出国留学网专题频道韦达定理栏目,提供与韦达定理相关的所有资讯,希望我们所做的能让您感到满意!
11-24
韦达定理指出了一元二次方程根与系数的关系,让我们一起来了解一下吧。下面是由出国留学网编辑为大家整理的“一元二次方程根与系数的关系公式有哪些”,仅供参考,欢迎大家阅读本文。
一元二次方程根与系数的关系
韦达定理指出:一元二次方程中两根的和等于它的一次项系数除以二次项系数所得的商的相反数;两根的积等于它的常数项除以二次项系数所得的商。
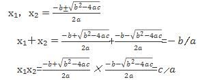
设一元二次方程ax²+bx+c=0中(a,b,c∈R,a≠0),设此一元二次方程有两根x₁、x₂,有如下关系:
由一元二次方程求根公式如下:

达定理与根的判别式的关系更是密不可分。一元二次方程的根的判别式为:△=b2-4ac(a,b,c分别为一元二次方程的二次项系数,一次项系数和常数项)。
根的判别式是判定方程是否有实根的充要条件,韦达定理说明了根与系数的关系。无论方程有无实数根,实系数一元二次方程的根与系数之间适合韦达定理。判别式与韦达定理的结合,则更有效地说明与判定一元二次方程根的状况和特征。
韦达定理为数学中的一元方程的研究奠定了基础,对一元方程的应用创造开拓了广泛的发展空间。
已知两个根其中的一个,就可以代入韦达定理的关系式里求得另一个根,并且还可以用另一个关系式来检验。
...
数学中解一元二次方程我们常说韦达定理,那么韦达定理公式是什么样的呢?快来和小编一起看看吧。下面是由出国留学网小编为大家整理的“韦达定理公式是什么样的”,仅供参考,欢迎大家阅读。
韦达定理:两根之和等于-b/a,两根之差等于c/a.
x1*x2=c/a,
x1+x2=-b/a。
韦达定理说明了一元二次方程中根和系数之间的关系。
法国数学家弗朗索瓦·韦达于1615年在著作《论方程的识别与订正》中建立了方程根与系数的关系,提出了这条定理。由于韦达最早发现代数方程的根与系数之间有这种关系,人们把这个关系称为韦达定理。
韦达定理公式运用
一元二次方程ax^2+bx+c=0(a≠0且△=b^2-4ac>0)中,设两个根为x1,x2则X1+X2=-b/a、X1·X2=c/a、1/X1+1/X2=(X1+X2)/X1·X2
用韦达定理判断方程的根一元二次方程ax²+bx+c=0(a≠0)中,
若b²-4ac<0则方程没有实数根,
若b²-4ac=0则方程有两个相等的实数根,
若b²-4ac>0则方程有两个不相等的实数根。
定理拓展:
(1)若两根互为相反数,则b=0;
(2)若两根互为倒数,则a=c;
(3)若一根为0,则c=0;
(4)若一根为-1,则a-b+c=0;
(5)若一根为1,则a+b+c=0;
(6)若a、c异号,方程一定有两个实数根。
定义理解很重要,做题才是最关键
很多学生在复习的时候会遇到这样的情况:明明将书上的知识点已经全部记下了,公式定义也都能默写下来,可是一到做题就什么都不会。这就是数学的难点之在,数学主要考验的是人的思维逻辑,熟记定义和公式虽重要,但是最容易理解一个知识点的方法是通过做题。建议大家在遇到难以理解的定义时,不妨找几个相关知识点的题来做一下,这样或许更有利于加深你对定义的理解。拿三角函数来说,这部分内容对于中等以下水平的学生来说学起来有点费劲,所以很多人总是重复的看定义,但是每当拿到题目时却无从下手,所以在理解定义的同时一定要灵活运用定义,多做题总结经验。
不要小看选择题和填空题
对于数学能力处于中等及以下的学生来说,尽量多练习选择和填空题,提高数学成绩的关键就是选择和填空。最好将每天学习数学的时间分出一部分来专门练习选择题和填空题,熟能生巧,经过长时间的锻炼,就会提高你的思考能力和计算速度,通过练习你会发现大多数选择题除了固定的解题方法外,还可以利用排除法、代入法、以及数形结合的方法来快速判断出答案。这样在考试时就可以为后面的大题节省更多的时间。
归纳总结,掌握精髓
很多学生学习数学时不懂得变通,对于老师上课讲的解题方法不会进行深入研究,而是照搬照挪。虽然题是做了,但是下一次遇到还是不会,这些方法或许是延续了你在小学或者初中生学习数学的方法,但是高中数学更多的是考验同学们的独立思考能力。这就要求同学们要对老...
06-18
出国留学网中考频道在考试后及时公布各科中考试题答案和中考作文及试卷专家点评。请广大考生家长关注,祝福广大考生在2013年中考中发挥出最佳水平,考出好成绩!
10-20
数学的解题方法是随着对数学对象的研究的深入而发展起来的。六年级的同学们很快就要小学毕业,中学的大门已经向我们敞开。为了能进一步学好数学,有必要掌握初中数学的特点尤其是解题方法。下面介绍的解题方法,都是初中数学中最常用的,有些方法也是中学教学大纲要求掌握的。
判别式法与韦达定理
一元二次方程ax2+bx+c=0(a、b、c属于R,a≠0)根的判别,△=b2-4ac,不仅用来判定根的性质,而且作为一种解题方法,在代数式变形,解方程(组),解不等式,研究函数乃至几何、三角运算中都有非常广泛的应用。
韦达定理除了已知一元二次方程的一个根,求另一根;已知两个数的和与积,求这两个数等简单应用外,还可以求根的对称函数,计论二次方程根的符号,解对称方程组,以及解一些有关二次曲线的问题等,都有非常广泛的应用。
06-27
。韦达定理推荐访问