出国留学网专题频道调档线栏目,提供与调档线相关的所有资讯,希望我们所做的能让您感到满意! 调档线是教育学上的专业术语,指高校调取考生档案的最低控制线。
08-13
四川今年的高考专科提前批调档线已经公布了,同学们快来了解一下吧。下面是由出国留学网小编为大家整理的“2021普通高校在川招生专科提前批院校调档线已出炉”,仅供参考,欢迎大家阅读。
2021普通高校在川招生专科提前批院校调档线

拓展阅读:上了调档线就一定会被录取吗
调档线不等于实录线
要提醒大家,除了调档线外,考生和家长还应了解实录线的概念。院校对省录取场所投的考生档案进行审录、全面择优并完成录取后,所录取考生的最低分数就是该校的院校实录线。
例如前述提前批A院校,按照《招生章程》中公布的相关规则,在投档考生中择优录取的100人中,分数最低的考生投档分数为591分,那么591分就是A院校今年在我省的院校实录线。如仅上了该校调档线590分的考生,自然未能录取。
体检受限要退档
还是以提前批的军队院校为例,今年是军校招生新版体检标准实行的第一年。大家一定要仔细了解标准的具体内容,特别是要读懂新标准中10多项特殊专业的体检要求,并对照《标准》,根据自身条件填报专业。例如:对于身高185CM以上的男性考生,不可以报考装甲、水面舰艇、潜艇、潜水专业;嗅觉迟钝的考生,不可以报考防化、医疗、油料专业。
...07-12
四川的高考本科提前批的录取调档线已经公布了,高考考生们赶快来看一看吧。下面是出国留学网小编为大家精心整理的2021在川招生普通高校本科提前批次录取调档线已公布,欢迎阅读。
2021在川招生普通高校本科提前批次录取调档线


拓展阅读:填报志愿之前须知
第一步,查询自己的高考成绩。
第二步,查询你所在省份的录取分数线,从而确定自己的录取批次。
第三步,确定位次
填高考志愿最重要的一步就是确定位次,首先要确定考生成绩所处的相对位次,才能在众多的高校和专业中,匹配适合自己成绩的学校和专业,为搜集信息、确定目标志愿找准方向。
相对位次是指考生在省内文理科成绩排名。我省采用的是知分填报,省级招办公布考生成绩时,也会公布考生的成绩排名或相对位次。
第四步,收集信息确定相对位次后,就可以根据自己的分数和位次来选择适合报考的学校或专业。
解决这个问题需要参考的信息很多,但首先需要参考的是各高校各专业往年录取分数和录取位次,它可以帮助考生和家长快速缩小目标学校和目标专业的范围。
需要提醒的是,往年录取分数这类信息数据十分庞大,相应的系统、书籍品种繁多,参考价值良莠不齐,选择时应注意:1信息数据来源;2信息数据表现形式和参考价值;3信息检索的便利性。
第五步,经过前四步以后,我们就基本确定了钟意的专业和学校了,接下来就是学校和专业的权衡了。
在这里我们还需要注意一点,那就是我们更看重的是学校还是专业?有的是学校很好,但是他那个专业不是最好的,有的是专业是学校里最好的,但是学校的名气又没有很大,所以在这里就需要各位考生做好抉择,到底更看重的是学校还是专业。
推荐阅读:
08-18
高考已然过去,如今理想的大学在向我们招手,下面由出国留学网小编为你精心准备了“2020四川本科提前批次院校高考录取调档线”,持续关注本站将可以持续获取高考资讯!
2020四川本科提前批次院校高考录取调档线







推荐阅读:
07-26
志愿填报时间已经陆续出现,还不知道的小伙伴,赶紧看过来,下面由出国留学网小编为你精心准备了“2020高考志愿填报指南:何谓批次线、调档线、录取线?”,持续关注本站将可以持续获取高考资讯!
2020高考志愿填报指南:何谓批次线、调档线、录取线?
什么是批次线、什么是调档线、什么是录取线......很多考生是不是常常为这些看起来相似的名词所惑。不知道的考生和小编一起来看看吧!
批次录取控制分数线
批次录取控制分数线又称省控线或批次线,是由省级招生考试机构根据当年全省考生高考成绩和招生计划,将全省考生分类别从高分到低分排序,综合各种因素后按一定比例分批次分别划定录取考生的最低投档分数标准。录取控制分数线也就是我们通常说的一本线、二本线等。招生院校只能在本院校所在批次录取控制分数线以上录取考生,只有高考成绩达到或超过批次线的考生(通常称“上线考生”)档案,才有可能被投档到高校,由高校选择录取。
院校调档分数线
院校调档分数线又称调档线,是省级招生考试机构以招生院校为单位,按招生院校同一科类(如文科或理科)招生计划数的一定比例(如105%或120%),在对第一志愿投档过程(平行志愿的第一轮正式投档)中自然形成的投档给院校的最低投档分数。省教育考试院根据普通高校在本省的招生计划数和投档比例计算出应投档数,按相应规则投档后,向院校所投考生档案的最低投档分数就是学校的调档分数线。每一所院校都有自己的调档分数线,通常情况下,许多院校调档分数线往往高于批次线。一个考生选报了某高校,能不能被录取,首先取决于他的成绩是否达到了这所学校的调档线。
院校最低录取分
由于院校在提档过程中是按照招生计划数的一定比例(一般在105%或120%以内)提档,因此,在生源充足的情况下,必然会有考生因为各种原因不能被录取,那么被录取考生的最低的分数即为最低录取分。而该校某专业所录取考生的最低分数就是该校该专业的专业录取线。一般来说,实录线≥调档线≥批次线。
但有时自主招生、定向就业生、少数民族预科等特殊类型招生由于招生政策所致,会使院校的最低录取分下降。对此应区别对待。
推荐阅读:
2018四川高职(专科)批调档线8月13日已公布,出国留学高考网为大家提供2018四川高职(专科)批调档线汇总,更多高考资讯请关注我们网站的更新!
| 2018四川高职(专科)批调档线汇总 | |
| 1 | 2018四川高职(专科)批调档线(文科) |
| 2 | 2018四川高职(专科)批调档线(理科) |
| 出国留学网高考频道整理 | |
小编精心为您推荐:
2018四川高职(专科)批调档线(理科)已公布,出国留学高考网为大家提供2018四川高职(专科)批调档线(理科),更多高考资讯请关注我们网站的更新!
2018四川高职(专科)批调档线(理科)






小编精心为您推荐:
2018四川高职(专科)批调档线(文科)是多少?出国留学高考网为大家提供2018四川高职(专科)批调档线(文科),更多高考资讯请关注我们网站的更新!
2018四川高职(专科)批调档线(文科)






小编精心为您推荐:
<...
08-08
8月8日,四川2018高考专科提前批院校调档线已公布,出国留学高考网为大家提供四川2018高考专科提前批院校调档线汇总,更多高考资讯请关注我们网站的更新!
| 四川2018高考专科提前批院校调档线汇总 | |
| 1 | 四川2018高考专科提前批院校调档线(文科) |
| 2 | 四川2018高考专科提前批院校调档线(理科) |
| 出国留学网高考频道整理 | |
小编精心为您推荐:
08-08
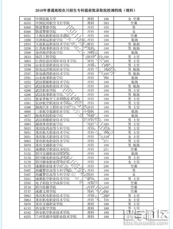
四川2018高考理科专科提前批院校调档线是多少?出国留学高考网为大家提供四川2018高考专科提前批院校调档线(理科),更多高考资讯请关注我们网站的更新!
四川2018高考专科提前批院校调档线(理科)

小编精心为您推荐:
08-08
四川文科专科提前批调档线已经公布,出国留学高考网为大家提供四川2018高考专科提前批院校调档线(文科),更多高考资讯请关注我们网站的更新!
四川2018高考专科提前批院校调档线(文科)

小编精心为您推荐:
调档线推荐访问