出国留学网专题频道税务师财务与会计讲义栏目,提供与税务师财务与会计讲义相关的所有资讯,希望我们所做的能让您感到满意!
01-11
大家做好准备迎接考试了吗?出国留学网税务师考试栏目诚意整理“2017税务师考试《财务与会计》讲义:复利”考生前来学习。
知识点:复利
(1)复利终值
F=P×(1+r)n
如果P=1,则F=(1+r)n=(F/P,r,n),即复利终值系数。
F=P×(1+r)n
如果P=1,则F=(1+r)n=(F/P,r,n)
(F/P,r,n)为复利终值系数
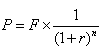
(2)复利现值
F=P×(1+r)n →

税务师考试栏目为你推荐:
10-10
“税务师《财务与会计》讲义:资本成本的确定”一文由出国留学网税务师栏目为您整理发布,希望对您有所帮助!
【内容导航】
1.银行借款的资本成本
2.公司债券的资本成本
3.普通股股票的资本成本
4.留存收益的资本成本
5.加权资本成本
【考频分析】
考频:★★★★
复习程度:理解掌握本考点。本考点属于单项选择题和多项选择题的常设考点,在2013年度、2012年度、2011年度、2010年度出现过单项选择题。
【高频考点】不同筹资方式资本成本的确定

税务师财务与会计讲义推荐访问