出国留学网专题频道录取分数排行榜栏目,提供与录取分数排行榜相关的所有资讯,希望我们所做的能让您感到满意!
出国留学网高考网为大家提供上海2016高考录取分数排行榜:文理科前100名,更多高考资讯请关注我们网站的更新!
上海2016高考录取分数排行榜:文理科前100名
2016年上海高考本科批次录取已经结束,与2015年比较,今年首次将本科一、二批次合并为本科批次。从投档分数线来看,分数线越高的高校排名波动越小。像文理科前5名高校依然没有变化,文科分别是清华大学、北京大学、复旦大学、上海交通大学、中国人民大学;理科分别是北京大学、清华大学、上海交通大学、复旦大学、中国人民大学。可见,在新的录取规则下,强校的地位依旧稳固。
以下是根据市教育考试院公布的投档分数线(清华北大为最低录取分数线)梳理出的文理科前100名高校名单。
| 名次 | 校名 | 理科分数线 |
| 1 | 北京大学 | 541 |
| 2 | 清华大学 | 537 |
| 3 | 上海交通大学 | 526 |
| 4 | 复旦大学 | 519 |
| 5 | 中国人民大学 | 507 |
| 6 | 浙江大学 | 505 |
| 7 | 中国科学技术大学 | 503 |
| 8 | 同济大学 | 500 |
| 9<... |
07-06
出国留学网高考录取频道讯:2015中国大学理科录取分数排行榜(前100名)
日前,华东师范大学社会调查中心推出了《中国大学录取分数排行榜》(2015版)。以下是中国大学理科录取分数2005-2014十年总排名。
前100名
| 理科排名 | 高等学校 | 类别 | 所在地 | 理科指数 |
| 1 | 清华大学 | 综合 | 北京 | 0.994737 |
| 2 | 北京大学 | 综合 | 北京 | 0.969267 |
| 3 | 复旦大学 | 综合 | 上海 |
07-06
出国留学网高考录取频道讯:2015中国大学录取分数排行榜(文科版)
2015中国大学录取分数排行榜(文科版)
高考志愿填报到底选哪所学校比较好?很多高考高分考生和家长最后往往会根据大学的录取分数高低来决定自己选择哪所高校。那么,哪些大学的录取分数更高?日前,华东师范大学社会调查中心推出了《中国大学录取分数排行榜》(2015版)。以下是中国大学文科录取分数2005-2014十年总排名。
中国大学录取分数排行榜(2015文科版)
| 文科排名 | 高等学校 | 类别 | 所在地 | 文科指数 |
| 1 | 北京大学 | 综合 | 北京 | 0.965921 |
| 2 | 清华大学 | 综合 | 北京 | 0.955324 |
| 3 |
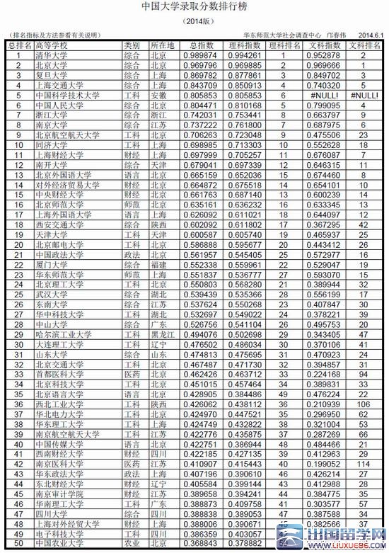
中国大学录取分数排行榜
华东师范大学社会调查中心最近发布了《中国大学录取分数排行榜(2014年版)》,清华大学、北京大学、复旦大学蝉联排行榜前三。其中,云南省高校仅云南大学上榜,总排名位居全国第129位,其中理科排名136位,文科排名104位。
本次排名是基于2005~2013年中国各高校在全国30个省、直辖市与自治区第一批录取的文理科平均分和文理科录取的人数计算再汇总的。由于国内独立招生录取的地区比较多,考试科目和计分方法不尽相同,参加录取的高校在不同地区不同的年份也不尽相同,因此原始分数的可比性差。
该榜单分总指数、理科指数与文科指数三个指标。文理科指数分别是以多个文理科招生单元为单位,计算出来的值的加权平均数。而总指数,是文科指数与理科指数的加权平均数。值得一提的是,大学录取分数的高低与学校所在地也高度关联,像地处直辖市与沿海地区的院校就更受追捧。其中,北京、上海、天津、江苏与广东分列前5位。
课题组提醒,目前国内大学评价体系指标主观性很大,争议也很多,这个排行榜可以是考生和家长关于“录取行情”的客观参考,但并不反映各所学校综合实力的强弱。
中国大学录取分数排行榜(2014版前200):




出国留学网高考频道为您整理史上高考复习资料大全!让您的高考成绩稳步上升!
录取分数排行榜推荐访问