特·布莱克文学奖于1919年在英国苏格兰爱丁堡大学设立,此前包括小说和传记两个类别的奖项,作为第三个类别的剧作奖今年首次颁发,奖金1万英镑。
据报道,评审过程涉及180部剧作,由蒂姆·普莱斯(Tim Price)创作的走向极端主义的布拉德利·曼宁最后胜出。
美国士兵曼宁因为向维基解密网站泄露美国政府机密文件而在2010年5月遭到逮捕,受审前被关押达3年之久。
塔斯克尔·米尔沃德中学
美国军事法院在上个星期认定曼宁的间谍罪名成立,他目前面临终身监禁的处罚。
走向极端主义的布拉德利·曼宁这部剧作最初于2012年4月在英国威尔士哈弗福维斯特的塔斯克尔·米尔沃德中学(Tasker Milward School)被搬上舞台,后来在威尔士的各个学校演出。
普莱斯创作的剧本描写了曾在塔斯克尔·米尔沃德中学就读的布拉德利·曼宁的成长经历,直至他在美国遭到逮捕。
詹姆斯·泰特·布莱克文学奖的评委们认为,这部作品主题鲜明,具有现代特征,发声独特,结构富有创意。
詹姆斯·泰特·布莱克文学奖剧作奖的评审委员会由苏格兰爱丁堡大学的学生、教师以及苏格兰国家剧院的代表组成。
(编译:跃生 责编:铃兰)
03-25
作文标题: 神秘的数学谷(十二)——成功解救布莱克
关键词: 解救 布莱克 小学六年级
本文适合: 小学六年级
作文来源: https://zW.liuxue86.com
本作文(600字)是关于小学六年级的作文(600字),题目为:《神秘的数学谷(十二)——成功解救布莱克》,欢迎大家踊跃投稿。
神秘的数学谷(十二)
——成功解救布莱克
“哇,太好了!是一个天平,我们可以称出哪一瓶是真药了!”比特高兴地一蹦三尺高。
“别高兴太早。”妹妹极其冷漠地说。“别忘了,我们要用最少的次数称出真药。”
“那我们就一起来算吧!”丽丽用鼓励的眼神看着比特和美美。
“好!”比特和美美一边答应,一边用树枝在地上算了起来。黑屋里安静了大约五分钟。
“啊!我算出来了,是三次!现在,我们就赶快去把真药称出来吧!”比特第一个说出了计算结果,这让美美刮目相看。
“不,比特,别去成,你算错了,应该是两次。”丽丽抬起了头,伸手抓住了正要去那天平的比特。
“你有把握能称出来吗?”比特焦急地问。
“嗯,一定可以称出来的,看我的!”丽丽冲美美和比特笑了笑,拿起了天平,走到了那9瓶药的前面。
只见丽丽先把9瓶药平均分成了3份,每份有3瓶。丽丽拿起了其中的两份,各放在了天平的两端。“嗞——
”天平的右端沉了下去。“真药就在这3瓶里。”比特兴奋地指着天平右端的那3瓶药。丽丽从容不迫地把天平上的药都拿了下来,又从天平右端的3瓶药中随便拿了2瓶。她先把剩下的一瓶放在一旁,又把那2瓶分别放在了天平的两端,两端平了。
“完了,真药没了!”比特急得都要哭出来了。
“我说比特,你动点儿脑子好不好?两端平了,说明旁边的那瓶就是真药。”丽丽使劲地跺了跺脚,说道。
“太好了!”比特一把抓住了那瓶真药,把它紧紧地抱在了怀里。“我们赶紧去解救我的主人吧!”
比特率先跑出了小黑屋,美美和丽丽紧随其后。他们累得气喘吁吁,却一直坚持往前跑着。不一会儿,石屋便映入了眼帘。他们冲进了石屋,布莱克被毒药毒得更厉害了,他全身上下呈墨绿色,嘴唇已经变成了紫色,看起来好可怕。
比特也顾不上休息了,一下子冲到了布莱克旁边,扒开了他的嘴,把药瓶打开,晃了几下,就全都灌入了布莱克的嘴里。“叭、叭、叭!”...
05-24
日前,“格莱美奖”得主、流行歌手贾斯汀•汀布莱克在《GQ》杂志评选出的“全美十大型男”中拔得头筹,他称自己的衣着品味得益于身为银行家的继父。
这本男士杂志大赞28岁的贾斯汀对时尚的影响力,敢于冒险的精神及其引领流行趋势的能力,如他的帽子、三件套西装、窄版领带及蓄胡须等。
对于贾斯汀来说,这一殊荣来的很是时候。他与好友特雷西•阿亚拉于2006年10月创办的时装品牌WilliamRast正在本周的纽约时装周上进行第二轮展示。
贾斯汀在《GQ》三月号中称,他的时尚品味受到继父保罗•哈利斯的影响。身为银行家的保罗•哈利斯每晚都要选好第二天早上要穿的衣服,然后“穿得像电影《美国舞男》中的理查•基尔一样”去上班。
对于自己西装搭配运动鞋的标志性风格,贾斯汀称这更多考虑的是实用性而不仅仅是美观。
贾斯汀说:“之所以穿运动鞋,是因为我穿别的鞋没法跳舞。穿着时装鞋再垫上鞋垫我没法跑跳自如,那样会受伤的。”贾斯汀在担任“超级男孩”乐队的主唱时一举成名,并于2002年单飞。
其他上榜的“型男”包括音乐制作人马克•朗森和摄影师亚历克斯•路波米斯基,他们分列排行榜第二和三位。
此外,说唱歌手坎耶•维斯特和T.I(克利夫•哈里斯)、演员詹森•舒瓦兹曼和酒店业大亨安德鲁•巴拉兹也跻身该榜。
...
布莱克推荐访问