出国留学网专题频道牛吃草问题栏目,提供与牛吃草问题相关的所有资讯,希望我们所做的能让您感到满意!
在考场上人与人拉开差距的除了平常的知识点的积累,还有面对考试题型能够有一个更好的解答思路,下面由出国留学网小编为你精心准备了“行测数量关系技巧:套用公式就可以攻克的牛吃草问题”,持续关注本站将可以持续获取更多的考试资讯!
行测数量关系技巧:套用公式就可以攻克的牛吃草问题
在公务员行测考试中,数量关系这一板块比较难,也比较耗时间。所以我们尽量把比较难理解的问题模式化,方便大家的掌握和快速拿分。现在带大家一起来看看牛吃草问题吧
一、牛吃草问题模型
牛吃草问题基本题型描述是:一个牧场长满青草,青草每天均匀生长。若放养27头牛,6天把草吃尽;若放养23头牛,9天把草吃尽。若放养21头牛,几天能把草吃尽?
我们会发现,在牛吃草问题中有一个标志性的描述:
1.排比句——放养27头牛,6天把草吃尽;若放养23头牛,9天把草吃尽。若放养21头牛,几天能把草吃尽
2.有原始量——一个牧场长满青草
3.两种事物作用于原始量——牛吃草,消耗原始量;草生长,增多原始量
二、牛吃草问题的解题方法
我们一起来分析一下牛吃草问题。牧场上原有的草量是一定的,草每天生长,牛每天来吃。要想把草吃完那么必须满足牛吃草的速度>草长的速度(如下图),我们很容易发现,其实牛吃草问题就是行程问题中的追及问题。

根据追及公式:路程差=速度差×追及时间。所以对应到牛吃草问题来说就是:原始草量=(牛吃草速度-草生长速度)×吃的天数,我们通过特值和比例的思想去求解,设1头牛1天吃草量为“1”,草的生长速度为X份,21头牛需要T天,代入得:原始草量=(27-X)6=(23-X)9=(21-X)T,根据方程解出t即可。
归纳牛吃草解题公式:(牛1-X)T1=(牛2-X)T2=(牛3-X)T3
三、例题精讲
例:某招聘会在入场前若干分钟就开始排队,每分钟来的求职人数一样多,从开始入场到等候入场的队伍消失,同时开 4 个入口需 30 分钟,同时开 5 个入口需 20 分钟。如果同时打开6 个入口,需多少分钟?
A.8 B.10 C.12 D.15
【答案】D。
【解析】这道题中出现了明显的排比句,同时开 4 个入口需 30 分钟,同时开 5 个入口需 20 分钟。如果同时打开6 个入口,需多少分钟?故判断此题为牛吃草问题。根据公式入口相当于牛,检票时间相当于吃草时间。(4-x)×30=(5-x)×20=(6-x)×t,解得 x=2,t=15,即如果同时打开 6 个入口,从开始入场到队伍消失时,需要 15 分钟。
推荐阅读:
公务员行测考试主要是考量大家的数学推理能力和逻辑分析能力,下面由出国留学网小编为你精心准备了“行测数量关系技巧:经典牛吃草问题,一学就会”,持续关注本站将可以持续获取更多的考试资讯!
行测数量关系技巧:经典牛吃草问题,一学就会
牛吃草问题又称为消长问题或牛顿问题,草在不断生长且生长速度固定不变,牛在不断吃草且每头牛每天吃的草量相同,供不同数量的牛吃,需要用不同的时间,给出牛的数量,求时间。小编带大家把牛吃草问题转化为相遇或追及模型来考虑。
首先来看两道最经典的牛吃草问题的题目。
【例1】牧场上一片青草,每天牧草都匀速生长。这片牧草可供10头牛吃20天,或者供15头牛吃10天。问:可供25头牛吃几天?
【解析】我们假设草从左往右生长,牛也从左往右开始吃。草每天生长会让草的总量增长,牛每天吃草会让草的总量减少,但牛吃草的速度大于草生长的速度,则牛一定就能“追上”草把草吃完。所以我们把这道题目就转换成了行程问题中的追及问题。这类牛吃草问题我们通常有一个公式是:
原有草量=(牛每天吃掉的草-每天生长的草)×天数
每头牛每天吃的草量都是一样的,通常我们可以设为特值“1”,那么25头牛每天吃的草量就为25。草生长的速度也是未知数,通常设为X。这些草可以供25头牛吃的天数我们设为T。根据已知条件带入公式可以得到(10-X)×20=(15-X)×10=(25-X)×T。根据左边的等式可以求出X=5,再带入右边的等式可求出T=5,即可供25头牛吃5天。
【例2】由于天气逐渐冷起来,牧场上的草不仅不长大,反而以固定的速度在减少。已知某块草地上的草可供20头牛吃5天,或可供15头牛吃6天。照此计算,可供多少头牛吃10天?
【解析】我们假设草从右往左减少,牛还是从左往右吃,两边都会让草的总量减少,到最后一定会在草场中间某一个地方牛正好与最后一根即将减少的草“相遇”并把它吃掉。所以这道题目就转换成了行程问题中的相遇问题。这类牛吃草问题我们通常有一个公式是:
原有草量=(牛每天吃掉的草+其他原因每天减少的草量)×天数
通常假设每头牛每天吃的草量为“1”,每天减少的草量为X,可供Y头牛吃10天。根据已知条件带入公式可得(20+X)×5=(15+X)×6=(Y+X)×10。根据左边的等式可以求出X=10,带入右边的等式可得Y=5,即可供5头牛吃10天。
通过上面两个题目大家会发现牛吃草问题其实很好解决,但难就难在考题不再会直接体现“牛”和“草”让你一眼能看出这是牛吃草问题,所以如何去判断题型就很重要。但通过典型例题我们也不难总结出牛吃草问题的题型特征为:1、总量固定或者相同;2、有两个因素影响总量变化;3、有排比句出现。比如下面这道题目:
【例】某公园在开门前有400人排队等候,开门后每分钟新来的人数是固定的,一个入口每分钟进10人,如果开放4个入口,开门20分钟后没有人排队,如果现在开放6个入口,那么开门多少分钟后就没人排队?
【解析】这道题目里开门前等候的400人就相当于原有草量,被每分钟来的人和几个入口每分钟进的人这两个因素影响总量的变化,而且出现了排比句,所以是一道牛吃草问题。而且两个影响因素一涨一消,为牛吃草当中的追及问题。设每分钟来的人为X,开门T分钟...
行测数量的运算一直是行测考试的重点题型,下面由出国留学网小编为你精心准备了“行测数量关系技巧:牛吃草问题技巧”,持续关注本站将可以持续获取更多的考试资讯!
行测数量关系技巧:牛吃草问题技巧
国考中数量关系是必考的题型之一,数量关系中常考的题型有很多,考生都认为这是数学中困难的一门课,虽然存在一定的困难,但是有一些模型是可以掌握的,此篇重点讲解行程问题中牛吃草问题。牛吃草问题只要大家能够吃透题型,做起来还是比较简单的。
首先牛吃草问题又称为消涨问题,草在不断的生长且生长的速度固定不变,牛在不断吃草且每头牛每天吃的草量相同,供不同数量的牛吃,需要用不同的时间,给出牛的数量,求时间。
其次如何解决呢,简单来说就是牛吃草问题转化为相遇或追击及模型来考虑。
数量关系中牛吃草问题常见的考法有如下几个:
(1)标准牛吃草问题,同一草场上的不同牛数的几种不同吃法,其中草的总量、每头牛每天吃草量和草每天的生长数量,三个量是不变的,这种题型较为简单,直接套用牛吃草问题公式即可。
A.追及—一个量使原有草量变大,一个量使原有草量变小
原有草量=(牛每天吃掉的草-每天生长的草)×天数
例如:牧草上有一片青青的草,每天牧草有匀速生长,这片牧草可供10头牛吃20天,或者可供15头吃10天,可供25头牛吃几天?
解析:牛在吃草,草在匀速生长,所以是牛吃草问题中的追击问题,原有草量=(牛每天吃掉的草-每天生长的草)×天数,设每头牛每天吃的草量为1,每天生长的草量为X,可供25头牛吃T天,所以(10- X)20=(15-X)10=(25-X)T,先求出X=5,再求得T=5。
B.相遇—两个量都使原有草量变小
原有草量=(牛每天吃掉的草+其他原因每天减少的草量)×天数
例如:随着天气逐渐冷起来,牧草上的草不仅不长大,反而以固定的速度在减少,已知某块草地上的草可供20头牛吃5天,或可供15头牛吃6天,照此计算,可供多少头牛吃10天?
解析:牛在吃草,草在匀速减少,所以是牛吃草问题中的相遇问题,原有草量=(牛每天吃掉的草+每天生长的草)×天数,设每头牛每天吃的草量为1,每天减少的草量为X,可供Y头牛吃10天,所以(20+X)5=(15+X)6=(Y+X)10,先求出X=10,再求出Y=5。
在国考中的具体题目我们一起来看一下。
(2013年国考)河段中的沉积河沙可供80人连续开采6个月或60人连续开采10个月。如果要保证该河段河沙不被开采枯竭,问最多可供多少人进行连续不间断的开采?(假定该河段河沙沉积的速度相对稳定)
A.25
B.30
C.35
D.40
【解析】牛吃草问题。由核心公式,设原有河沙量为y,每月新增河沙量为x,故y=(80-x)×6,y=(60-x)×10;解得x=30,y=300。即可供30人不间断开采。因此选B。
推荐阅读:
很多同学看到行测数量关系就很头痛,小编为大家提供行测数量关系:有趣的“牛吃草”问题,一起来看看吧!希望大家能多多练习这类题目!
行政职业能力测试是公务员考试公共笔试中的一门,也是其中难度较大的一项。对于应试者的综合素质进行了全方面的测查,要想顺利地通过这场考试拿到一个高分需要我们未来的公务员们“文武”双全,不仅要有丰富的知识积累和逻辑思维,也需要能在有限的时间内充分地发挥出实力来。这场考试不可谓不难!
但也正是因为难,它才能拉开分差,让你顺利占据面试战场上的有利地形,秒杀其他对手。那么如何甩开竞争者呢?如何在有限的时间里尽量地多拿分呢?这就需要各位掌握好一些基本的问题的常用方法。
在行测考试中,有一类问题一直困扰着很多备考者,那就是我们的数量关系,对于这类问题题量虽然一直不算多,但是题目倒有一定难度。那么有没有方法解决难题呢?
下面小编就带大家一起来了解一类有趣的问题,那就是我们的牛吃草问题!
例1:一片草场上草每天都均匀生长,如果放24头牛,则6天吃完;如果放21头牛,则8天吃完。问如果放16头牛,几天可以吃完牧草?
这就是“牛吃草”的基本题型了,那么这个牛吃草问题该如何做呢?
第一步,我们可以设每头牛每天吃一份草,则N头牛每天吃N份草;设草每天生长x份。
第二步,若原有草量为M,则有:24头牛每天吃24份,6天吃6×24=144份,这144份包括原有草量M和草后来6天生长的6x份,即6×24-6x=M,整理下即M=(24-x)×6;同理,M=(21-x)×8,M=(16-x)×T。根据这两个式子我们就可以求出M=72,x=12,代入M=(16-x)×T,可得T=18。
从这个例题中我们可以发现,其实要求牛吃草类的问题我们只需要使用一个公式就行了:(N1-x)×T1=(N2-x)×T2=(N3-x)×T3。
但是牛吃草的问题,未必全是“牛”,全是“草”,其实很多概念会与牛与草大相径庭,只要满足有两个影响因素,且有三个时间加个数的排比就可以利用上述公式来解题!
例2:某招聘会在入场前若干分钟就开始排队,每分钟来的求职者一样多,从开始入场到等候入场的队伍消失,同时开4个入口需30分,同时开5个入口需20分,若同时开6个入口需多少分钟?
A.8 B.10 C.12 D.15
【解析】D。
(4-x)×30=(5-x)×20=(6-x)×T,解得T=15。
1. 甲乙两项相同量的工程分别由一、二队来完成,在晴天,一队完成甲工程需要12天,二队完成乙工程需要15天;在雨天,一队的工作效率要下降40%,二队的工作效率要下降20%。如果两队同时完成这两项工程,那么在施工的日子里,雨天有多少天?
A.9 B.12 C.15 D.18
2. 一次数学考试满分为100分,某班前六名同学的平均分为95分,排名第六的同学得86分,假如每个人得分是互不相同的整数,那么排名第三的同学最少得多少分?
A....
出国留学网为您整理《公务员考试行测技巧:牛吃草问题逢考必胜》,希望给您带来帮助!更多相关资讯请继续关注本网站的更新!在这里祝您考试顺利通过!
公务员考试行测技巧:牛吃草问题逢考必胜
四百多年前,英国著名的物理学家牛顿曾编过这样一道:牧场上有一片青草,每天都生长得一样快。这片青草供给10头牛吃,可以吃22天,或者供给16头牛吃,可以吃10天,期间一直有草生长。如果供给25头牛吃,可以吃多少天?这就是著名的牛顿问题,我们也称为牛吃草问题。今天牛吃草问题仍活跃在行测考试的舞台,并且也是给我们送分的好伙伴。那么这种题型如何求解呢?在此用三次元转为二次元的图形,一起认识一下牛吃草问题。
一、牛吃草模型
牛吃草的本质是消长问题,即原来有一片草AB段,在B点时来了一群牛。此后,草继续保持原来的形式向右点生长,而牛开始吃草。在C点时,牛将新长出来的草和原来的草全都吃完了。将这个模型抽象成二维空间的图如下,可以发现,跟我们学过的追及问题是非常类似的,因此类比追及问题来推导牛吃草问题的公式:

M:原来每块地有M份草。
N:有N头牛,每头牛每天吃1份草。因此牛吃草的速度为N份/天。
x:每块地每天长x份草。
t:牛吃光草的时间。
并根据追及问题推出公式:M=(N-x)t
【例1】牧场上有一片青草,每天都生长得一样快。这片青草供给10头牛吃,可以吃22天,或者供给16头牛吃,可以吃10天,期间一直有草生长。如果供给25头牛吃,可以吃多少天?
【答案解析】根据公式可得:M=(10-x)×22=(16-x)×10。解得x=5,M=110。问25头牛可吃多少天则可列方程:M=(25-x)×t,带入可得t=5.5天。
二、模型变形
1、极值型
若将问题改为,为了不让草被吃光最多可以养多少头牛,我们会发现,只要牛吃草的速度追不上草生长的速度,即草永远不会被吃光,此时最多可以养x头牛。因此在牛吃草问题中,若出现极值型的题目,一般考虑N=x的情况。
【例2】有一条河流,沙子每天都匀速堆积。如果开24条采砂船,那么6个月就可以把沙子挖光,如果开21条采砂船,8个月可以把沙子挖光。要让沙子永远挖不完,最多可以开几条采砂船?
【答案解析】根据公式可得:M=(24-x)×6=(21-x)×8。解得x=12,M=72。即沙子每个月都沉积5份,为了让沙子永远不被挖光,最多只能开5艘采砂船。
2、相遇型
当冬天天气转冷,牛每天吃草的同时草每天也在枯萎,此时牛吃的量与草枯死的量之和应该等于原有草量。因此当题干中的牛与草是同消同长时,牛吃...
出国留学网为您整理了《公务员考试行测技巧:牛吃草问题常见模型》,希望对您有所帮助!在这里祝考生们都能取得好成绩!
公务员考试行测技巧:牛吃草问题常见模型
在公务员行测考试中,牛吃草问题经常会考到,而牛吃草实质上是行程当中的相遇和追及问题。接下来带大家通过几个例题学习一下牛吃草问题常见的几种模型。
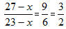
例1.一个牧场长满青草,青草每天均匀生长,若放养27头牛,6天把草吃完;若放23头牛,9天把草吃完。若放21头牛,几天把草吃完?( )
A.9 B.10 C.12 D.15
【答案】C。
【解析】题目中有一个固定值,即草场原有的草量;有两个因素在影响固定值的变化,一个是草每天均匀生长使草量增多,另一个是牛每天吃草使草量减少。这样的题目我们可以转化为追及问题来理解,如图所示,原有草量即为追及路程,草生长和牛吃草对应的是两个速度。

设草场原有草量为M;每头牛每天吃1份草;草每天新长出x份草。则根据追击问题中“路程差=速度差×追及时间”可得:原有草量=(牛吃草的速度-草生长的速度)×吃完草用的时间。假设放21头牛,t天可以吃完,根据题目中给出的数据,可得出:M=6(27-x)=9(23-x)=t(21-x)。解方程时,根据M为定值,速度差和时间成反比:
,化为最简形式后,等式左边分子分母差4,右边差1,左边分子分母为右边的4倍,可得23-x=8,则21-x=6,代入原式得9×8=t×6,t=12。
【点拨】牛吃草问题具有以下3个特征:1、题干中出现排比句;2、存在一个固定值,即草场原有的草量;3、有两个因素影响固定值的变化。在本题中,草每天均匀生长使草量增多,牛吃草使草量减少,可以转化为追及问题。根据追及问题的公式列连等式,再运用正反比直接求解即可。
例2.牧场上的草以均匀的速度减少,草地上的草可供20头牛吃5天,也可供15头牛吃6天,问可供多少头牛吃10天?( )
A.3 B.5 C.7 D.10
【答案】B。
【解析】题目中有一个固定值,即草场原有的草量;有两个因素在影响固定值的变化,一个是草每天以均匀速度减少,另一个是牛每天吃草也使草量减少。这样的问题可以转化为相遇问题来理解,原有草量为相遇时的路程和,草减少和牛吃草对应的是两个速度。

设草场原有草量为M;每头牛每天吃1份草;草每天新长出x份草。则根据追击问题中“...
09-26
出国留学网公务员考试栏目为大家整理“2017年国考行测数学运算题(牛吃草问题)答题技巧”,祝您阅读愉快!
典型牛吃草问题的条件是假设草的生长速度固定不变,不同头数的牛吃光同一片草地所需的天数各不相同,求若干头牛吃这片草地可以吃多少天。由于吃的天数不同,草又是天天在生长的,所以草的总量随牛吃的天数不断地变化。牛吃草问题存在两个不变量:草地最初的总草量和每天生长出来的草量。
牛吃草问题本身难度就很大,近期考查中又出现了多种变形,因此需要考生更加细致地去掌握这些知识。解决牛吃草问题一般会用到下列两种方法:
(一)推导法
推导法的步骤:
①假设1头牛1天吃的草量为1,根据不同头数的牛所吃草的天数不同,计算出草地每天长草的量:
②计算草地原有的草量:
③计算所求的牛吃草的天数。
(二)公式法
解决牛吃草问题常用到四个基本公式,分别是:
设定一头牛一天吃草量为“1”
1、草的生长速度=(对应的牛头数×吃的较多天数-相应的牛头数×吃的较少天数)÷(吃的较多天数-吃的较少天数);
2、原有草量=牛头数×吃的天数-草的生长速度×吃的天数;
3、吃的天数=原有草量÷(牛头数-草的生长速度);
4、牛头数=原有草量÷吃的天数+草的生长速度。
这四个公式是解决消长问题的基础。下面通过例题给大家讲解一下:
【例题1】
有一个牧场,每天都生长相同数量的草,若放50头牛,则9天吃完牧场的草:若放40头牛,则12天吃完。问若放30头牛,则多少天吃完?
A.15 B.18 C.20 D.24
【分析】
设每头牛每天吃的草量为1,则每天长的草量为(40×12-50×9)÷(12-9)=10,最初的草量为(50-10)×9=360.若放30头牛,则360÷(30-10)=18天吃完。
【例题2】
牧场有一片青草,每天生长速度相同。现在这片牧场可供16头牛吃20天,或者供80只羊吃12天,如果一头牛一天的吃草量等于4只羊一天的吃草量,那么10头牛与60只羊-起吃可以吃多少天?
A.7 B.8 C.12 D.15
【分析】
题干中存在两种动物,计算时很不方便,根据“一头牛一天吃草量等于4只羊一天的吃草量”,将所有动物转化为牛,从而将原问题转化为标准问题:“牧场有一片青草,每天生成速度相同。现在这片牧场可供16头牛吃20天,或者供20头牛吃12天,那么25头牛一起吃可以吃多少天?”
设每头牛每天的吃草量为1,则每天的长草量为(16×20-20×12)÷(20-12)=10,原有的草量为(16-10)×20=120,故可供25头牛吃120÷(25-10)=8天。
【例题3...
国考之旅将在2015年11月29日正式开启,相信大家在最后的复习关头一刻也不敢放松吧,那么你是如何复习的,是否有找来往年的真题研究研究了,如果研究了那么定能够发现“牛吃草”这个热门考点。出国留学网公务员考试频道本次就为广大考生带来“2016公务员考试行测备考:巧解“牛吃草问题”,希望能够给你带来帮助。
>>>点击进入行测每日一练试题<<<
一、什么是牛吃草问题?
英国著名的物理学家牛顿曾编过这样一道题:牧场上有一片青草,每天都生长得一样快。这片青草供给10头牛吃,可以吃22天,或者供给16头牛吃,可以吃10天,如果供给25头牛吃,可以吃多少天?
它的题干特征在于:有一草地,且它的初始值是固定的。有两个量(牛和草)在作用于这片草地。当然,此类题还有个隐含条件,即每头牛每天的吃草速度和数量必须都是相同的,否则此题应该无解。
二、转化为追击的牛吃草问题
当作用于这片草地的两个量的作用是相反的时候,这时候的牛吃草问题可以转化为追击问题。如上题表现为,牛吃草则使草量变少,草生长则使草量变多,作用相反。转化为追击的牛吃草问题就存在这样一个基本公式:
设每头牛每天吃草的速度为1
原有草量=(牛的头数 1-草生长速度) 时间
母题1:牧场上有一片青草,每天都生长得一样快。这片青草供给10头牛吃,可以吃22天,或者供给16头牛吃,可以吃10天,如果供给25头牛吃,可以吃多少天?
设原有草量为M,草生长速度为x,时间为t,根据题意我们可以列连等式:
M=(10-x) 22=(16-x) 10=(25-x) t
解得x=5,M=110,t=5.5天
例题1:某水库共有10个泄洪闸,当10个泄洪闸全部打开时,8小时可将水位由警戒线将至安全水位;只打开6个泄洪闸时,这个过程为24个小时,如水库每小时的入库量稳定,问如果打开8个泄洪闸时,需要多少小时可将水位将至安全水位?
设原有水量为M,水入库速度为x,需要的时间为t,根据题意我们可以列连等式:
M=(10-x)8=(6-x)24=(8-x)t
解得x=4,M=48,t=12天
<...
09-18
出国留学网为考生整理带来“牛吃草问题”答题技巧,希望能对广大考生有所帮助!
2016公务员考试行测备考:疑难排解之牛吃草问题
牛吃草问题是公务员考试行测中的常考题型,很多考生都怨言此问题难以把握通透,很多参加过公务员考试的同学都选择了放弃。其实这样很可惜,专家建议大家在考前将这类问题进行全面熟悉和了解,争取在考场上拿下这类题。
1、牛吃草问题的原始题型
原始题型:有一草场,N1头牛吃T1天能吃完,N2头牛吃T2天能吃完,问如果有N3头牛多少天能吃完?
这是一个标准的牛吃草问题。我们先看问题问的是什么。很明显问题问的是在一定时间内牛吃草的总量,而不难看出,其实牛吃草的总量就是牛吃草前草场上草的总量与草在这段时间内生长的量之和。为了方便,写出一个等式:牛吃草量=原始草量+草增长量。我们可以做一个变换:原始草量=牛吃草量-草增长量。而这三个量里面原始草量是不知道的,所以这里可以把它设为M,而牛吃草量等于牛每天吃的草量乘以天数,通常我们默认每头牛每天吃的草量为1,则N头牛的话,每天吃的草量就是N。题目中给了时间,所以这里面牛吃的草量也就成为了一个已知的量,而此时还剩下一个草增长的量,这里只给了时间,我们可以设每天增长的草量为V,草的增长量就可以表示为Vt,我们可以通过变换后的式子得出一个基本公式:M=Nt-Vt=(N-V)t。
通过那个原始题型我们可以列出几个等式:M=(N1-V)T1;M=(N2-V)T2;M=(N3-V)T(这里面的T表示的是我们所要求的天数)。由M相同可以列成一个连等式:
(N1-V)T1=(N2-V)T2=(N3-V)T
这个公式就是做牛吃草问题的一个基本公式。
2、牛吃草问题的背景变形
例题:某演唱会检票前若干分钟就有观众开始排队等候入场,而每分钟来的观众人数一样多。从开始检票到等候队伍消失,若同时开4个入场口需50min,若同时开6个入场口则需30min,问如果同时开7个入场口需几分钟?
这类题型跟牛吃草问题是类似的,可以把这道题假设为入场口为牛、人为草。草是增长的,而这道题中由于每分钟都有人来,所以人也是不断在增多。原始草量没变,而这道题中检票前排队的人数也是没变的,我们同样可以通过上面给出的等式列个式子:
(4-V) ×50=(6-V) ×30=(7-V)T
上式中V是人增长的速度,通过这个式子我们可以解出T=25。
总结:通过这道题和原始牛吃草问题的对比,我们可以发现,共同之处就是都有一个原始不变量(一个是草量,一个是排队人数);都有一个特殊的元素(一个是草量,一个是人数)由两个不同因素影响着数量,或是增大或是减少。若是以后碰到这样的题,我们基本可以判定它为牛吃草问题,就可以套公式进行计算了。
3、牛吃草问题的问法变形
例题:某河段中的沉积河沙可供80人连续开采6个月或60人连续开采10个月。如果保证该河段河沙不被开采枯竭,问最多可供多少人进行连续不间断开采?(假定该河段河沙沉积的速度...
国家公务员考试即将来临,公务员考试频道为大家整理出行测答题技巧供大家参考,大家虽然没必要相信秒杀的神奇,但是,掌握一些答题技巧对大家还是有帮助的!
牛吃草问题又称为消长问题或牛顿牧场,是公考[微博]中常见的一种数学运算类题型,牛吃草问题属于工程问题的一种,是17世纪英国伟大的科学家牛顿提出来的,常见于小学奥数,其解决方法并不复杂,只是不太容易理解。下面华图教育[微博]专家从一般工程问题的角度讲解下牛吃草问题的解决方法。
典型牛吃草问题的条件是假设草的生长速度固定不变,不同头数的牛吃光同一片草地所需的天数各不相同,求若干头牛吃这片草地可以吃多少天。由于吃的天数不同,草又是天天在生长的,所以草的存量随牛吃的天数不断地变化。下面就一道简单的例题说明一下此类题型的解法。
【例】牧场上有一片青草,牛每天吃草,草每天以均匀的速度生长。这片青草供给10头牛可以吃20天,供给15头牛吃,可以吃10天。供给25头牛吃,可以吃多少天?( )
A.6
B.5 C.4 D.3
解析:此类题型关键就在于每天草的增长量,如果忽略草的增长不计的话,则转化为一般工程问题,只需用工作总量=工作效率x时间即可。因此,我们就想办法把草每天的增长量给抵消掉。
在第一种情况下,即10头牛吃20天时,我们把10 头牛分为两群,假设一群为x头,一群为10-x头,我们安排这x头牛每天专门负责吃生长出来的草量,则剩下10-x头牛每天的吃草量就是牧场每天草得减少量。因此,要求牧场的草可供10头牛吃20天也就相当于计算牧场的原草量可供10-x头牛吃20天。设原草量为y,即可得:y=(10-x)*20。同理可得,y=(15-x)*10。两个方程联立即可求出x,y。
这里,x不太好理解,我们可以把他理解为每天草长量相当于x头牛的吃草量,这样即可得到牛吃草问题的解题公式:草地原有草量=(牛数-每天长草量)´天数
牛吃草问题的解题公式在公考中间的应用十分广泛,基本上所有的消长问题都可以直接套用,所谓消长问题,即有两个量在同时变动,一个增加一个减少,两个方向不同一的情况。如,牛吃草中,牛吃草使草得增长量在减少,但是,草生长却使草量增加。
下面我们看看公考中的真题:
【江苏2009】有一池泉水,泉底均匀不断的涌出泉水,如果用8台抽水机10小时能把全池的水抽干,或者用12台抽水机6小时能把全池的水抽干。如果用14台抽水机把全池水抽干则需要的时间是( )
A.5小时 B.4小时 C.3小时 D.5.5小时
解析:此题明显是消长问题,泉底和抽水机分别使池中泉水增加和减少。因此,可套牛吃草公式,此题中,抽水机就相当于牛,泉底涌水就相当于草在生长。故可得:y=(8-x)*10 y=(12-x)*6,解方程可得:x=2,y=60,则14台抽水机要抽干泉池的水要用60÷(14-2)=5小时。
消长问题是公考中比较复杂的题型,没有正确的方法做起来无从下手,而行测考试对做题时间的要求又比较高,因此,希望广大考生能熟记公式,灵活使用,在考试中取得好成绩。
推荐访问:...
牛吃草问题推荐访问