出国留学网专题频道普通高考招生上海卷理科数学真题和参考答案栏目,提供与普通高考招生上海卷理科数学真题和参考答案相关的所有资讯,希望我们所做的能让您感到满意!
03-19
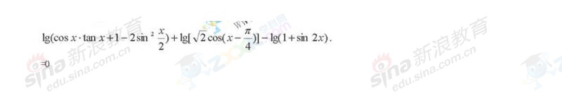
为今年高考生丰富提供的备考复习资料,liuxue86.com高考网特意从网上搜集整理了关于2010普通高考招生上海卷理科数学真题和参考答案,希望对您今年高考有所帮助!更多资讯请收藏本站(ctrl+D即可收藏)!
【正确答案】
【正确答案】
【正确答案】
【正确答案】
【正确答案】
【正确答案】
【正确答案】
【正确答案】
【正确答案】
...
普通高考招生上海卷理科数学真题和参考答案推荐访问