出国留学网普通高考招生数学

出国留学网专题频道普通高考招生数学栏目,提供与普通高考招生数学相关的所有资讯,希望我们所做的能让您感到满意!

2011江西普通高考招生数学理真题和参考答案

 

  查看历年的高考真题对于今年高考生来说是比较好的方式,能较好的把握住今年高考命题的思路和方向,也能检验一下自己对于知识的掌握程度。出国留学网高考频道特为您提供了关于2011江西普通高考招生数学理真题和参考答案,希望祝您打好今年高考战!加油,同学们!

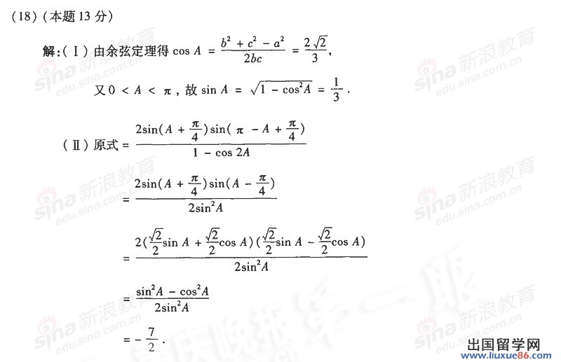
20140319063432967.jpg 【正确答案】
20140319063433265.jpg 20140319063433152.jpg 【正确答案】
20140319063433883.jpg 20140319063434629.jpg 【正确答案】
20140319063434324.jpg 20140319063434994.jpg 【正确答案】
20140319063435123.jpg 20140319063435132.jpg 【正确答案】
20140319063435669.jpg 20140319063436463.jpg 【正确答案】
20140319063436619.jpg 20140319063436750.jpg 【正确答案】
20140319063437259.jpg 20140319063437612.jpg 【正确答案】
20140319063437498.jpg 20140319063437219.jpg 【正确答案】
20140319063438907.jpg[...

2010辽宁普通高考招生数学理真题和参考答案

 

  查看历年的高考真题对于今年高考生来说是比较好的方式,能较好的把握住今年高考命题的思路和方向,也能检验一下自己对于知识的掌握程度。出国留学网高考频道特为您提供了关于2010辽宁普通高考招生数学理真题和参考答案,希望祝您打好今年高考战!加油,同学们!

20140319061103915.jpg 【正确答案】
20140319061104561.jpg 20140319061104866.jpg 【正确答案】
20140319061105632.jpg 20140319061105104.jpg 【正确答案】
20140319061105724.jpg 20140319061105249.jpg 【正确答案】
20140319061106139.jpg 20140319061106534.jpg 【正确答案】
20140319061107597.jpg 20140319061107772.jpg 【正确答案】
20140319061107874.jpg 20140319061108537.jpg 【正确答案】
20140319061108245.jpg 20140319061108465.jpg 【正确答案】
20140319061109985.jpg 20140319061109863.jpg 【正确答案】
20140319061109244.jpg[...

2010湖北普通高考招生数学文真题和参考答案

 

  为今年高考生丰富提供的备考复习资料,liuxue86.com高考网特意从网上搜集整理了关于2010湖北普通高考招生数学文真题和参考答案,希望对您今年高考有所帮助!更多资讯请收藏本站(ctrl+D即可收藏)!

20140319060813320.jpg 【正确答案】
20140319060813358.jpg 20140319060813332.jpg 【正确答案】
20140319060814862.jpg 20140319060814530.jpg 【正确答案】
20140319060814173.jpg 20140319060814775.jpg 【正确答案】
20140319060814700.jpg 20140319060815892.jpg 【正确答案】
20140319060815915.jpg 20140319060815327.jpg 【正确答案】
20140319060815574.jpg 20140319060816603.jpg 【正确答案】
20140319060816931.jpg 20140319060816737.jpg 【正确答案】
20140319060816315.jpg...